本文将告诉您热稳定剂的各种类型,以及有哪些新型热稳定剂。
热稳定剂是一种聚合物添加剂,具有多种结构和关键功能基团,包含:
主抗氧化剂[受阻酚(-OH,具有大基团)],
辅助抗氧化剂[亚磷酸酯(P+3)],
受阻胺(具有大基团的环状胺)
硫酯(含硫),
金属盐(金属+脂肪酸),
有机锡(Sn-C)
这些结构决定了它们的保护作用,接下来我们将分别介绍这些添加剂。
下表比较了添加热稳定剂的主要优点和局限性,以帮助您为您的聚合物配方选择最合适的热稳定剂。
抗氧化剂
主抗氧化剂
主抗氧化剂直接拦截并中和驱动氧化链式反应的自由基。例如受阻酚和仲芳胺。受阻酚是主抗氧化剂,它能将氢原子捐献给自由基。由于空间位阻和共振作用,这会导致形成稳定的苯氧基自由基,从而阻止自由基链式反应。
辅抗氧化剂
辅助抗氧化剂并不直接清除增长的自由基。相反,它们的主要作用是首先阻止这些自由基的形成,或分解可能导致自由基生成的中间产物。它们的核心作用是防止或减缓由热量和氧气驱动的热氧化降解。它们充当预防屏障,降低聚合物体系内的总自由基负担。
主要的例子包括亚磷酸酯、亚膦酸酯和硫酯。亚磷酸酯是一类辅助抗氧化剂,可将不稳定的氢过氧化物分解成稳定的产物,从而防止自由基的形成。它们在加工过程中非常有效,并且通常与受阻酚协同作用。
注:抗聚合物热降解和热氧化降解在很大程度上依赖于抗氧化剂。根据其作用机理,抗氧化剂大致可分为主抗氧化剂和次抗氧化剂两类。通常,最有效的热稳定性是通过主抗氧化剂和次抗氧化剂的协同组合来实现的,次抗氧化剂有助于“再生”或保护主抗氧化剂。这是通过分解可能与主抗氧化剂发生反应并消耗主抗氧化剂的氢过氧化物来实现的,这种协同作用可增强并延长对热降解的防护。
合成抗氧化剂与天然抗氧化剂
为了寻找聚合物的有效抗氧化剂,人们开发了各种各样的合成化合物。此外,人们还探索了天然物质的潜力。每种类别都有其独特的优缺点。
合成抗氧化剂:在实验室和工业化工厂通过受控化学反应合成。例如受阻酚(例如丁基羟基甲苯,Irganox®系列)、亚磷酸酯(例如Irgafos®系列)、硫酯(例如硫代二丙酸二硬脂酯)、芳香胺(例如Wingstay®系列)以及受阻胺光稳定剂(HALS - 虽然主要用作紫外线稳定剂,但也有助于提高热稳定性)。
天然抗氧化剂:从天然来源(主要是植物)提取和纯化而来。但也有一些是从微生物和动物产品中提取的。例如,酚类化合物,如生育酚(维生素E)、迷迭香提取物(鼠尾草酸、鼠尾草酚)、绿茶提取物(儿茶素)、黄酮类化合物和木脂素。类胡萝卜素,如β-胡萝卜素、番茄红素、抗坏血酸(维生素C)及其衍生物。
受阻胺光稳定剂(HALS)
受阻胺光稳定剂主要属于光稳定剂,旨在提供长期保护,防止紫外线引起的降解。然而,它们也显著提高了热稳定性。这尤其体现在长期使用以及缓解光照引起的降解方面。实际上,要实现最佳的聚合物稳定性,通常需要使用协同作用的稳定剂混合物。这包括亚磷酸酯(用于加工和长期热稳定性)和受阻胺光稳定剂(HALS)(用于长期紫外线和耐候保护,并有助于提高热稳定性)。
让我们来看看亚磷酸酯稳定剂和受阻胺光稳定剂之间的区别。
金属基和有机锡稳定剂
聚氯乙烯 (PVC) 的热稳定性至关重要,因为它本身容易发生热降解。这主要发生在自催化脱氯化氢过程(释放 HCl)中。金属皂和有机锡化合物作为 PVC 稳定剂都发挥着重要作用。然而,它们的化学性质、作用机理、性能特征和环境影响各不相同。5
金属皂:它们是长链脂肪酸(例如硬脂酸、月桂酸)与各种金属(例如钙 (Ca)、锌 (Zn)、钡 (Ba)、镁 (Mg) 和铅 (Pb))形成的盐。它们含有金属离子,尤其适用于聚氯乙烯 (PVC)。它们会导致变色,有些还具有毒性/环境问题。它们通常用于复杂的混合物中,以达到协同稳定效果。
