提示:点击↑上方"土木工程资源共享"关注加入
点我资料免费下
【重磅福利】
对于参加2021一级建造师考试的考生们而言,考后最关注的问题莫过于考试成绩了。为方便考生及时了解自己的考试情况,做好进一步的工作或学习安排,小编将在一建考试结束后第一时间整理真题答案的最新信息,供大家参考。
现在要推荐给大家的是文字版2021一级建造师《建筑实务》考试真题及答案,希望对考生估分有所帮助。
1建筑装饰工业化的基础是()。
A.批量化生产
B整体化安装
C标准化制作
D模块化设计
【参考答案】D
【考察考点】1A413003装配式装饰装修
【解析】模块化设计是建筑装饰工业化的基础
2框架结构抗震构造做法正确的是0。
A加强内柱
B短柱
C强节点
D强梁弱柱
【参考答案】C
考察考点】1A412032结构抗震设计构造要求
【解析】为此采取了一系列措施,把框架设计成延性框架,遵守强柱、强节点、強锚固,避免短柱、加强角柱,框架沿高度不宜突变,避免出现薄弱层,控制最小配筋率,限制配筋最小直径等原则。
3.不属于砌体结构主要构造措施的是0。
A.圈梁
B过梁
C伸缩缝
D.沉降缝
【参考答案】B
【考察考点】14412031结构构造设计要求
【解析】砌体结构的构造是确保房屋结构整体性和结构安全的可靠措施。墙体的构造措施主要包括三个方面,即伸缩缝、沉降缝和圈梁。
4属于工业建筑的是()
A宿舍
B办公楼
C仓库
D医院
【参考答案】C
【考察考点】1A411011建筑物分类与构成体系
【解析】工业建筑是指为工业生产服务的各类建筑,也可以称为厂房类建筑,如生产车间、辅助车间、动力用房、仓储建筑等。
5粉煤灰水泥主要特征是()。
A水化热较小
B抗冻性好
C千缩性较大
D早期强度高
【参考答案】A
【考察考点】1A414011水泥的性能和应用
【解析】

6对HRB400钢筋的要求正确的是0
A极限强度标准值不小于400MPa
B实测抗拉强度与实测屈服强度之比不大于1.2
C实测屈服强度与屈服强度标准值之比不大于1.35
D最大力总伸长率不小于7%
【参考答案】C
【考察考点】1A414012建筑钢材的性能和应用
【解析】
国家标准规定,有较高要求的抗震结构适用的钢筋牌号为:已有芾肋钢筋牌号后加E(例女如HRB400E、HRBF400E)的钢筋。该类钢筋除满足表中的强度标准值要求外,还应该满足以下要求:
(1)钢筋实测抗拉强度与实测屈服强度之比不小于1.25
(2)钢筋实测下屈服强度与屈服强度标准值之比不大于1.30
(3)钢筋的最大力总伸长率不小于9%。
7通过对钢化玻璃进行均质处理可以()
A降低自爆率
B提高透明度
C改变光学性能
D.增加弹单性
【参考答案】A
考察考点】1A414023建筑玻璃的特性与应用
【解析】通过对钢化珓璃进行均质(第二次热处理工艺处理,可以大大降低钢化玻璃的自爆率。
8工程项目管理机构针对负面风险的应对措施
A风险评估
B风险识别
C风险监控
D风险规避
【参考答案】D
【考察考点】1A432051建设工程项目管理的有关规定
【解析】 项目管理机构应采取下列措施应对负面风险:风险规避;风险减轻;风险转移风险自留。
9判定或鉴别桩端持力层岩土性状的检测方法是O。
A.钻芯法
B低应变法
C高应变法
D声波透射法
【参考答案】A
【考察考点】1A415032桩基础施工
【解析】钻芯法。目的测检灌注桩桩长桩身混凝土强度、桩底沉渣厚度,判定或鉴别桩端持力层岩土性状,判定桩身完整件类别。
10大体积混凝士拆除保温覆盖时,浇筑体表面与大气温差不应大于0。
A.15C
B.20°C
C.25°C
D.28°C
【参考答案】B
【考察考点】1A415033混凝土基础施工
【解析】大体积混凝土拆除保温覆盖时混凝土浇筑体表面与大气温差不应大于20°C
11预应力楼盖的预应力筋张拉顺序是()。
A主梁一次梁→板
B板→次梁一主梁
C次梁一主梁一板
D次梁一板→主梁
【参考答案】B
【考察考点】1A415041混凝土结构工程施工
【解析】预应力楼盖宜先张拉楼板、次梁,后张拉主梁的预应力筋;对于平卧重叠构件,宜先上后下逐层张拉。
12土钉墙施工要求正确的是()
A.超前支护严禁超挖
B全部完成后抽查土钉抗拔力
C同一分段喷射混凝土自上而下进行
D成孔注浆型钢筋土钉采用一次注浆工艺
【参考答案】A
【考察考点】1A415022基坑支护施工
【解析】
A选项,土钉墙施工必须遵循"超前支护,分层分段,逐层施作,限时封闭,严禁超挖"的原则要求
B选项,每层土钉施工后,应按要求抽查土钉的抗拔力C选项,作业应分段分片依次进行,同一分段内应自下而上,一次喷射厚度不宜大于120mm。
D选项,成孔注浆型钢筋土钉应采用两次注浆工艺施工。
13深基坑工程无支护结构挖土方案是()
A中心岛式
B逆作法
C盒式
D放坡
【参考答案】D
【考察考点】1A415024土石方开挖施工
【解析】深基坑工程的挖土方案,主要有放坡挖土、中心岛式(也称墩式挖土、盆式挖土和逆作法挖土。前者无支护结构,后三种皆有支护结构。
14跨度6m、设计混凝土强度等级C30的板,拆除底模时的同条件养护标准立方体试块抗压强度值至少应达到()。
A.15N/mm
B 18N/mm
C. 22.5N/mm
D30N/mm
【参考答案】C
【考察考点】1A415041混凝土结构工程施工
【解析】30*759=225Nmm

15易产生焊缝固体夹渣缺陷的原因是()。
A.焊缝布置不当
B焊前未加热
C焊接电流太小
D焊后冷却快
【参考答案】C
【考察考点】1A415043钢结构工程施工
【解析】回体夹杂:有夹渣和夹钨两种缺陷。产生夹渣的主要原因是焊接材料质量不好、焊接电流太小、焊接速度太快、熔渣密度太大、阻碍熔渣上浮、多层焊时熔渣未清除干净等,其处理方法是铲除夹渣处的焊缝金属,然后焊补。
产生夹钨的主要原因是氩弧焊时钨极与熔池金属接触,其处理方法是挖去夹钨处缺陷金属,重新焊补。
16混凝土预制柱适宜的安装顺序是()
A角柱→边柱→中柱
B角柱→中柱一边柱
C边柱→中柱→角柱
D边柱→角柱→中柱
【参考答案】A
【考察考点】1A415044装配式混凝土结构工程施工
【解析】预制柱安装要求:
(1)宜按照角柱、边柱、中柱顺序进行安装,与现浇部分连接的柱直先行安装
(2预制柱的就位以轴线和外轮廓线为控制线,对于边柱和角柱应以外轮廓线控制为准。
(3)就位前,应设置柱底调平装置,控制柱安装标高
(4)预制柱安装就位后应在两个方向设置可调节临时回定支撑,并应进行垂直度、扭转调整。
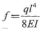
17影响悬臂梁端部位移最大的因素是0
A荷载
B材料性能
C构件的截面
D构件的跨度
【参考答案】D
【考察考点】1A412012结构工程的适用性
【解析】悬臂梁端部的最大位移:

从公式中可以看出,影响位移因素除荷载外,还有
(1)材料性能:与材料的弹性模量E成反比。
(2)构件的截面:与截面的愦性短成反比,如矩形截面梁,其截面惯性矩
(3)构件的跨度:与跨度L的4次方成正比,此因素影响最大。

18民用建筑工程室内装修所用水性涂料必须检测合格的项目是0。
A苯+VoC
B甲苯+游离甲醛
C游离甲醛+VOC
D游离甲苯二异氰酸酯(TDI)
【参考答案】C
【考察考点】1A415065涂饰、裱糊等工程施工
【解析】民用建筑工程室内装修所用的水性涂料必须有同批次产品的挥发性有机化合物
(VoC)和游离甲醛含量检测报告,溶剂型涂料必须有同批次产品的挥发性有机化合物(oC)、苯、甲苯、二甲苯、游离甲苯二异氰酸酯TDI)含量检测报告,并应符合设计及规范要求
19反应土体抵抗剪切破坏极限强度的指标是( )
A内摩擦角
B内聚力
C粘聚力
D土的可松性
【参考答案】B
【考察考点】1A415021岩土的分类和性能
【解析】土抗剪强度是指土体抵抗剪切破坏的极限强度,包括內摩擦力和内聚力。抗剪强度可通过剪切试验测定。
