
开发基于无卤阻燃技术的清洁、高效、安全环保、价格低廉的阻燃剂和防火安全型阻燃高分子材料已是近年来阻燃领域向环保方向的发展趋势,备受工业界关注。在现有对PP进行无卤阻燃改性的技术中,膨胀型阻燃剂(IFR)由于对PP的加工流动性,低密度优势影响最小且其具有阻燃效率高、用量少、低烟、无毒、无腐蚀气体释放等特点,被认为是当今无卤阻燃PP最有前景的发展方向之一。
典型的IFR体系是由以聚磷酸铵(APP)、季戊四醇(PER)和三聚氰胺(MEL)分别为酸源、碳源和气源构成的,受热时成炭剂在脱水剂的作用下脱水成炭,炭化物在阻燃剂分解的气体作用下形成蓬松多孔的炭层,该炭层可以阻止聚合物与热源之间的热传导和氧气的扩散,降低聚合物的分解温度,还可以防止挥发性可燃组分的扩散,进而起到阻燃的作用。

炭源
成炭剂是指在燃烧过程中能被脱水剂夺走水分而被炭化的物质,成炭剂是形成泡沫炭化层物质的基础。成炭剂主要是一些含炭量高的多羟基有机化合物,如季戊四醇、山梨醇、淀粉和含有多羟基的有机化合物等。下表列出了各种多羟基化合物的分子式、含炭量及反应率,这些多羟基化合物主要用作膨胀型阻燃剂中的成炭剂。尽管它们的分解温度各不相同,但在脱水剂的存在下,可以在低于聚合物燃烧温度下分解。
酸源
酸源是IFR中最主要的成分,在受热分解后产生酸性催化剂,促使聚合物脱氢成炭,同时酸性粘稠物质覆盖在凝聚相表面可以起到阻止传热和传质的作用。最早使用的是磷酸二铵和磷酸二氢铵,但是因为它们有较高的水溶性而逐渐被淘汰。目前使用最多的是聚磷酸铵、磷酸铵镁和硼酸锌。这些物质皆可以受热分解产生磷酸及其衍生物,实现酸源的主要功能。
气源
气源是指在受热时分解释放出大量无毒且能抑制火焰蔓延的气体,同时发生膨胀形成海绵状泡沫结构的化合物。选择气源的关键是使其分解温度与成炭剂和脱水剂相适应,分解温度过低,气体在成炭剂成炭前释放起不到作用;分解温度过高,产生的气体会把炭层顶起或者吹掉,而不能形成具有隔热作用的泡沫炭层。常用的气源有三聚氰胺、双氰胺、聚磷酸铵、硼酸胺、双氰胺甲醛树脂、氯化石蜡等。
下表列出了一些常见的酸源、炭源和气源及其分解温度。