有机锡:这类化合物的特征是锡原子与有机基团(例如甲基、丁基、辛基)共价结合。它们以碳基为基础,可作为自由基清除剂/氢过氧化物分解剂。其类型包括硫醇盐(含硫)、羧酸盐和马来酸盐,其中含硫有机锡通常性能最佳。它们通常较少引起变色,毒性也较低(但仍然值得关注)。
目前,PVC稳定剂的趋势是逐渐放弃使用高毒性的金属稳定剂(例如铅),转而采用更环保的替代品。这包括优化的钙/锌基稳定剂体系、有机稳定剂以及更安全的有机锡化合物(例如硫醇辛基锡)。稳定剂体系的选择需要在性能要求、成本、加工考虑因素和法规遵从性之间进行复杂的权衡。
纳米复合材料
添加纳米填料可以对挥发性产品和氧气形成屏障,从而:限制聚合物链运动,改善散热,以及形成保护性炭层。
这使得耐热性得以提升,而无需仅仅依赖化学添加剂。从图3可以看出,PBT/粘土纳米复合材料的热稳定性优于不含粘土的相应聚合物。与不含任何粘土的PBT聚合物相比,粘土纳米复合材料的降解起始温度和最高分解温度均提高了近8-10°C。看来,仅添加2%(重量百分比)的纳米粘土就能提高PBT的热稳定性。
图3:氮气气氛中各种PBT/粘土纳米复合材料的热分析
热稳定剂的新兴趋势和创新
生物基热稳定剂
人们越来越关注来自可再生资源(植物油、提取物)的可持续替代品,这有助于:
取代生物塑料中的合成稳定剂,
提高热稳定性和紫外线稳定性,
支持循环经济
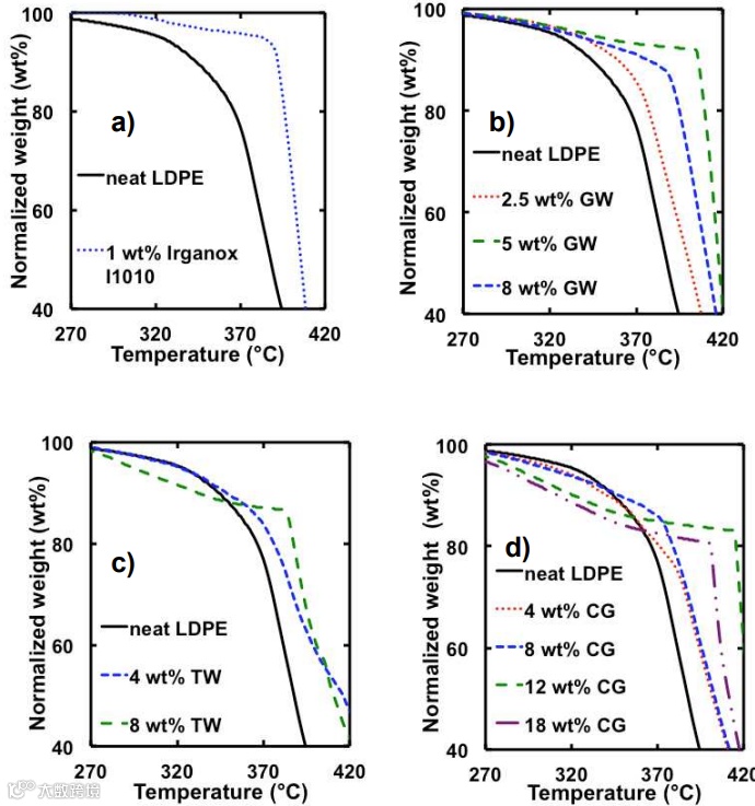
例如,使用空气中的热重分析 (TGA) 来比较天然抗氧化剂与合成抗氧化剂Irganox® 1010的有效性。该分析比较了在静态条件下稳定聚合物以防止热氧化降解的能力。图5显示了通过熔融加工添加1wt% Irganox® 1010(负载水平与商业应用中使用的水平相似)或在LDPE中加入不同负载的农业废弃物的LDPE样品的热分析图。
图 5. 纯 LDPE 和含有 a) Irganox® 1010、b) GW(葡萄废料)、c) TW(姜黄废料)和 d) CG(咖啡渣)的 LDPE 混合物在空气中的热降解行为
将农业废弃物有效加入 LDPE 可大大提高稳定性。在LDPE中使用2.5wt% GW作为填料导致T10%和T20%均升高15°C。将GW负载量增加到4wt%可产生稳定性增强的最佳混合物,与纯LDPE相比T10%和T20%分别升高62°C和44°C。这些增强效果远远优于1wt% Irganox® 1010所观察到的效果。
纳米技术
纳米粘土、碳纳米管和石墨烯 等纳米材料可用于增强聚合物在高温下的机械性能、热性能和阻隔性能。它们还能提升性能,并可能减少所需添加剂的用量。
自修复聚合物
开发具有自主修复热损伤能力的聚合物。这可以延长使用寿命并提高高温应用中的安全性。这通过动态化学键或封装修复剂实现。
智能温变添加剂
探索能够动态响应温度变化的添加剂。该技术可在聚合物基质中提供定制的热管理(例如相变材料、动态隔热层),从而提高效率和保护性。
阻燃热稳定剂
研究重点是无卤、更环保且能增强热稳定性的阻燃剂。纳米材料和协同组合是关键领域。其目标是在不损害其他聚合物性能的情况下提高防火安全性。
你是否会为工作中生产线的工艺粗糙、工厂的效益失衡、企业研发创新缓慢的发展困局而头痛?
2025CIM共混智造将聚焦改性一线,拒绝空谈,分享可落地的答案:
工艺论坛:分享材料+性能的工艺秘钥;
工厂论坛:揭秘工厂运营与降本增效路径;
研发论坛:拆解高质化、高值化的技术路线图。
我们将直击高质生产、降本增效、高值创新的核心命题,推动共混产业从“经验驱动”向“数据驱动+技术驱动”跃迁。
点击下方链接,查看会议详情!
点击关注共混人都在关注的视频号吧!
推荐阅读