20.下列应使用A级材料的部位是()。
A疏散楼梯间顶棚
B消防控制室地面
C展览性场所展台
D. 厨房内固定橱柜
【参考答案】A
【考察考点】1A432012建筑材料分类和分级
【解析】地上建筑的水平硫散走道和安全出囗的门厅,其顶棚应采用A级装修材料,其他部位应采用不低于B1级装修材料;地下民用建筑的疏散走道和安全出口门厅,其顶棚墙面和地面均应采用A级装修材料。
消防控制室等重要房间,其顶棚和墙面应采用A级装修材料,地面及其他装修应采用不低于B1级的装修材料。
展览性场所装修设计:展台材料应采用不低于B1级的装修材料;厨房内的固定橱柜宜采用不低于B1级的装修材料
21防火门构造的基本要求有()
A.甲级防火门耐火极限为1.0h
B向内开启
C关闭后应能从内外两侧手动开启
D具有自行关闭功能
E开启后,门扇不应跨越变形缝
【参考答案】CDE
【考察考点】1A411021建筑构造设计要求
【解析】A选项,防火门、防火窗应划分为甲乙丙三级,其耐火极限:甲级应为15h;乙级应为10h;丙级应为0.5h。
BC选项,防火门应为向疏散方向开启的平开门,并在关闭后应触从其内外两侧手动开启D选项,用于疏散的走道、楼梯间和前室的防火门,应具有自行关闭的功能。
E选项,设在变形缝处附近的防火门,应设在楼层数较多的一侧,且门开启后门扇不应跨越变形缝。
22属于偶然作用(荷载的有()。
A.雪荷载
B风荷载
C火灾
D地震
E吊车荷载
【参考答案】CD
【解析】【考察考点】1A412022结构设计作用
【解析】偶然作用(偶然荷载、特殊荷载):在结构设计使用年限内不一定出现,也可能不出现,而一旦出现其量值很大,且持续时间很短的荷载。例如爆炸力、撞击力、火灾、地震等。雪荷载、风荷载、吊车荷载均属于可变作用(荷载)。
23建筑工程中常用的软木材有()。
A松树
B榆树
C杉树
D桦树
E柏树
【参考答案】ACE
【考察考点】14414020建筑装饰装修材料
【解析】针叶树树干通直易得大材强度较高体积密度小胀缩变形小其木质较软易于加工常称为软木材包括松树、杉树和柏树等为建筑工程中主要应用的木材品种
24水泥粉煤灰碎石桩(CFG桩)的成桩工艺有(
A.长螺旋钻孔灌注成桩
B振动沉管灌注成桩
C洛阳铲人工成桩
D长螺旋钻中心压灌成桩
E三管法旋喷成桩
【参考答案】ABD
【考察考点】1A415030地基与基础工程施工
【解析】水泥粉煤灰碎石桩简称CFG桩是在碎石桩的基础上掺人适量石屑、粉煤灰和少量水泥加水拌合后制成具有一定强度的桩体。适用于处理黏性土、粉士、砂土和自重结完成的素填土地基。根据现场条件可选用下列施工工乙。
(1)长螺旋钻孔灌注成桩适用于地下水位以上的黏性土、粉土、素填土、中等密实以上的砂土地基
(2)长螺旋钻中心压灌成桩适用于黏性土、粉土砂土和素填土地基
(3)振动沉管灌注成桩适用于粉土、黏性土及素填土地基
(4泥浆护壁成孔灌注成桩适用地下水位以下的问性土、粉土、砂土、填土、碎石土及风化岩等地
25混凝土施工缝留置位置正确的有()
A.柱在梁、板顶面
B单向板在平行于板长边的任何位置
C有主次梁的楼板在次梁跨中1/3范围内
D.墙在纵横墙的交接处
E双向受力板按设计要求确定
【参考答案】ACDE
【考察考点】1A415041混凝土结构工程施工
【解析】
施工缝的留置位置应符合下列规定1)柱宜留置在基础、楼板、梁的顶面,梁和用车梁牛腿、无梁楼板柱帽的下面2)与板连成整体的大截面梁(高超过1m),留置在板底面以下20~30mm处,当板下有梁托时,留置在梁托下部3)单向板留置在平行于板的短边的任何位置4)有主次梁的楼板,施工缝应留置在次梁跨中1/3范围内5)墙留置在门洞口过梁跨中13范围内,也可留在纵横墙的交接处6双向受力板、大体积混凝土结构、拱、穹拱、薄壳、蓄水池、斗仓、多层钢架及其他结构复杂的工程,施工缝的位置应按设计要求留置。
26建筑信息模型(BIM元素信息中属于几何信息的有O。