目前,膨胀型阻燃剂在PP中应用时仍会出现以下问题:
(1)与聚合物基体相容性较差,膨胀型阻燃剂与聚合物的极性相差很大导致其相容性差,使聚合物的电性能和绝缘性能有所下降,尤其是力学性能如拉伸强度和抗冲击强度大幅度下降;
(2)易吸潮,如APP/PER/MA膨胀阻燃体系,不但多羟基容易吸湿,而且各成分之间易发生醇解,导致阻燃聚合物耐水性差;
(3)一般的膨胀型阻燃剂的相对分子质量小,易迁移到聚合物表面,从而导致阻燃产品的物理机械性能差,尤其外观性差。
相应有如下的改性方法:
(1)提高阻燃剂与聚合物基体的相容性:一是使用硅烷、钛酸酯等偶联剂对膨胀阻燃系统中各主要组分进行改性处理,二是合成一些大分子膨胀型阻燃剂,大幅度地改善与聚合物的相容性,三是设计合成反应型膨胀型阻燃剂,可以共价键方式与树脂基体结合;
(2)湿敏性的改进:提高膨胀型阻燃剂的聚合度(如APP),从而改善其耐水性;
(3)分子尺度的改进:集酸源、炭源和气源于一体、聚合物化和大分子化是膨胀型阻燃剂发展的另一重要趋势。
炭源的改性
传统意义上的碳源主要是一些易受热脱水而形成炭结构的多羟基化合物,如季戊四醇、淀粉、糊精等,但这些IFR用的成炭剂多羟基化合物如季戊四醇极性强,与聚烯烃的相容性不好,在使用过程可能发生渗出吸潮问题,影响阻燃效果的持久性、阻燃材料的电绝缘性及力学性能。
为了解决这一问题,可以采用一些易成炭的高分子材料如聚氨酯、聚酰胺代替小分子强极性化合物。将热塑性聚氨酯(TPU)作为碳源,APP为酸源和气源组成IFR应用于PP可得到阻燃性能和力学性能都较好的膨胀阻燃体系,TPU的引入提高了体系的热稳定性,阻燃效果好坏取决于TPU所用多元醇的结构,基于聚酯型多元醇的TPU相对于聚醚多元醇的TPU更有利于阻燃性能的提高,同时硬段含量高的TPU也更有利于阻燃性能的提高。尼龙6(PA-6)也可以被用于膨胀阻燃PP中用作成炭剂,但必须加入相容剂如乙烯-醋酸乙烯酯(EVA)以抑止APP的迁移并增加PA-6与PP间的相容性。
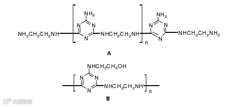
将具有成炭作用的小分子进行聚合得到可作为碳源的高分子成炭剂可有效降低小分子成炭剂的负面影响。如意大利MontedisonS。P。A公司申请的美国专利US4504610以三聚氰氯和哌嗪及哌啶为原料合成了第一例含三嗪结构的高分子成炭剂,并用于聚烯烃阻燃,证明阻燃材料的综合性能良好。随后申请的欧洲专利EP0475418A2,EP0544352A1,美国专利US5225463,US5124379,US5629382都合成了基于三嗪结构的高分子成炭剂,只是三嗪环上的取代基不同。采用季戊四醇的二聚体或三聚体代替季戊四醇也可以在一定程度上避免PER的水溶性问题。

两种含三嗪结构的高分子成炭剂化学结构
酸源的改性
酸源的改性主要是改善APP的水敏性和吸潮性。通过提高其相对分子质量及改善结晶形态来改进APP,目前已经有很多专利,代表产品有RhodiaConsumerSpecialitiesLtdClariant公司的名为ExolitAP420,422,423系列的APP,ExolitAP422的平均聚合度约为700。
除此之外,对APP进行表面包覆是一个简单易行的办法,含有疏水长碳链的季铵盐,疏水性强的非离子表面活性剂,硬脂酸盐离子型表面活性剂及有机硅树脂都可用来对APP进行表面包覆。例如,三聚氰胺-甲醛树脂本身具有良好的阻燃性。在三聚氰胺-甲醛树脂预聚物的醇类分散液中加入APP,使三聚氰胺-甲醛树脂预聚物在APP表面进行原位交联可对APP形成微胶囊包覆。
膨胀剂的聚合物化和大分子化
膨胀型阻燃剂已由低分子逐步向聚合物大分子发展,即一个大分子中包含成炭剂、炭化催化剂和膨胀剂,向集酸源、炭源和气源于一体的多功能化、组分比例合适的方向发展。其实际上是将具有三源作用的一些小分子或大分子提前进行化学反应而结合为一体,典型的化学结构式如下图所示。这些品种一般热分解温度高于℃,耐热性较好,水溶性低,但合成成本高。

