提示点击↑上方"土木工程资源共享"关注加入
点我资料免费下
【重磅福利】
技术介绍
通过对住宅结构深化,确保结构剩余部位刚好契合轻质内隔墙板模数,改进原有施工方式方法,结合工业化生产清单化、运输工具定型化等一措施,形成了一套住宅体系免切割轻质内隔墙板施工技术,消除隔墙板现场切割工序,达到内隔墙板免切割效果。该标准较好的提升了施工安装效率,解决水电专业碰撞问题,减少内墙板切割,降低板材损耗率,减少了人工投入,节约施工成本。
图|免切割轻质隔墙板施工现场图
技术流程
施工工艺流程
轻质隔墙板与一次结构同步深化→施工出图与交底→铝模提资与一次结构施工→轻质隔墙材料进场与配送→轻质隔墙板安装基层清理与放线→轻质隔墙板立板与矫正→轻质隔墙板射钉固定→板缝处理
一、轻质隔墙板与一次结构同步深化
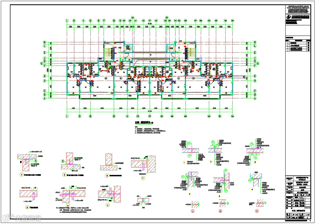
主体一次结构深化阶段,提前考虑轻质内隔墙的模数化排版,结合机电点位图纸以及主体建筑图进行深化。排版过程只考虑标准板排布。因市面上的轻质内隔墙板标准模数为600mm,在排版中为了避免水电点位跨越板缝,需新增加400mm模数的墙板,此外,局部不满足模数要求的墙体采用混凝土墙垛或构造柱调整,过程中需充分考虑轻质隔墙板灰缝与子母槽对墙体宽度的影响(子母槽ALC板按10mm考虑,陶粒板按20mm考虑),局部冲突处需做调整。
图|免切割轻质隔墙板深化
二.施工出图与交底
各专业技术人员针对深化模型进行检查与确认,对发现的各类碰撞问题,及时与项目部和建设单位沟通,调整后后进行施工出图。
充分利用BIM技术优势进行三维交底,并根据项目进度需求多次交底,包括铝模提资阶段、轻质隔墙板生产阶段、轻质隔墙板施工安装阶段。明确免切割轻质隔墙板材料用量统计,用以指导材料进场验收。
图|免切割轻质隔墙板施工图
三、铝模提资与一次结构施工
铝模提资阶段,针对主体标准层一次结构施工开展交底。充分利用铝模优势,标准层门洞口应采取钢筋混凝土框加强。按照深化图,主体结构施工将门洞加强框、构造柱、墙垛、止水反坎等构件一次性浇筑完成。
图|一次结构成型效果
四、轻质隔墙材料进场与配送
轻质隔墙板采购阶段,提供材料加工清单,作为厂家开模生产的指导依据。轻质隔墙板材料每次按3个标准层用量进场,材料验收后,按施工平面布置要求堆放,明确标识,做好下垫上盖及成品保护。按照标准层材料清单进行分类,配送至楼层。进入楼层后按排版图纸,取用每面墙体轻质隔墙板材料,放置于待施工位置。
五、轻质隔墙板安装基层清理与放线
施工前针对免切割轻质隔墙板施工开展BIM三维交底,指导现场隔墙板安装,严格按深化图施工。
清理轻质内隔墙板与顶面、地面墙面结合部,将浮灰、砂、土等杂物清楚干净,凡凸出墙面的砂浆、混凝土等必须剔除并清理干净。根据深化设计图纸,测放出轻质内隔墙板边线,作为安装依据。
图|定位放线
六、轻质隔墙板立板与矫正
每堵墙按照由一端往另一端方向进行安装,墙板竖起时用撬棒用力挤紧就位,校正垂直度和相邻板面平整度,保证接缝密合顺直,随即在墙板顶头部用木楔顶紧,缝隙不宜大于20mm,用靠尺将墙面找平找垂直。
轻质内隔墙板中,蒸压加气混凝土板(ALC板)可采用管卡或U型卡进行固定,陶粒混凝土轻质内隔墙板需采用U型卡固定。
图|管卡固定
七、轻质隔墙板射钉固定
使用射钉枪进行固定,射钉钉头直径4.5mm,长度62mm,每块轻质内隔墙板之间的管卡或U型卡位置均要进行射钉固定,施工完成后进行检查,防治漏钉。针对L型、T型轻质内隔墙板,除按照图集要求进行管卡固定外,还需用直径8mm、长300-400mm销钉进行加强,沿墙高度方向设置两根,分别位于墙高上下1/3处,以30°方向打入。
图|顶部射钉枪固定
八、板缝处理
固定墙板的木楔要待砂浆强度达到5MPa才能拆出。一般是7天,并用同强度等级的专用砂浆将空洞填实。
板与板之间对接缝、企口空隙内、墙板与建筑主体结构结合处以及墙板阴、阳角处均应填满、灌实专用砂浆,并应做专门防裂处理,如贴耐碱玻璃纤维网格带或无纺布带防裂,底部塞缝2周后,板缝用抗裂砂浆粘贴100㎜玻璃纤维耐碱网格布,墙板与主体结构结合处用抗裂砂浆粘贴200㎜玻璃纤维耐碱网格布。
图|底缝、顶缝处理

12、检验批的划分、容量及抽样总结!附76个常用检验批验收表!
15、资料员、施工员、技术员请注意!三分钟搞懂施工技术资料编制重难;
猜你喜欢:
3、助力2018安全生产月,这100份安全资料合集值得入手(可下载)
加入我们
投稿展示或者分享资料
一起交流一起成长
扫一扫下方二维码,灵感即刻进
官方微信或qq:483972950
官方qq群:343778875 或648915172