A材料和材质
B尺寸
C规格型号
D施工段
E空间拓扑关系
【参考答案】BE
【考察考点】1A421064项目管理信息化
【解析】模型元素信息包括的内容有:尺寸、定位、空间拓扑关系等几何信息;名称、规格型号、材料和材质、生产厂商、功能与性能技术参数,以及系统类型、施工段、施工方式、工程逻辑关系等非几何信息。
27混凝土的非荷载型变形有()
A化学收缩
B碳化收缩
C.温度变形
D干湿变形
E徐变
【参考答案】ABCD
【考察考点】1A414012建筑钢材的性能和应用
【解析】
混凝土的变形主要分为两大类:
非荷载型变形和荷载型变形。非荷载型变形指物理化学因素引起的变形,包括化学收缩、碳化收缩、千湿变形、温度变形等。荷载作用下的变形又可分为在短期荷载作用下的变形和长期荷载作用下的徐变。
28关于型钢混凝土结构施工做法,正确的有()
A.柱的纵向钢筋设在柱截面四角
B柱的箍筋穿过钢梁腹板
C柱的箍筋焊在钢梁腹板上
D梁模板可以固定在型钢梁上
E梁柱节点处留设排气孔
【参考答案】ABDE
【考察考点】1A415045钢混凝士组合结构工程施工
【解析】选项A,型钢混凝土结构的钢筋绑扎,与钢筋混凝土结构中的钢筋绑扎基本相同。由于柱的纵向钢筋不能穿过梁的翼绿,因此柱的纵向钢筋只能设在柱截面的四角或无梁的部位。
选项B、C,在梁柱节点部位,柱的箍筋要在型钢梁腹板上已留好的孔中穿过,由于整根箍筋无法穿过,只好将箍筋分段,再用电弧焊焊接。不宜将箍筋焊在梁的腹板上,因为节点处受力较复杂选项D,可将梁底模用螺栓定在型钢梁或角钢和架的下弦上,以完全省去梁下模板的支撑。选项E,在梁柱接头处和梁的型钢翼緣下部,由于浇筑混凝土时有部分空气不易排出,或因梁的型钢翼缘过充妨碍混凝土浇筑,要在一些部位预留排除空气的孔洞和混凝土浇筑孔。
29需要进行专家论证的危险性较大的分部分项工程有0
A开挖深度6m的基坑工程
B搭设跨度15m的模板支撑工程
C双机抬吊单件起重量为150kN的起重吊装工程
D搭设高度40m的落地式钢管脚手架工程
E施工高度60m的建筑幕墙安装工程
【参考答案】AE
【考察考点】1A431022危险性较大的分部分项王程安全管理的有关规定
【解析】
选项A,开挖深度超过5m(含5m)的基坑(槽)的土方开挖、支护、降水工程。
选项B,混凝土模板支撑工程搭设高度8m及以上;搭设跨度18m及以上施工总荷载(设计值)
15kNm2及以上或集中线荷载设计值)20kN/m及以上。
30关于高处作业吊篮的做法,正确的有()。
A用篮安装作业应编制专项施工方案
B吊篮内的作业人员不应超过3人
C作业人员应从地面进出吊篮
D安全钢丝绳应单独设置
E吊篮升降操作人员必须经培训合格
【参考答案】ACDE
【解析】B选项,帛篮内的作业人员不应超过2人。
31某工程项目经理部为贯彻落实《住房和城乡建设部等部门关于加快培育新时代建筑产业工人队伍的指导意见》(住建部等12部委2020年12月印发要求在项目劳动用工管理中做了以下工作。

(1)要求分包单位与招用的建筑工人签订劳务合同
(2)总包对农民工工资支付工作负总责要求分包单位做好农民工工资发放工作
(3)改善工人生活区居住环境在集中生活区配套了荣胜食堂等必要生活机构设施开展物业化管理。项目经理部编制的《屋面工程施工方案》中规
(1)工程采用倒置式屋面,屋面构造层包括防水层、保温层、找平层、找坡层、隔离层、结构层和保护层。构造示意图见图1;
(2)防水层选用三元乙丙高分子防水卷材
(3)防水层施工完成后进行雨后观察或淋水、書水试验,持续时间应符合规范要求。合格后再进行隔离层施工。
简答:
1、指出项目劳动用工管理工作中不妥之处并写出正确做法2、为改善工人生活区居住环境在一定规模的集中生活区应配套的必要生活机构设施有哪些?(如食堂)
3、常用高分子防水卷材有哪些?(如三元乙丙)
4、常用屋面隔离层材料有哪些?屋面防水层淋水、蓄水试验持续时间各是多少小时?
