上一节《论文|1200V IGBT7和Emcon7可控性更佳,助力提升变频器系统性能(上)》中,我们剖析了IGBT7以及Emcon7的芯片技术特点及设计思路,今天我们对比IGBT7与IGBT4功率模块的性能,看一下在系统层面,IGBT7性能究竟有多高的提升
IGBT4和IGBT7功率模块的性能比较
本节中,我们将利用IGBT7和Emcon7研究功率模块的性能。为此,我们将使用仿真工具(IPOSIM)从逆变器运行角度分析IGBT和二极管的性能。如无另外说明,本部分将重点分析无铜基板功率模块,即Easy1B和Easy2B。仿真过程中,参考以下输入参数:开关频率fSW、输出频率fo、环境温度TA、调制因子以及功率因素cos(φ)。除此之外,还利用诸如散热器到环境之间的热阻(RthHA)、IGBT热阻(RthIGBT)和二极管(RthDiode)热阻等系统特定参数来确定输出电流IRMS。如无另外说明,则使用下列工作参数(可看作通用电机驱动应用的典型参数):fSW = 2.7kHz, m = 1, fo = 50Hz, TA = 50°C, RthHA = 1.8K/W,IGBT和二极管分别使用cos(φ)= 0.85和-0.85。

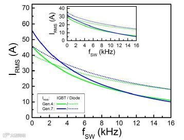
图9 相同芯片面积的第四代和第七代技术的IRMS与fSW的关系。为便于计算,TJ,max= 150 °C。大图参考芯片面积为75-A IGBT4/EC4 ,插图参考芯片面积为25-A IGBT4/EC4。
图9比较了TJ,max = 150 °C时,芯片尺寸相同的IGBT7和IGBT4和二极管的对应不同fSW的有效值电流IRMS。为便于参考,使用IGBT4和EC4的芯片尺寸为基准。IRMS为TJ为150 °C下允许的最大电流。对于75A等效芯片面积,IGBT7在fSW= 0时输出电流IRMS = 56A ,比IGBT4高20%。随着fSW的增加,IGBT4和IGBT7的IRMS均下降,IGBT7相对于IGBT4的优势也随之减少。fSW ≈ 12kHz时,可观察到交叉点。在给定工作条件下,只有在fSW高于12kHz时,IGBT4的IRMS高于IGBT7。在EC7方面,情况相当。fSW= 0时,EC7的IRMS = 46A,比EC4的最大IRMS要高15%。二极管的曲线交叉点在fSW ≈ 16kHz。图9的插图显示了25A等效芯片面积下相同的计算方法。数值变化与预期相符,可得出相同的结论。

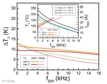
图10 在上述条件下第四代和第七代技术的ΔTJ、TJ和IRMS
图10显示75A等效芯片面积下的结温波动VS fSW,其计算所得IRMS如图9所示。可以看出,IGBT7的ΔTJ明显小于IGBT4。EC7和EC4也是如此。尽管其差异看似很小,仅为几开尔文,但从功率循环能力的角度来讲,它可为器件寿命带来非常显著的提升。图10的插图显示了IRMS = 30A时IGBT和二极管所允许的最大器件温度。这里考虑了IGBT7较高的暂态允许最高结温TJ,max。因此,在TJ,max=150°C的限制下,IGBT4和EC4只能在fSW=4kHz工作,而在175°C的最高工作温度限制下,IGBT7和EC7则可分别在6和8kHz下轻松运行。绿、蓝和黑线突出显示了TJ,max 对可行的IRMS的影响。IGBT4和EC4受到TJ,max=150°C的限制,在fSW=0时,最大IRMS为40A,其中EC4是主要限制条件;在IGBT7的限制条件下,IGBT7和EC7的暂态工作温度达175°C,fSW=0时,IRMS可超过55A。因此,使用相等的芯片尺寸和最大芯片温度,在相同工作条件下,后者输出电流可比前者高出37%以上。
考虑到 IGBT7和 EC7 的功率密度更高,图11显示了不同封装中的功率集成模块(PIM)拓扑的额定电流。对于IGBT7,Easy1B, Easy2B和Econo2封装的最大额定电流分别为25A、50A和100A,与IGBT4的Inom相比,Econo2封装的功率密度至少增加33%, Easy1B 封装增加66%。图中还特别绘制了PIM拓扑结构的典型IRMS与Inom,以便说明可能增加的功率密度。基于该曲线,可能的功率密度增加变得更加可视化。

