2023年12月中旬,海银财富突然停止兑付所有理财产品。
“两周内,我们会出具解决方案。我不会跑,我公司状态很好。”12月15日,海银控股董事长韩宏伟如此向投资者回应。
今日,据证券时报报道,海银财富所销售的理财产品全数违规,并操控数十家空壳公司构筑了规模超过700亿元的“嵌套资金池”。
该结论由证券时报记者历时超过2个月,分赴浙江、上海、山东、湖北等8省市实地调查发现所得。
记者对大部分发行人及SPV公司进行了实地寻访,发现这是一批被操控的影子壳公司。这批公司的一个最大特点是,它们注册地很集中,却找不到有实际办公者。
截至2023年6月末,海银财富在全国91个城市拥有185个财富管理中心,1700余名理财师服务着4.66万名活跃客户。
在全国各地投资人的协助下,记者收集到数百份合同及募集说明书,并获得海银内部核心统计数据。
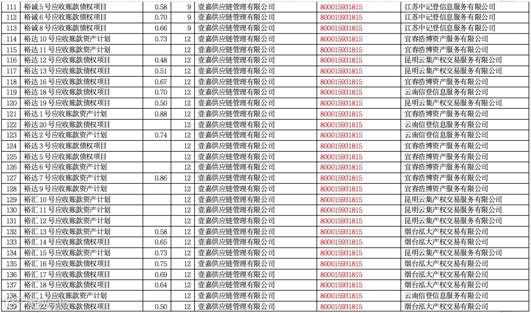
汇总信息显示,存量理财产品发行时间基本在2022年之后,涉及的发行人共计22家,发行的产品数量共计465只,总规模716.9亿元。
这22家发行人所发行的465只理财产品全数违规,它们都是在被监管部门定性为非法金融的“伪金交所”进行登记备案。
证券时报原文《潜望|海银财富700亿“资金池”调查:傀儡空壳、交叉嵌套、底层空虚》

