5、写出图1中屋面构造层1-7对应的名称。
【解析】简答1、指出项目劳动用工管理工作中不妥之处并写出正确做法。
解析:不妥一要求分包单位与招用的建筑工人签订劳务合同(1分)
正确做法:劳务用工企业与建筑工人签订劳务合同(1分)
不要二要求分包单位做好农民工工资发放工作:(1正确做法推行分包单位农民工工资委托施工总承包单位代发制度。(1分)
2、为改善工人生活区居住环境在一定规模的集中生活区应配套的必要生活机构设施有哪些?(如食堂)
解析:超市、医疗、法律咨询、职工书屋、文体活动室。(4分)
3、常用高分子防水卷材有哪些?(如三元乙丙解析:聚氯乙烯、氯化聚乙烯、氯化聚乙烯橡胶共混及三元丁橡胶防水卷材(4分)
4、常用屋面隔高层材料有啷些?屋面防水层淋水、蓄水试验持续时间各是多少小时?
解析
(1)常用屋面溻离层干铺望料膜、土工布、卷材或铺抹低强度等级砂浆。(2分)
(2)屋面淋水时间2h蓄水时间24h。(2分)5、写出图1中屋面构造层1-7对应的名称。
解析
①保护层②保温层③隔离④防水层⑤找平层⑥
找坡层⑦结构层。(4分)
31某施工单位承建一高档住宅楼工程。钢筋混凝土剪力墙结构,地下2层,地上26层,建筑面积36000m2。
施工单位项目部根据该工程特点,编制了施工期变形测量专项方案”,明确了建筑测量精度等级为一等,规定了两类变形测量基准点设置均不少于4个。
首层楼板混凝土出现明显的塑态收缩现象,造成混凝土结构表面收缩裂缝。项目部质量专题会议分析其主要原因是骨料含泥量过大和水泥及掺合料的用呈超出规范要求等,要求及时栗取防治措施。
二次结构填充墙施工时,为抢工期,项目工程部门安排作业人员将刚生产7天的蒸压加气混凝士砌块用于砌筑作业要求砌体灰缝厚度、饱满度等质量满足要求。后被监理工程师发现,责令停工整改项目经理巡查到二层样板间时,哇题库地面瓷砖铺设施工人员正按照基层处理、放线、浸砖等工艺流程进行施工。
其检查了施工质量,强调后续工作要严格按照正确施工工艺作业,铺装完成28d后,用专用勾缝剂勾缝,做到清晰顺直,保证地面整体质量。
简答:
1.建筑变形测量精度分几个等级?变形测量基准点分那两类?其基准点设置要求有哪些?
2.除塑态收缩外,还有哪些收缩现象易引起泥凝土表面收缩裂缝?收缩裂缝产生的原因还有哪些?
3.蒸压加气混凝土砌块使用时的要求龄期和含水率应是多少?写出水泥砂浆砌筑蒸压加气混凝土砌块的灰缝质量要求。
4地面瓷砖面层施工工艺内容还有哪些?瓷砖勾缝要求还有哪些?
