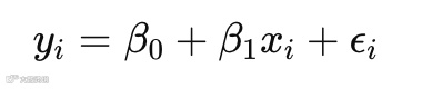
Actual value:真实值,一般使用 y 表示。
Predicted value:预测值,是把已知的 x 带入到公式里面和猜出来的参数 w,b 计算得到的,一般使用 y^y^ 表示。
Error:误差,预测值和真实值的差距,一般使用 ε 表示。
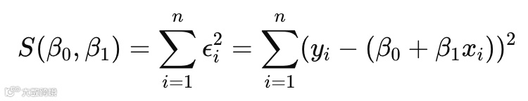
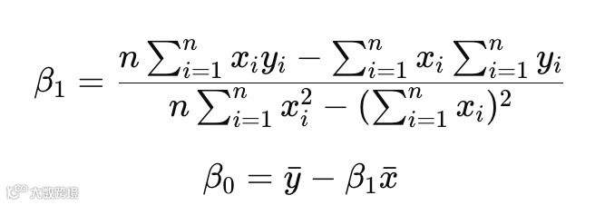
最优解:尽可能的找到一个模型使得整体的误差最小,整体的误差通常叫做损失 Loss。
Loss:整体的误差,Loss 通过损失函数 Loss function 计算得到。

扫码进行专业咨询
系列回顾:

