去年英飞凌推出了全新的IGBT7,引起了广泛关注
它专为电机驱动设计,可谓项目“配7”,性能“配齐”
很多同学好奇,为什么IGBT7能实现这样的性能?
IGBT7的结构相对于前代,有了哪些改进?
那么就让我们跟着这篇论文
看看这新一代的技术领航者
究竟有何过人之处吧
摘要
本文介绍了针对电机驱动进行优化的全新1200 V IGBT和二极管技术。该IGBT结构基于全新微沟槽技术,与标准技术相比,可大幅减少静态损耗,并具备高可控性。而二极管因为优化了场截止设计,其振荡发生的可能性大幅降低。在功率模块中,IGBT和二极管的出色性能可带来更高的电流密度和更大的输出电流。不仅如此,通过将功率模块的最高结温提升到175 °C,输出电流可增加50%以上。
引言
在现代功率半导体器件中,提高开关速度、开关频率和功率密度是大势所趋。然而,由于不同具体应用对器件性能需求有差异,在某些应用中,对制衡开关速度的其他性能,有更高优先级的需求。就电机驱动应用特性而言,由于电机和电缆的固有隔离,导致其面临着开关速度受限的严重挑战。即开关斜率(dv/dt)被限制在2 - 10kV/μs的范围内,典型目标为5kV/μs。此外,用户采用的典型开关频率(fSW)也低于8kHz。这两点改变了器件开发时参数优化的优先级,快速开关和高开关频率需求的重要性有所减弱。简而言之,对电机驱动而言,降低静态损耗成为了功率半导体的发展重点,开关损耗变得次要了。
本文围绕英飞凌IGBT7和EmCon7展开分析和讨论。主要基于三个基本概念:首先,IGBT7技术可最大限度地减少静态损耗,同时提高开关参数的可控性,实现应用所需的最优特性;其次,全新EmCon7能够实现更干净的开关,即减少振荡,同时降低功率损耗;第三,则是基于优化功率模块设计,将暂态的最高允许结温(TJ)提高至175°C时,使IGBT和二极管能够满足实际应用的过载运行需求。基于这些IGBT和二极管概念,本文介绍了在设计过程中,对器件性能调节的思路,展示了IGBT和二极管之间潜在的相互依赖关系,指出了它们给电机驱动应用带来的主要优势。最后,本文还着重说明了IGBT7与标准技术相比所做的改进,并进行了全面比较。
IGBT7技术介绍
本章节将围绕IGBT7技术展开介绍、讨论和分析。IGBT7采用了基于新型微沟槽(MPT)的IGBT结构。它采用基于n-掺杂的衬底的典型垂直IGBT设计,p基区内的n型重掺杂构成了发射极接触结构。通过在电隔离的沟槽刻蚀接触孔,确定了沟道和栅极。在n-衬底的底部,通过p+掺杂实现了集电极区。在n-衬底和和p+之间,通过n+掺杂实现了场截止(FS)结构。它可以使电场急剧下降,同时会影响器件的静态和动态特性。

图1 MPT结构示意图及其采用的沟槽设计:有效沟道沟槽(中),无效的栅极沟槽(左上)以及发射极沟槽(左下)
不同于IGBT4等主流器件,IGBT7里的沟槽有多种形式:其中最常见的是作为有源栅极使用。在这种情况下,栅极电压施加到沟槽,在沟槽两侧形成导电沟道。其次,MPT结构还能够实现发射极沟槽和伪栅极,两者都是无效沟槽。对于发射极沟槽来说,沟槽直接接到发射极电位。对于伪栅极来说,栅极电压施加到沟槽。但是因为这些沟槽周围没有发射极接触结构,二者均无法形成导电沟道。这三种沟槽单元类型能够精细化定制IGBT。
通过增加有源栅极密度,能够增加单位芯片面积上的导电沟道。一方面,由于器件输出特性曲线更陡,可降低静态损耗。另一方面,更高的有源栅极密度,可能导致短路耐受性降低。而如果使用发射极沟槽和伪栅极,情况将有所不同。增加的无效沟道密度减少了有效导电沟道的数量,抵消了上述影响。除此之外,发射极沟槽和伪栅极改变了芯片的电容耦合。具体来讲,单位芯片面积上的的伪栅极与有源栅极数量增加,使得栅极-发射极电容(CGE)增加。反之,更多的发射极沟槽导致集电极-发射极电容(CCE)增加。于是,发射极沟槽的数量相比有源栅极和伪栅极的数量确定了集电极-栅极电容(CCG),即米勒电容。总而言之,开关参数,尤其是IGBT7的可控性直接取决于所选设计,即取决于有源栅极、伪栅极和发射极沟槽的数量。