【解析】1、(1)5个等级特等、一等、二等、三等、四等【分采分点是5个等级】
(2)沉降基准点和位移基准点【2分】
1)沉降观测基准点,在特等、一等沉降观测时,一不应少于4个其他等级沉降观测时不应少于3个基准之间应形成闭合环。【1.5分】
2)位移观测基准点,对水平位移观测、基坑监测和边坡监测在特等、一等观测时,不应少于4个;其他等级观测时不应少于3个。【1.5分】
2、(1)沉陷收缩、干燥收缩、碳化收缩、凝结收缩等收缩裂缝。【2分】(2)原因:【4分】
1)混凝土原材料质量不合格,如骨料含泥量大等2水泥或掺合料用量超出规范规定。
3)混凝土水胶比、坍落度偏大,和易性差。
4)混凝土浇筑振捣差,养护不及时或养护差。
(1)龄期:28天含水率宜小于30%。【1分】
(2)①水平灰缝厚度和竖向灰缝竞度不应超过15mm
②填充墙砌筑砂浆的灰缝饱满度均应不小于80%,且空心砖砌块竖缝应填满砂浆不得有透明缝,瞎缝、假缝。
32某新建住宅楼工程,建筑面积25000m,装配式钢筋混泥土结构。建设单位荣胜教育编制了招标工程量清单等招标文件,其中部分条款内容为本工程实行施工总承包模式承包范围为土建、电气等全部工程内容,质量标准为合格,开工前业主向承包商支付合同工程造价的25%作为预付备料款保修金为总价的3%。经公开招投标,某施工总承包单位以12500万元中标。其中工地总成本9200万元,公司管理费按10%计,利润按5%计,暂列金额1000万元。
主要材料及构配件金额占合同额70%。双方签订了工程施工总承包合同。项目经理题库按照包括统一管理、资金集中等內容的资金管理原则,编制年、季、月度资金收支计划,认真做好项目资金管理工作。施工单位按照建设单位要求,通过专家论证,采用了一种新型预制钢筋混凝土剪力墙结构体系,致使实际工地总成本增加到9500万元。施工单位在工程结算时,对增加费用进行了索赔。
问题:
1施工总承包通常包括哪些工程内容?(如土建、电气)
2.该工程预付备料款和起扣点分别是多少万元?
(精确到小数点后两位)
3项目资金管理原则有哪些内容?
4施工单位工地总成本增加,用总费用法分步计算索赔值是多少万元?(精确到小数点后两位)
5项目施工机械设备的供应渠道有哪些?机械设备使用成本费用中固定费用有哪些?
6分别判断检测试验索赔事项的各项费用是否成立?(如1万元成立)
【解析】1.施工总承包通常包括哪些工程内容?(如土建、电气)
解析:施工总承包施工内容通常包括士建、电气、给排水、采暖、消防、燃气、机电安装、园林景观及室外管网等全部或部分。【分】
2该工程预付备料款和起扣点分别是多少万元?(精确到小数点后两位)
解析预付备料款=(12500-100)x25%=287500万元:【2分】
起扣点=(12500-1000)-2875+70%7392.86万元
3解析
统一管理、分级负责归口协调、流程管控:资金集中、预算控制:以收定支、集中调剂。【5分】
4施工单位工地总成本增加,用总费用法分步计算索赔值是多少万元?(精确到小数点后两位)
解析总成本增加:9500-9200=3000元【1分】
公司管理费增加:300x10%=3000万元【分】
利润增加:(300+30)x5%=16.50万元【分】
索赔值:300+30+16.5=34650万元【2分】
5项目施工机械设备的供应渠道有哪些?机械设备使用成本费用中固定用有哪些?
解析项目施工机械设备的供应渠道有企业自有设督调配、市场租赁设备、专门购置机械设备、专业分包队伍自带设备。【3分机械设备使用成本费用中固定费用有折旧费、大修理费、机械管理费、投资应付利息、固定资产占用费等【3分】
6分别判断检测试验索赔事项的各项费用是否成立?(如1万元成立)
解析
(1)不成立
(2)成立:(3)成立:(4成立
(5)不成立。【5分】
猜你喜欢:
3、助力2018安全生产月,这100份安全资料合集值得入手(可下载)
来源:网络
版权属于原作者

加入我们
投稿展示或者分享资料
一起交流一起成长
扫一扫下方二维码,灵感即刻进
官方微信或qq:483972950
官方qq群:343778875 或648915172