一般情况下,要使膨胀阻燃聚烯烃的阻燃级别达到UL94V-0级,IFR的加入量要达到材料总量的25~30wt%,会使材料的力学性能产生较大的下降,另外也会造成材料成本的较大幅度上升。人们在实践过程中发现在膨胀阻燃体系中加入一些物质可以起到协效剂的作用,明显提高体系的阻燃性能。因此,添加高效的阻燃协效剂增加残炭量和改善炭层质量以提高阻燃效率并尽量降低成本是今后膨胀型阻燃剂阻燃聚烯烃的研究重点。
金属盐及其氧化物
一些金属化合物具有一定的催化氧化脱氢成炭作用,同时金属可以与IFR降解过程中的酸性产物反应从而对阻燃效果产生影响。例如,将MoO3和Fe2O3加入APP/PER/MEL体系中,研究表明这2种氧化物能提高残炭量,提高膨胀型阻燃剂的热稳定性,同时提高炭层的致密程度;将低聚水杨醛(SO)类金属络合物或水杨醛肟(SAO)类金属络合物加入阻燃体系中,材料的阻燃性能显著提高,由于其具有与自由基结合的能力和催化脱氢的能力,从而起到催化和自由基抑制的双重作用。
硅酸盐类
硅酸盐一般由硅、氧、金属元素及结合水或吸附水构成,本身不能燃烧及耐温等级高,硅酸盐本身所具有的酸性及所含有金属离子使其还可能具有一定的催化作用,一些天然的硅酸盐一直被用于橡塑材料的填料而使用,合成沸石是最早被发现在膨胀阻燃聚烯烃体系中有较好协同作用的硅酸盐品种。
例如,采用APP、PER和沸石构成膨胀型阻燃剂阻燃聚丙烯,研究发现当总添加量为30%时,氧指数可达42%,垂直燃烧通过UL94V-0级;添加不同含量的沸石到膨胀型阻燃剂中,对聚丙烯具有不同的阻燃性能,当沸石的添加量为5%时具有最好的阻燃效果,沸石的加入在残炭中形成了更大的气泡。
在聚丙烯膨胀阻燃体系中用硅钨酸作为协效剂能将体系的氧指数由30。5%提高到34。5%,使其达到UL94V-0级。硅钨酸的加入提高了体系的热稳定性,使炭化层形成了更为致密的闭孔结构。同时,炭化层中的P—O—P和P—O—C键形成几率也得以提高。
脲类
由于两个氨基连在同一个羰基上,脲呈弱碱性,可水解生成氨,加热可生成缩脲,脲与酰氯、酸酐作用可生成相应的酰脲。由于脲的这些特殊性质,所以当脲加入到膨胀阻燃聚丙烯体系后,酸源可促使脲水解或缩合生成不燃性的NH3,NH3能稀释氧气浓度从而抑制燃烧,而聚脲和酰脲可促使炭层更加致密。例如以聚(2,4-甲苯二己二脲)(PHU)和聚(2,4-甲苯二乙二脲)(PEU)为协效剂,分别与MEL改性APP后的产物复配构成膨胀型阻燃剂,它们对进一步提高聚丙烯的阻燃性能都有显著作用。
官能团高分子
研究表明,某些官能团高分子可作为膨胀型阻燃剂的协效剂,如乙烯-醋酸乙烯酯共聚物(EVA)可作为膨胀型阻燃体系的协效剂。这类协效剂在阻燃体系中有2个作用,一是提高氧指数;二是作为分散剂来改善界面的结合力,防止矿物添加剂与聚合物基体的排斥性。例如,用红磷合金、Al(OH)3、APP组成复合阻燃体系阻燃PP,并且用EVA部分代替PE-LD和硅烷接枝交联从而取得良好的阻燃效果,较好地改善了材料的力学性能。
随着聚合物阻燃技术的发展,对膨胀型阻燃剂的综合性能有了更高的要求,不仅要达到规定的阻燃级别,而且要有良好的力学性能、发烟量少、不含有腐蚀性气体、具有热稳定性、光稳定性和耐老化性能等。由于膨胀型阻燃剂是均匀分散在聚合物中,所以要求体系中各组分能够起到协效作用。未来的膨胀型阻燃剂发展热点会集中在以下几个方面:膨胀阻燃剂的表面处理技术、微胶囊处理技术、微细化处理技术、各种阻燃剂的协效技术以及阻燃剂的共聚与改性技术。
会议推荐
“链塑2018共混智造—工艺升级,打造降本增效‘新’时代”是共混行业全球最大的工艺论坛,国际工艺工程师汇聚,一起切磋琢磨实现工艺升级提升自动化水平。共混行业降本增效势在必行!

素材来源:互联网
精彩推荐:
300位工艺设计专家、国际知名设备生产商、改性行业CEO、工艺师、装备负责人等一起探讨“共混智造”
链塑网11.17“共混智造”工艺制造论坛最新议程(附最新参会名单)



