
报名传送门(点击图片)
尼龙源头
尼龙是美国杰出的科学家卡罗瑟斯(Carothers)及其领导下的一个科研小组研制出来的,是世界上出现的第一种合成纤维。尼龙是由聚酰胺类树脂构成的塑料,此类树脂可由二元胺与二元酸通过缩聚制得,也可由氨基酸脱水后形成的内酰胺通过开环聚合制得。
聚酰胺(PA)是美国DuPont公司最先开发用于纤维的树脂,于1939年实现工业化。20世纪50年代开始开发和生产注塑制品,以取代金属满足下游工业制品轻量化、降低成本的要求。
PA的品种繁多,有PA6、PA66、PA11、PA12、PA46、PA610、PA612、PAl010等,以及近几年开发的半芳香族尼龙PA6T和特种尼龙等很多新品种。
我们先来了解一下尼龙大家庭的成员们。
尼龙6(PA6)
英文名称:Polyamide6 or Nylon6,简称PA6或尼龙6,又称聚酰胺6,即聚己内酰胺,由己内酰胺开环缩聚而得,分子结构式:

呈半透明或不透明的乳白树脂,具有优越的机械性能、刚度、韧性、耐磨性和机械减震性,良好的绝缘性和耐化学性能。广泛应用于汽车零部件、电子电气零部件等多个领域。
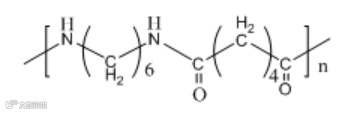
尼龙66(PA66)
英文名:Polyamide 66 or Nylon6,简称PA66或尼龙66,又称聚酰胺66,即聚己二酰己二胺。分子结构式:

用于制造机械、汽车、化学与电气装置的零件,如齿轮、滚子、滑轮、辊轴、泵体中叶轮、风扇叶片、高压密封围、阀座、垫片、衬套、各种把手、支撑架、电线包内层等。

风扇叶片
尼龙11(PA11)
英文名:Polyamide11 or Nylon11,简称PA11或尼龙11,又称聚酰胺11,即聚十一内酰胺。分子结构式为:

呈白色半透明体。其突出的特点是熔融温度低而加工温度宽,吸水性低,低温性能良好,可在-40℃~120℃保持的良好柔韧性。主要用于汽车输油管、制动系统软管、光纤电缆包覆、包装薄膜、日用品等。

尼龙12(PA12)
英文名:Polyamide12 or Nylon12,简称PA12,又称聚酰胺12,即聚十二酰胺。分子结构式为:
它类似尼龙11,但其密度、熔点和吸水率比尼龙11低。由于其含有较大量的增韧剂而具有聚酰胺和聚烯烃相结合的性能。其突出的特点是分解温度高,吸水性低,耐低温性能优良。主要用于汽车输油管、仪表板、油门踏板、刹车软管,电子电器的消声部件、电缆护套。

仪表板
尼龙46(PA46)
英文名:Polyamide46 or Nylon46,简称PA46或尼龙46,又称聚酰胺46,即聚己二酰丁二胺。分子结构式:
其突出的特点是具有高结晶度,耐高温、高刚性,高强度。主要用于汽车发动机及周边部件,如缸盖、油缸底座、油封盖、变速器。电气工业中用作接触器、插座、线圈骨架、开关等对耐热性、抗疲劳强度要求很高的领域。

尼龙610(PA610)
英文名:Polyamide 610 or Nylon 610,简称PA610或尼龙610,又称聚酰胺610,即聚葵二酰己二胺。分子结构式:

呈半透明奶白色,其强度介于尼龙6与尼龙66之间。比重小,结晶性较低,对水、湿度影响较小,尺寸稳定性好,能自熄。用于精密塑料配件,输油管、容器、绳索、传送带、轴承、衬垫、电气电子中的绝缘材料和仪表壳。

尼龙612(PA612)
英文名:Polyamide 612 or Nylon612,简称PA612或尼龙612,又称聚酰胺612,即聚十二烷酰己二胺。分子结构式为:

尼龙612是一种韧性较好的尼龙,密度比尼龙610小,有极低的吸水率,优良的耐磨性能,较小的成型收缩率,耐水解性和尺寸稳定性优良。最主要的用途是做高档牙刷的单丝和电缆包覆。

尼龙1010(PA1010)
英文名:Polyamide1010 or Nylon1010,简称PA1010或尼龙1010,又称聚酰胺1010,即聚葵二酰葵二胺。分子结构式:

尼龙1010是以蓖麻油为基础原料而制得的,是我国上海赛璐珞厂首先研制成功并实现工业化。其最大的特点是具有高度延展性,可牵伸至原长的3~4倍,而且拉伸强度高,冲击性和低温性优良,-60℃下不脆,同时具有极佳的耐磨性、超高的韧性和良好的耐油性,广泛应用于航天、电缆、光缆、金属或线缆的表面涂覆等。
半芳香族尼龙(透明尼龙)
英文名:Semi-aromatic nylon,又称无定形聚酰胺,化学名称为:聚对苯二甲酰三甲基己二胺。其分子结构式为:

属于芳香族的一种,当尼龙原料的胺或者酸中有一样含有苯环时叫做半芳香尼龙,两种原料都含有苯环时叫做全芳香尼龙。但在实际应用中,由于全芳香尼龙的加工温度太高,不适宜操作,所以市场上一般以半芳香尼龙作为主要推广种类。
半芳香尼龙在国外已经有很多的应用,尤其是在高性能的工程塑料领域,半芳香尼龙以其优异的性能得到了许多大公司的认可并投入生产。由于化工巨头的垄断性经营,国内对于半芳香尼龙还没有比较到位的认识,并且只能见到国外改性后的半芳香尼龙而无法自己使用这种新型材料来自己进行改性。
尼龙(PA)材料性能一览
优点:
1、机械强度高,韧性好,有较高的抗拉、抗压强度。抗拉强度接近于屈服强度,比ABS高一倍多。
2、耐疲劳性能突出,制件经多次反复屈折仍能保持原有机械强度。
3、软化点高,耐热。
4、表面光滑,摩擦系数小,耐磨。
5、耐腐蚀,十分耐碱和大多数盐液,还耐弱酸、机油、汽油,耐芳烃类化合物和一般溶剂,对芳香族化合物呈惰性,但不耐强酸和氧化剂。
6、有自熄性,无毒,无臭,耐候性好,对生物侵蚀呈惰性,有良好的抗菌、抗霉能力。
7、有优良的电气性能。
8、制件重量轻、易染色、易成型。
缺点:
1、易吸水。饱和水可达到3%以上,一定程度上影响尺寸稳定性。在改性工艺上,尼龙加入纤维增强可降低吸水率。半芳香族尼龙由于分子链中含有苯环,其吸水率非常低,改变了过往人们眼中“尼龙=吸水”的印象;由于苯环的存在,其尺寸稳定性得到了很好的提升,从而可以注塑加工成精密的零件部位。
2、耐光性较差,在长期偏高温环境下会与空气中的氧发生氧化作用。
文章由链塑网编辑苏秦整理,想了解更多改性塑料知识,请加编辑微信,随时欢迎搭讪。





