
聚碳酸酯PC是一种性能优良、应用广泛的工程塑料。PC是一种无定形聚合物,具有极高的透明度,透光率可达89%,可以满足很多对光学、颜色要求高的应用场景,而且其本身具备一定的阻燃效果,可达到V-2级阻燃,是自熄型工程塑料。
然而,在一些应用场景,需要达到1.6mm甚至0.8mm的V-0级阻燃,比如手机壳等电子产品,PC膜,PC板材等领域,而且还要保持PC的透明度,这就有一定的困难了!
目前PC用阻燃剂主要有磷酸酯类,有机硅类和磺酸盐类等。磷酸酯类阻燃剂(如BDP,RDP)阻燃PC需要添加量大,且容易发生滴落,需要添加抗滴落剂,抗滴落剂则会严重影响PC的透明度。能够保持PC高透明度的主要是磺酸盐类和有机硅类阻燃剂。
一、磺酸盐系阻燃剂
磺酸盐阻燃剂属于碱土金属盐,对PC制品的阻燃效率高,常用的品种主要有2,4,5-三氯苯磺酸钠 (STB)、苯磺酰基苯磺酸钾 ( KSS) 、全氟丁基磺酸钾( PPFBS)。STB含有氯元素,多用于非透明PC体系中。
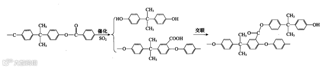
磺酸盐阻燃剂阻燃机理:磺酸盐在300~500℃会降解产生能够促进 PC交联成炭的SO2气体,这个温度区间与PC的降解温度相匹配,这种成炭交联主要是通过促进 PC的异构化和 Fries重排来实现。
磺酸盐促进交联成炭
1、苯磺酰基苯磺酸钾(KSS)
KSS使用较广泛,添加0.05%-0.1%即可使PC的氧指数从27%提高到37%左右,且不会影响PC的透明性。但是单独使用不能使薄壁制件(厚度≤2.5mm)的阻燃性达到UL94 V-0级。实际应用时常与聚硅氧烷复配,若同时再加入少量含氟聚合物可使材料阻燃性更佳。
2、全氟丁基磺酸钾(PFBS)
在PC中添加0.06%-0.1%的PFBS即可使PC达到UL94 V-0 (3.2mm),但要达到1.6mm或者0.8mm的V-0级别仍有困难。为满足更高的阻燃要求,通常可加入少量硅氧烷进行复配。硅氧烷的用量为配方总量的0.02%-0.3%即可使1.6mm厚样条阻燃性达到UL-94 V-0级。需注意的是PFBS用量若超过0.1%,不但不能提高PC的阻燃性能,而且会影响PC的透明性。
KSS相比于PFBS,可使PC具有更高的透明度,但是其阻燃效率更低,而且,两者的添加量与阻燃效果都不是线性关系,并不是添加越多,阻燃效果越好。
工业化生产中,全氟磺酸盐类阻燃剂是透明阻燃PC应用最广的解决方案。
虽然磺酸盐是PC的一种高效阻燃剂,然而随着《斯德哥尔摩公约》的不断完善,含氟磺酸盐已被列入持久性有机污染物禁用名单,很多市场和领域已明确禁用此类物质。
二、有机硅类阻燃剂
硅系阻燃剂分为无机硅系和有机硅系,无机硅系阻燃剂对PC的韧性影响严重,使用较少。有机硅系阻燃剂主要是聚硅氧烷和聚硅氧烷衍生物。
硅系阻燃剂阻燃机理为:硅系阻燃剂在高温下易迁移到材料表面,形成—Si—O—或—Si—C—结构,这种结构在材料表面能够起到隔热和阻燃的作用,同时这种多孔结构能够吸附燃烧过程中的烟和毒气,具有低烟、低毒的效果;此外,硅系阻燃剂还有促进成炭的作用。
苯基硅氧烷除了能促进PC的异构化和Fries重排而促进成炭外,还会与Fries 重排生成的酚羟基反应,生成含苯基的交联成炭的醚结构。
适用于PC阻燃的聚硅氧烷从结构上可以分为线形和支链形2种,其中线形聚硅氧烷阻燃PC的流动性好,冲击强度高,加工性及可回收性好;支链形聚硅氧烷阻燃PC更容易交联成炭,阻燃效果更好,且烟雾及有毒气体生成量较小。
硅氧烷阻燃剂一般添加量为1.5-4wt%,可达到UL 94 V-0 (1.0-1.5 mm),可使PC的透光率保持在87%左右。
大部分的硅系阻燃剂都是以物理添加的方式加入,这需要硅氧烷中苯基含量高,与PC相容性好;还有一种方式是在PC聚合过程中引入硅氧烷单体,形成PC-硅氧烷共聚物,即硅共聚PC。硅共聚PC不仅具有较好的阻燃性能,还具有很好的流动性和低温韧性。

点击关注共混人都在关注的视频号吧!
推荐阅读




