作者:
Klaus Vogel、Jan Baurichter、Oliver Lenze、
Ulrich Nolten、Alexander Philippou、
Philipp Ross、Andreas Schmal、
Christoph Urban
通讯作者:
KlausVogel(klaus.vogel@infineon.com)
德国英飞凌科技股份公司
论文篇幅较长,为了更详细的为大家讲解有关IGBT7 E7的芯片技术和EconoDUAL™ 3 IGBT7 900A 1200V产品,我们将分两部分进行介绍,本文为第一部分:芯片特性。
发展新一代半导体的目标是提高功率密度,从而降低逆变器的系统成本。能在现有的模块封装中采用新技术,对于支持目前逆变器系统的升级至关重要。这种方法可以加快市场渗透。改进型IGBT和二极管的开关特性必须契合所选模块封装的特性。在考虑到振荡特性时这一点尤为重要——因为模块电流变大后,模块内部杂散电感的优化是有限的。同时,改进封装也是应对更大电流和更高温度的一个重要途径。这带给新设备用户的益处非常明显:相同尺寸下逆变器的输出电流更高,并且避免IGBT模块的并联。这两种可能性都有助于简化逆变器系统和降低成本。本文着重探讨新款EconoDUAL™3的所有技术要素,它采用了中功率TRENCHSTOP™ IGBT7和面向通用型驱动应用的发射极控制EmCon7二极管。
1
目标应用
新一代中等功率IGBT7的目标应用之一是功率范围超出90kW的通用型逆变器(GPD)。如何良好应用IGBT7的关键是要考虑典型的应用参数,以了解它相比之前的IGBT4技术所具有的优化是通过什么改进手段取得的。
功率范围超出90kW的GPD的开关频率通常位于2 - 2.5kHz之间[1,2]。大多数逆变器制造商都采用先进的调制方法,比如可使开关损耗相比传统的连续调制减少一半的不连续脉宽调制(DPWM)[3,4]。
下面的研究,并选择1kHz和2.5kHz这两个开关频率(均为连续脉宽调制)来评估新技术。对采用DPWM的更高开关频率,该评估结果也是有效的。而且,该应用的特色之一是,采用最高环境温度为40℃的风冷挤压式铝散热器。
标定GPD逆变器的标称电流时,考虑了不同过载电流等级下的正常负载和过载。因此,IGBT所允许的最高工作温度也必须考虑到这种工况。
最后,考虑到电机绕组寿命和驱动轴的腐蚀[5],以及电磁兼容性(EMC),IGBT导通和关断期间电压变化率的最大梯度(du/dt10-90%)通常被限制在5 kV/μs(最大值)。
借助FF60012ME4_B72实现采用所有上述应用参数的模拟,结果显示在图1中。

图1:FF600R12ME4_B72在350A和该功率等级对应的典型GPD工况下的损耗分布
图注:
1.Dynamic losses:动态损耗
2.Conduction losses: 导通损耗
3.Power losses: 功率损耗
4.Switching frequency: 开关频率
可以看出,IGBT和二极管的导通损耗比动态损耗大。开关频率为1kHz时,导通损耗占半导体总损耗的83%;开关频率为2.5kHz时,该比例为65%。结合这一点以及电机相关应用的开关速度不能增加到5kV/μs以上的事实,最终得出的结论是,优化器件性能的主要途径是降低静态损耗。
下面将基于上述技术背景,详细介绍新技术的改进情况。
2
1200V TRENCHSTOP™ IGBT7
中功率技术
虽然最近问世的1200V TRENCHSTOP™ IGBT7低功率技术已针对标称电流最高达到200A[6]的产品进行了优化,但本文着重探讨的是最新的TRENCHSTOP™ IGBT7中等功率技术。该芯片适合用在标称电流高达900A的EconoDUAL™ 3模块中,这意味着电流值相比之前性能最好的600A EconoDUAL™ 3 FF600R12ME4_B72增加了50%。为此,须对芯片厚度和背面工艺进行优化,以期打造出一款软开关器件,使其相比IGBT4导通损耗降低而动态损耗相似,同时维持充分的抗短路能力。通过图2中所示的微沟槽(MPT)结构可以达到这个目的。

图2:微沟槽单元,中间为沟槽通道,并有带无源Mesa平台和发射极沟槽的栅极沟槽选项[6]
图注:
1.gate: 门极
2.emitter:发射极
3.n-doping: n型掺杂
4.field-stop region: 场截止区
5.p doping: p型掺杂
6.collector: 集电极
通过使用狭窄和平行排布的沟槽——被带有源栅极沟槽(带无源mesa平台和发射极沟槽的栅极沟槽)的亚微米mesa平台隔开,MPT-IGBT可以优化接触方案,从而使得开关期间的载波能够快速消除,也使得整个漂移区的电压降能够降低[7]。
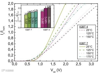
图3显示了在室温、125°C、150°C和175°C(只适用于TRENCHSTOP™ IGBT7)下,IGBT7 MPT技术和IGBT4相应的归一化输出特性。

