典型脉冲宽度调制(PWM)电压信号驱动的电机,逆变器输出脉冲电压变化率为dv/dt,通过连接电缆加载到负载电机。脉冲电压的峰值等于逆变器直流母线电压VDC。电机端的峰值电压高于逆变器的输出电压,可能会导致电机损坏。电机侧电压峰值的实际幅值受以下参数影响。
电缆和电机的阻抗
电缆长度
直流母线变化率
PWM脉冲类型
一般由PWM控制的电压源逆变器(VSI)通过电缆连到电机,将在电机端产生(部分)电压反射,其原因是电缆和电机阻抗不匹配 。从电机侧反射到逆变器侧的电压又会反射到电机侧,两个电压叠加,受信号传递时间影响,最终可能形成全反射电压2U,对电机侧造成较大的电压应力。因此,制造商通常建议,400V电机的逆变器端在最坏的情况下不能超出5kV/µs的dv/dt限值。
图1 电机端的电压波形示例
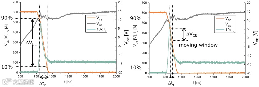
dvCE/dt的定义
对于沟槽型IGBT,导通期间的开关速度dv/dt随着负载电流和结温的降低而升高。在设置门极电阻值时,通常考虑器件在10%的模块标称电流ICnom、25°C的结温及标称母线电压下的性能。关断期间的开关速度dv/dt随着负载电流的增大而升高,因此设置关断门极电阻值时考虑100%标称电流下的器件性能。
IGBT的开关速度被定义为dv/dt=ΔVCE/Δtr。电压和时间差可以用两种不同的方式来确定。最常用的方法是取在直流母线电压的90%和10%之间的电压和时间差,如图2a所示。另一种方法是确定一个20%母线电压的移动窗口,然后确定最大梯度,如图2b所示。
该定义被称为dv/dtmax,可被视为最坏情况下的选型。该定义对于评估EMI也有帮助。
请注意,曲线形状还取决于门极驱动的杂散电感、门极电阻值及试验装置中的寄生电容值。
图2 FS100R12W2T7在10% ICnom和Tvj=25°C时的
导通开关曲线示例:
a)dv/dt10-90定义
b)dv/dtmax定义
dv/dt的可控性
在进行工业驱动设计时,关键是要能按照电机绝缘要求或为满足EMI限制而调整电压变化率dv/dt。为此,TRENCHSTOP™ IGBT7须具备高度的可控性。该可控性取决于器件通过调整门极电阻值(RG)来改变dv/dt的能力。而这又能影响到总开关损耗(Etot)。
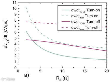
图3以模块FS100R12W2T7为例,描绘了IGBT的dv/dt与门极电阻RG的关系。在1.8Ω的标称电阻(RG)下,关断dv/dt10-90已经低于5kV/µs,而导通dv/dt10-90非常接近5kV/µs。随着RG的增大,导通dv/dt和关断dv/dt都下降。导通dv/dt随Rgon变化的幅度非常宽,在2kV/µs与8kV/µs之间。这意味着,RG只要稍稍高于数据表中的标称RG,就能使dv/dt低于5kV/µs。
图3 FS100R12W2T7的IGBT dv/dt
与门极电阻RG的关系
如何通过最优dv/dt选择RG
TRENCHSTOP™ IGBT7数据表中只提供了在10-90%范围内确定的dv/dt(dv/dt10-90)值。在电机的寿命周期中,该dv/dt10-90的值必须低于特定的限值。数据表中的dv/dt曲线分别展现了导通dv/dt及关断dv/dt与门极电阻RG的关系。导通dv/dt曲线是按照10%的标称电流和室温绘制出的,而关断曲线是按照标称电流和室温绘制出的。需要注意的是,dv/dt值——尤其是导通dv/dt——不是绝对的,它还与最终的试验装置有关。因此,它只能用作参考,在最终应用时必须加以验证。
根据目标dv/dt,可以通过数据表中的曲线读取相应的RG值。无论何时,RG越大,dv/dt就会越小。导通损耗Eon会随着导通门极电阻Rgon的增大而显著变大。要想降低功耗,最好尽量选取较小的Rgon。由于IGBT7能够很好地控制导通dv/dt,所以可以利用较小的Rgon来降低导通损耗,同时将导通dv/dt限定在所要求的范围以内。关断门极电阻Rgoff对关断损耗Eoff的影响很小。可以选用较大的Rgoff来达到较低的dv/dt,而开关损耗并无明显增加。
附加门极电容的影响
IGBT的门极——发射极电容(CGE)及门极——集电极电容(CGC)都经过了优化,能让IGBT7的dv/dt完全可控,并拥有最优化的开关波形。CGE设计得足够大,以避免寄生导通效应。这使得IGBT7不再需要额外的门极电容。当RGon最小而RGoff最大时,是寄生导通的最坏情况。额外的门极电容会增加门极振荡风险,也会增加门极驱动的功率需求。
更高的门极电荷
为能更好地控制dv/dt并避免寄生导通效应,IGBT7比上一代的IGBT4有更高的门极电荷(QG)。因此需确保电源和驱动电路具有足够大的输出功率。可以通过下面的公式计算所需的驱动功率(PGdr)。公式中使用的QG应根据所施加的驱动器输出电压进行选择。
PGdr = QG x(VGE(on) – VGE(off) x fsw
参考文献
[1] TRENCHSTOP™ 1200V IGBT7 Application Note
[2] IGBT模块:技术、驱动和应用
关于英飞凌
英飞凌设计、开发、制造并销售各种半导体和系统解决方案。其业务重点包括汽车电子、工业电子、射频应用、移动终端和基于硬件的安全解决方案等。
英飞凌将业务成功与社会责任结合在一起,致力于让人们的生活更加便利、安全和环保。半导体虽几乎看不到,但它已经成为了我们日常生活中不可或缺的一部分。不论在电力生产、传输还是利用等方面,英飞凌芯片始终发挥着至关重要的作用。此外,它们在保护数据通信,提高道路交通安全性,降低车辆的二氧化碳排放等领域同样功不可没。
点
阅读原文,查看原文