图 2 不同单元设计对应的IGBT7动态折衷曲线 (TJ = 175 °C时的Etot和TJ = 25 °C 时的dv/dtmax,ON)。驱动器应用的dv/dtmax,ON = 5 kV/μs由虚线突出表示。插图:不同器件设计的电容CCG,CGE与CΣ比值。
通过栅极电阻控制dv/dt会影响总损耗(Etot),并导致Etot随dv/dt降低而增加。器件设计对可控性的影响的进一步分析可见图2,图2显示了四种元胞设计的Etot VS dv/dt曲线,即额定电流(Inom)下,TJ = 175 °C时的导通损耗(EON)、关断损耗(EOFF)和恢复损耗(EREC)的总和,对比在0.1·Inom,TJ=25°C时,开通过程的最大电压斜率(dv/dtmax,ON)。dv/dtmax,ON 之所以在0.1·Inom 和 TJ = 25 °C条件下进行测量,因为最陡的dv/dt通常是在这些运行条件下观察到的。RG取值从高dv/dtmax,ON下的小RG值到低dv/dtmax,ON 下的大RG值之间变化。通过比较这四种元胞设计,我们可以清楚地发现,只有设计1提供了13kV/μs的 dv/dtmax,ON可控范围,同时Etot增加不到25%,这也是目前关键应用范围内最低的Etot。在较大的dv/dtmax,ON下,设计2和4可提供类似的Etot,但是dv/dtmax,ON都大于5kV/μs。在这两种设计中,CCG的影响尤为明显:尽管CGE/CΣ(CΣ= CGE + CCG+ CCE)的比率相同,但设计4的CCG 只有设计2的一半。因此,CCG是影响可控性的主要因素。另一方面,设计3能够提供高可控性且dv/dtmax,ON的变化范围广,但在相同的dv/dtmax,ON变化范围内,如2-10kV/μs之间,设计3的Etot明显大于设计1。设计3的这种表现,是因为其有源栅极密度高于设计1,而CCG低于设计1。因此,设计3也无法满足目标应用的要求。本文仅建议在电机驱动应用中采用设计1,即IGBT7的目标设计。

图3 VDC= 600 V ,TJ,max时,IGBT4和IGBT7的开关曲线。其中,绿色代表IGBT4,蓝色代表IGBT7;开通以细线表示而关断以粗线表示;虚线对应于VCE,实线对应于IC/Inom。插图为TJ = 150 和175 °C,VDC= 800 V时的IGBT7短路开关曲线。
现在,我们将重点放在IGBT7的目标设计上,人们可能会产生疑问:如何通过提高可控性来影响开关特性和短路鲁棒性?图3显示了IGBT7以及主流的参考器件(IGBT4)的开关曲线。两个器件均在600 V直流母线电压(VDC)和相等的L·Inom下工作。选取合适的RG,使两个器件均满足TJ = 25 °C,0.1·Inom 时dv/dtmax,ON= 5 kV/μs。两个器件均显示出干净的关断曲线,不过IGBT7的的过压峰值(Vpeak)较小。导通时也是如此,二者均未显示出振荡特性。IGBT7的峰值电流比IGBT4更明显,但是电压下降更快。这两种效应都与IGBT7可控性的改善有着直接关系,可解释如下:开关期间,内部电容耦合导致器件的dv/dt可控。开关即将结束时,发生电荷再分配,从而导致明显的第二次电流峰值。在此期间,电压斜率减小并且出现上述电压拖尾,这与二极管性能无关,也与寄生导通效应无关。图3的插图显示了IGBT7的短路开关曲线。显然,IGBT7提供了干净的短路开关,即使在TJ = 175 °C时,也可承受标准的短路时间,如在TJ = 150 和175 °C时短路时间分别为8 和 6 μs 。

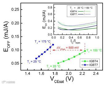
图4 不同温度条件下IGBT4 和IGBT7的折衷曲线图。插图:IGBT4和IGBT7 在TJ = 25 和 150 °C 时Etot和IC/Inom的对比。
图4显示了IGBT4和IGBT7折衷曲线。分别给出了Inom下,TJ = 25 - 150 °C 和 TJ= 25 - 175 °C(以25 °C为步长)期间的集电极-发射极饱和压降(VCEsat)VS EOFF曲线。TJ = 150 °C 时,IGBT7的静态损耗比IGBT4小500 mV,而EOFF区别较小。因此,在动态损耗相当的情况下,IGBT7的静态损耗明显更小。这突显出了新元胞设计的优点。MPT结构允许大大提高器件漂移区载流子浓度,在保持类似关断性能的同时,实现了极低的静态损耗。图4的插图显示了TJ = 25 和 150 °C,dv/dtmax,ON = 5 kV/μs时,IGBT4 和IGBT7的Etot与工作电流的关系。两种组合都显示出Etot典型的抛物线特性。特别是在TJ = 150 °C时,IGBT7 和IGBT4的Etot最大偏差小于15%。因此,由于静态损耗显著降低,IGBT7在典型应用条件下具有明显优势。
EmCon7技术介绍
在深入了解了IGBT7技术后,本文接下来将重点放在新一代二极管上。如图5所示,EmCon7的设计基于垂直PIN二极管结构。低掺杂(n-)衬底形成PIN二极管的漂移区,顶部的p掺杂区形成二极管的阳极结构。底部有一个更强的n掺杂(n+)区,形成了二极管的阴极。在n- 漂移区和 n+ 阴极区之间,合适浓度的n型掺杂实现了FS结构。