图3:在Vge =15V时测量120V TRENCHSTOP™ IGBT4相比1200V TRENCHSTOP™ IGBT7中等功率技术的归一化输出特性
在比较两种IGBT技术时,发现在标称电流下Vce,sat从2.05V降到1.70 V(降低350mV),说明器件性能已得到很大优化。
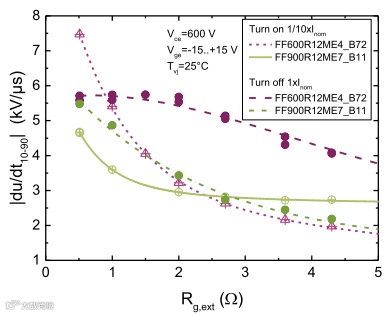
除了IGBT功率模块的静态特性外,动态开关特性对于整体性能也起着重要的作用。对于电压变化率通常被限制在5kV/µs以下的驱动应用而言,作为外部门极电阻(Rg,ext)函数的du/dt10-90%的可控性属于强制性要求。通常在导通期间,du/dt10-90%在温度低(比如25°C)和电流小(比如标称电流(Inom)的10%)的情况下达到最大值。关断时,电压变化率在电流较大(比如1·Inom)的情况下达到最大。图4显示了在上述条件下TRENCHSTOP™ IGBT4和IGBT 7在导通和关断期间的du/dt10-90%。

图4:分别用在EconoDUAL™ 3 FF600R12ME4_B72和 FF900R12ME7_B11中的TRENCHSTOP™ IGBT 4和IGBT 7在导通和关断期间电压变化率du/dt10-90%与Rg,ext的相对关系。
图注:
1.Turn on:导通
2.Turn off: 关断
除了du/dt10-90%相对外部门极电阻具有良好的可控性之外,该第七代芯片关断时的du/dt可控性相比IGBT4也有改进。
由于静态损耗大幅降低,以及IGBT最高工作温度Tvj,op从150°C(IGBT4)上升至175°C (IGBT7),每个器件的开关电流得以增大,这又会使电流变化率(di/dt)增大。要想在较大的电流下维持相同的开关速度,必须降低总杂散电感。这一要求可通过简单的约束方程式𝐿𝜎 ∙ 𝐼 =常数来概括[8]。
杂散电感对功率转换器系统的影响,会在IGBT关断期间引发出极其负面的效应。
IGBT集电极-发射极关断过压尖峰可通过公式∆𝑈 = 𝐿𝜎 ∙ 𝑑𝑖 /𝑑𝑡来描述,从中可以看出,它与杂散电感及电流变化率成正比。电流波形也取决于在集电极和发射极之间施加的电压。在关断过程中给IGBT施加更高的电压会使器件中的电荷更早地消除,而拖尾电流也会消失[8]。这意味着,导致过压的寄生电感会加速电流下降,而这又会使过压增大。
此外,较高的di/dt和L𝜎可产生导致电磁干扰(EMI)的振荡。这是激励包含换向回路中的寄生电感和芯片电容的谐振电路的结果。
逆变器系统可能拥有较高的母排寄生电感,致使整个芯片上的电压超出芯片击穿电压,进而导致模块失效。导致过压超标的最坏工况包括:在低结温(由芯片开关更快所致)、高直流总线电平、或短路和大电流过载的状态下进行开关。常用于减少这些过压发生的方法有很多,其中包括:优化门极电阻值,增加缓冲电容器和电压源有源箝位电路,或者利用开关速度较小的芯片。但这些方法都存在局限性。缓冲电容器不仅价格昂贵,还可能给主电容器组和从主电容器组产生额外的电流振荡。有源箝位电路存在难以设计的问题。
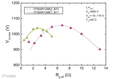
由于需要将EconoDUAL™3外壳的载流能力最高提升至900A,所以杂散电感不能发生显著的改变。因此,必须调整IGBT的关断特性。结果是,TRENCHSTOP™ IGBT7能够以与IGBT4在几乎相同的di/dt下关断600A电流时相似的最大过压(Vce,max)关断900A电流,结果显示在图5中。

图5:TRENCHSTOP™ IGBT7关断900A时和IGBT4关断600A时的最大过压(Vce,max)与外部门极电阻Rg,off的相对关系
在这一背景下,图6显示了FF600R12ME4_B72和FF900R12ME7_B11在外部门极电阻 Rg,off =6.8Ω(600A模块)和Rg,off =2.4Ω(900A模块)以及标称电流和25°C下的关断开关曲线,其中,di/dt达到最大,因而Vce,max也达到最大。

