
丙烯腈:它是由丙烯和氨生产的合成单体。该组分有助于ABS耐化学性和热稳定性

ABS聚合物的单体
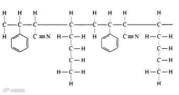
ABS通过乳液或连续质量技术生产。丙烯腈丁二烯苯乙烯的化学式为:

丙烯腈丁二烯苯乙烯的分子结构
ABS通过乳液或连续质量技术生产。丙烯腈丁二烯苯乙烯的化学式为(C8H8 ·C4H6 ·C3H3N)n。天然材料是不透明的象牙色,易于用颜料或染料着色。
ABS是一种坚固耐用的耐化学腐蚀树脂,但易被极性溶剂侵蚀。与其它树脂例如HIPS相比,它具有更强的抗冲击性能和略高的热变形温度。
ABS的使用加工范围很管,不像一些特殊的材料,它可在大多数标准机械上加工。不论是注塑,还是吹塑、挤出,都不在话下。而且它的低熔融温度特点,让它特别适合最近火热的领域——3D打印。
ABS介于标准树脂(PVC,聚乙烯,聚苯乙烯等)和工程树脂(丙烯酸,尼龙缩醛......)之间,出色的性能特点让它既满足于产品质量要求,又能够满足成本控制,是物美价廉的典范。
由于其多种物理特性,ABS是各种结构应用的理想材料,例如:
高刚性
即使在低温下也具有良好的抗冲击性
良好的绝缘性能
良好的焊接性
良好的耐磨性和抗应变性
高尺寸稳定性(机械强度和长期稳定性)
高表面亮度和出色的表面外观
ABS具有优异的机械性能,抗冲击强度良好。ABS除了良好的表面性能之外,绝缘性能也是应用中值得考虑的一点。
就像天底下没有完美的人一样,材料也没有完美的一面,ABS在众多的优势点的光芒之下,依然会有些需要改进的地方。
耐候性差
普通等级容易燃烧
很容易划伤
耐溶剂性差,特别是芳香族,酮类和酯类
有润滑脂的情况下会遭受应力开裂
低介电强度
连续工作温度低
对稀释的酸和碱具有非常好的抵抗力
对脂肪烃的适度耐受性
对芳烃,卤代烃和醇的耐受性差


以上就是ABS的一些基础性能数据,希望对你在生产中有所帮助。下篇我们再聊聊ABS的生产加工与具体应用,敬请期待~
原创作品,转载须加微信
精彩推荐:
300位工艺设计专家、国际知名设备生产商、改性行业CEO、工艺师、装备负责人等一起探讨“共混智造”
链塑2018改性塑料产业峰会论坛对话集锦(三):持续发展的核心竞争力与模式选择
链塑2018改性塑料产业峰会论坛对话集锦(二):行业的未来走向和发展空间
链塑2018改性塑料产业峰会论坛对话集锦(一):中国改性塑料企业的生存现状


