搜索
首页
大数快讯
大数活动
服务超市
文章专题
出海平台
流量密码
出海蓝图
产业赛道
物流仓储
跨境支付
选品策略
实操手册
报告
跨企查
百科
导航
知识体系
工具箱
更多
找货源
跨境招聘
DeepSeek
首页
>
AI 主题研究 - 关注产业链协同发展布局的投资机会
>
0
0
AI 主题研究 - 关注产业链协同发展布局的投资机会
求数科技
2025-11-05
2
导读:从近期行业趋势来看,美国芯片巨头、云服务商、AI 模型与应用厂商正在深化 战略协同、提升全产业链的效率并深化商
从近期行业趋势来看,美国芯片巨头、云服务商、
AI
模型与应用厂商正在深化 战略协同、提升全产业链的效率并深化商业化变现探索。
Sora 2
上线加速
AI
视 频应用生态发展,而应用生态繁荣也反向驱动推理算力需求快速增长。我们仍 坚定看好
AI
主题的投资机会,并建议关注在产业链协同发展中的投资机会。中 国互联网软件公司中,建议关注云业务增长有望维持强劲、芯片端有良好布局 且
AI
相关新业务营收持续起量的的阿里巴巴(
BABA US
)、百度(
BIDU US
),及
AI
拉动广告和云业务较快增长的腾讯(
700 HK
)、可灵变现进展积 极的快手(
1024 HK
)。海外互联网软件公司中,建议关注云业务营收持续快 速增长的微软(
MSFT US
),及
AI
变现取得实质进展、估值仍有提升空间的 派拓网络(
PANW US
)、
Datadog
(
DDOG US
)。
中美
AI
产业链的全链协同与循环生态。
美国
AI
领域当前芯片巨头、云服务 商、
AI
模型与应用领导者(
OpenAI
、
xAI
、
Meta
等)正在深化战略协同, 投资合作形成
AI
基建、算力需求、模型创新迭代与应用落地的正向循环。 这一循环在降低大模型与应用厂商算力采购成本、精准匹配其算力需求的 同时,也帮助云服务提供商与芯片企业实现资源的合理调度,提升
AI
基建
ROI
与利用效率。我们认为全产业链协同的商业模式或有望在中国市场复 制,推动芯片企业、云服务商以及
AI
大模型厂商与行业解决方案提供商的 深度协作,通过长期协议、投资入股等方式,提升全链资源调度效率的同 时解决算力需求瓶颈,推动行业快速高效发展。
AI
应用生态繁荣驱动推理算力需求快速增长。
2025
年
9
月
OpenAI
正式上 线视频与语音生成模型
Sora 2
,有望加速
AI
视频应用生态发展。
AI
应用生 态繁荣推动全球主流大模型的调用量快速增长。根据
OpenRouter
数据,全 球主流大模型周调用量由
2025
年初的
4997
亿增长至
2025
年
9
月的约
4.9
万亿
Token
,
9
个月内增长近
10
倍,主要得益于:
1
)
AI
应用的快速落地: 编程、广告营销、搜索等多个场景的
AI
应用落地带来
Token
调用量的快速 增长;
2
)智能体应用渗透率提升;
3
)图像与视频大模型的调用增加。根 据
IDC
数据,中国智能算力规模预计将由
2025
年的
1,037 EFLOPS
增长 至
2028
年的
2,782 EFLOPS
,
2025-2028E
复合增长率达到
39%
。在
AI
算 力需求快速增长以及
AI
应用渗透率提升的驱动下,中国
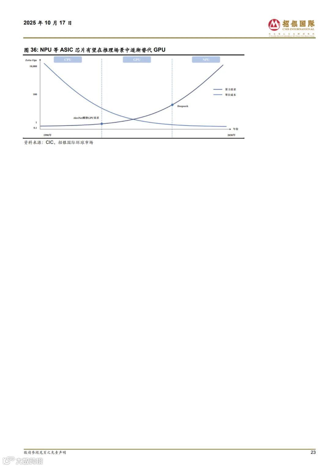
AI
推理芯片市场规 模预计将从
2025
年的
3106
亿元增长至
2029
年的
1.38
万亿元,复合增速 为
45%
,其中专为推理设计的
NPU
占比将从
2025
年的
19%
增长至
2029
年的
29%
(据
IDC
,
CIC
)。
关注
AI
发展浪潮中产业链协同的投资机会。
报告中我们对中国主要
AI
相关 互联网公司的
AI
业务布局及进展进行了梳理,同时梳理了其近两年对外投 资及协同主业布局的情况。我们观察到行业
2022
年起逐步减少对外的大规 模投资,更加关注投资与主业的协同发展,布局更偏向于支持前沿科技、 丰富
AI
相关的应用场景、及推进核心主业的国际扩张。硬件方面,中国互 联网企业在芯片领域的投资布局以产业链协同整合和推理芯片突破为核 心。通过投资存储、网络、光电子等产业链关键环节构建完整生态,并重 点发力边缘
AI
芯片、车载芯片及大模型推理
GPU
。
免费下载文件,请点击并搜索→
:
产业链协同
【声明】内容源于网络
0
0
求数科技
科技、人工智能、网络安全、科学、工业软件信息资讯
内容
662
粉丝
0
关注
在线咨询
求数科技
科技、人工智能、网络安全、科学、工业软件信息资讯
总阅读
315
粉丝
0
内容
662
在线咨询
关注