图6:FF600R12ME4_B72在Rg,off =6.8Ω时和FF900R12ME7_B11在Rg,off =2.4Ω时的关断曲线,其中,di/dt达到最大,因而Vce,max也达到最大
从中可以看出,TRENCHSTOP™ IGBT7在关断电流提高了50%的情况下,仍拥有与IGBT4类似的开关特性。
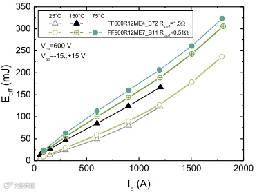
图7显示了在不同的温度下,IGBT4和IGBT7的关断损耗(Eoff)与集电极电流Ic的关系。

图7:FF600R12ME4_B72和FF900R12ME7_B11的关断损耗(Eoff )与集电极电流Ic的关系
事实上,降低饱和电压和给定的器件软度可提高集电极电流类似时的关断损耗。因此,较之FF600R12ME4_B72,FF900R12ME7_B11的Eoff明显增加了15-20%。所选的外部门极电阻与数据表中的值一致,这种方式是为确保IGBT和二极管在25°C时开关不会导致切断振荡。而且,在这些用于导通及关断的门极电阻下,FF600R12ME4_B72和FF900R12ME7_B11显示出的du/dt值非常相似(见图3)。
与Eoff相反的是,当导通的集电极电流相似时,900A IGBT7模块的导通损耗(Eon)低于600A IGBT4模块,结果如图8所示。

图8:FF600R12ME4_B72和FF900R12ME7_B11的导通损耗Eon与集电极电流Ic的关系。插图显示的是Etot:Eon与Eoff之和
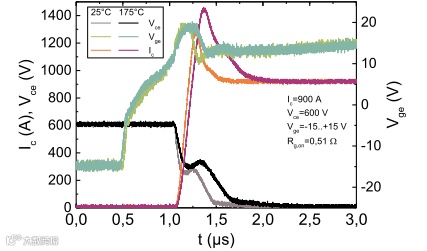
因此,IGBT的总损耗(Etot:Eon与Eoff之和)几乎保持一致(如图8中的插图所示)。并且,当电流低于600A时,两种模块的损耗相同。为了完整起见,图9显示了FF900R12ME7_B11在温度为25°C和175°C、及集电极电流为900A时的典型导通开关曲线。

图9:EconoDUAL™ 3 FF900R12ME7_B11在25°C和175°C时的导通开关曲线
和预期一样,温度升高会导致电流变化率(di/dt)降低,进而致使感应电压降下降。此外,通过反向恢复峰值增大可以看出,随着温度升高,二极管的恢复电荷会增加。下个章节将讲述发射极控制的EC7二极管的更多详细内容。
IGBT7可让标准驱动应用具有足够的短路能力,即,150°C时短路脉冲持续时间可能达到8µs以上,而175°C时可能达到6µs以上。
参考文献
[1] WEG-cfw11-users-manual-400v-sizes-f-g-and-h-10000784107
https://static.weg.net/medias/downloadcenter/ha4/h8a/WEG-cfw11-users-manual-400v-sizes-f-g-and-h-10000784107-en.pdf
[2] SINAMICS G120, Power Module PM240, Hardware Installation Manual · 072009, Page 65
[3] M. Depenbrock: Pulse width control of a 3-phase inverter with nonsinusoidal phase voltages in Conf. Rec. IEEE Int. Semiconductor Power Conversion Conf., 1977, pp. 399–403.
[4] M. Bierhoff, et al., An Analysis on Switching Loss Optimized PWM Strategies for Three Phase PWM Voltage Source Converters, The 33rd Annual Conference of the IEEE Industrial Electronics Society (IECON), Nov. 5-8, 20
[5] K. Vogel, et al., Improve the efficiency in AC-Drives:New Semiconductor solutions and their challenges, EEMODS 2016, Helsinki
[6] C. R. Müller, et al., New 1200 V IGBT and Diode Technology with Improved Controllability for Superior Performance in Drives Application, PCIM Europe, Nuremberg, Germany, 2018
[7] C. Jaeger, et al., A New Sub-Micron Trench Cell Concept in Ultrathin. Wafer Technology for Next Generation 1200 V IGBTs, ISPSD, Sapporo, Japan, 2017
[8] K. Vogel, et al., IGBT inverter with increased power density by use of high-temperature-capable and low-inductance design, PCIM Europe, Nuremberg, Germany, 2012

在本次推送的第二篇文章中,
我们将继续为您介绍:热特性评估。
关于英飞凌
英飞凌设计、开发、制造并销售各种半导体和系统解决方案。其业务重点包括汽车电子、工业电子、射频应用、移动终端和基于硬件的安全解决方案等。
英飞凌将业务成功与社会责任结合在一起,致力于让人们的生活更加便利、安全和环保。半导体虽几乎看不到,但它已经成为了我们日常生活中不可或缺的一部分。不论在电力生产、传输还是利用等方面,英飞凌芯片始终发挥着至关重要的作用。此外,它们在保护数据通信,提高道路交通安全性,降低车辆的二氧化碳排放等领域同样功不可没。