图11 PIM拓扑的额定模块电流和最大逆变器输出电流IRMS(典型Inom)
然而,模块级别上增加的功率密度也许并不会直接给典型应用带来额外优势。可能性最高的方法是实现框架尺寸扩展,即在同一尺寸的逆变器外壳中,实现更高的逆变器额定电流。同时,必须结合考虑与参考模块相比增加的RthHA等参数,来评估是否可以达到目标输出功率。具体地讲,就是在Easy1B 封装中实现25A PIM ,这需要使用典型Easy1B(非Easy2B)的RthHA,达到与Easy2B 25-A PIM相同的输出功率。受逆变器外壳尺寸限制,散热器的最大尺寸也会受限。Easy1B封装的RthHA比Easy2B大25%左右,这对保证目标功率提出更大的挑战。

图12 条形图:IGBT4和IGBT7 IRMS,max与RthHA。线条图:RthHA 已知条件下,IGBT4(绿色方块)和IGBT7(黑色方块)运行IRMS,max = 25 和 38 A (红线和橙线)所需的Inom
图12所示条形图,展示了IGBT4和IGBT7最大可能的IRMS,max和RthHA的关系。条型图显示了Inom为10-75A(IGBT4和EC4)和10-100 A(IGBT7 和 EC7)时的PIM拓扑IRMS,max。IRMS,max明显随RthHA的降低而增加。此外,如果TJ,max= 150°C ,IGBT7和EC7可完全取代IGBT4和EC4。较高的最大额定电流可直接带来更大的优势,即上文所述的IGBT7的100A和IGBT4的75A。
若IGBT7在175°C下运行,则可实现额外优势。如图12右侧所示。红线和橙线分别表示25 A和38A IRMS分别所需的最小Inom。要实现 25A IRMS可利用IGBT7 10A PIM,它的RthHA为1.5K/W,第四代则须为35A PIM。IRMS= 38A时,IGBT7技术的优势更为明显。IGBT7 35A PIM 的RthHA为1K/W,允许在38A IRMS下工作,而第四代则须为75A PIM。
结语
本文对IGBT7和Emcon7与IGBT4及Emcon4进行了全面的比较。分析了IGBT和二极管的静态和动态性能。结果表明,与IGBT4相比,IGBT7的静态损耗显著降低,并且动态损耗没有显著增加。总之,IGBT和二极管针对较慢开关的应用进行了优化,其dv/dt在2-10kV/μs之间。在动态和静态损耗方面,IGBT7和Emcon7可完全替代IGBT4及Emcon4,并在应用过程中带来额外的性能优势。
在功率模块方面,本文围绕功率模块性能和输出功率对IGBT7展开了研究。IGBT7和EC7的分析结果显示,在同样的工作条件下,在最大器件温度150°C时,IGBT7可多输出20%的电流。由于IGBT7支持最高结温在175°C时的暂态过载运行,因此输出功率可增加66%。本文基于这些结果,提出两个应用方向:第一,对于给定的电路拓扑结构,根据可行的最大额定电流进行配置,可实现在相同封装尺寸下,模块电流等级的提升。如有必要,可利用过载最高结温TJ = 175°C的特性;第二,如使用相同芯片尺寸的IGBT7替代IGBT4,则应用寿命显著增加。
原文发表于 PCIM Europe 2018
作者:Christian R. Müller,英飞凌科技股份公司
A. Philippou, C. Jaeger, M. Seifert,英飞凌科技股份公司
A. Vellei and M. Fugger,英飞凌科技(奥地利)公司

点击阅读原文,发掘更多IGBT7相关内容
↓↓↓