图5 基于PIN结构的二极管设计示意图
我们都知道,器件的阻断电压(VR)和关断软度很大程度上受FS设计的影响。为了研究FS和二极管性能的相互作用,本文将围绕三种设计展开分析,并与主流的EC4二极管进行性能比较。所选FS设计思路如下:FS设计1和FS设计2处于同一个设计折衷曲线。其中,FS设计1是最激进的设计,它结合了更高的阻断电压和更低的软度。FS设计2对应于传统方法,能够提供适度的阻断电压和软度。FS设计3是一种优化型设计,可在相同的阻断电压下,实现更高的软度,从而实现新的折衷曲线。

图6:左:VDC ≤ 900 V,1/10 · Inom 且TJ = 25 °C时,EC4与三种研究FS设计的开关曲线。右:与EC4相比,不同FS设计的VR 。
为了研究FS设计和性能之间的影响,本文对三种设计的开关曲线展开了分析。图6显示了基于三种不同设计的新的二极管与EC4相比的二极管恢复特性。对二极管来说,高VDC是最严酷的开关条件。这时二极管的软度达到最低,可能导致开关期间产生更严重的振荡和更高的Vpeak。因此,测量时,VDC增至900V,所有二极管在TJ = 25 °C,二极管电流(Id)为1/10 · Inom时开关。测试采用的L·Inom = 8000 nHA。图6显示了开关曲线(左),以及与EC4技术相比,上述设计的最大阻断电压(右)。EC4在振荡和过压方面表现出良好的开关特性。尽管出现了过电压,但过电压峰值小于60V,因此避免了损坏二极管。只有在电流换向的最后,才在拖尾电流区域中看出轻微的振荡。参考EC4的特性,对上述FS设计的评估总结如下:FS设计1开关性能最差。与EC4的尖峰电压相比,其Vpeak增加了一倍以上,剧烈的关断振荡不仅发生在拖尾电流中,同时还发生在清除二极管电荷载流子后。除此之外,有必要说明的是,由于可能的过电压损坏,器件无法在VDC=900V下工作。因此,我们仅对FS设计1分析到VDC = 800 V。FS 设计2提供的开关特性几乎与参考器件一致。它出现了较小的Vpeak,仅在拖尾电流中发生关断振荡。关断振荡的幅度也与参考器件相当。FS设计3展示出了最出色的开关性能,而且要比参考器件更好。在开关过程中,没有观察到关断振荡和明显的Vpeak。从这个角度来看,FS设计3是EC7的目标设计。
图6显示了研究中的不同FS设计和EC4最大阻断电压的对比(右)。与EC4相比,FS设计1阻断电压增加了85 V,其他两种设计的阻断电压几乎相同。由此,我们可以将观察到的开关特性差异,阐述如下:与FS设计2相比,FS设计1的空间电荷区明显地穿通到FS区中。因此阻断电压增加,同时导致振荡加剧。因此,通过调节FS设计在折衷曲线上位置,器件性能便从高阻断电压和低软度变为低阻断电压和高软度。如FS设计3所示,利用偏移的折衷曲线,软度甚至在阻断电压略有增加的情况下有所改善。图7显示了TJ = 25 °C,VDC= 300, 600, 800, 和 900V,1/10 · Inom 时,EC4和EC7的开关曲线。和预期一样,不论在何种情况下,EC7都提供了更软的开关和更低的Vpeak。

图7 VDC = 300, 600, 800 及 900 V,1/10 · Inom ,TJ = 25 °C时,EC4和 EC7的开关曲线。
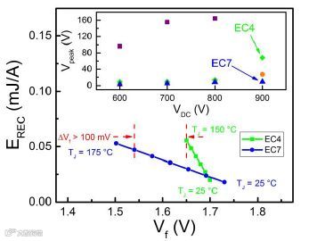
图8显示了EC4和EC7的折衷曲线。EC4和EC7在不同Inom下的正向电压(Vf),分别在TJ = 25 - 150 °C和TJ = 25- 175 °C(步长25 °C)的温度范围内显示。同时给出了在对应Inom和温度范围的EREC。此外, 通过选择合适的Rg,EREC在dv/dtmax,ON = 5 kV/μs进行测试。通过比较这两种二极管技术,我们发现TJ ≥ 150 °C 时,EC7的静态和动态损耗要低于EC4。尽管EC7在TJ = 25 °C时,静态损耗略大,但在TJ ≤ 50 °C时,观察到折衷曲线的交叉点。因此,在典型的应用范围内,EC7技术在静态损耗和EREC方面要优于EC4技术。插图显示了测得的EC4、EC7以及上述FS设计的Vpeak(色码与图6相同)。这些结果再次突显了与所选FS研究设计以及EC4技术相比,EC7技术的性能优势。

图8 Inom下显示了的EREC和Vf的EC4和EC7技术的折衷曲线。插图:ID = 1/10 · Inom TJ = 25 °C,不同VDC下的EC4, EC7以及另外两个FS设计的Vpeak。
以上就是对IGBT7以及EmCon7芯片技术的解析。再先进的芯片,也要封装在模块中才能为我们所用,所以下节我们将对比IGBT4和IGBT7功率模块的性能特点,敬请期待!


