跨年技术巨献-8篇连载
我们将以白皮书的形式介绍碳化硅MOSFET栅极氧化层可靠性,交流和直流偏压温度不稳定性,体二极管退化,抗短路和宇宙射线能力,产品标准和汽车级认证等8大话题,全文3万多字。
今天我们继续讲解
《碳化硅产品级别的质量认证》
1. 根据实际应用条件进行超越当前标准的测试
对分立器件和模块,均按相关标准进行常规检测,其中包括HTRB、H3TRB和HTGS。这些试验对于技术的发布是必不可少的,结果被记录在发布每种产品主页上的PQR(产品合格报告)中。
为确保英飞凌新的CoolSiC™ MOSFET具有超越这些标准的运行可靠性,所有标准试验一次至少进行3000h,以检验英飞凌的新技术在远远超出必要的标准条件时所具有的可靠性。在任何这些试验中都未发现系统的EoL机制,这表明英飞凌的CoolSiC™ MOSFET具有很高的可靠度。
近些年,许多应用开始要求器件具备超越标准H3TRB条件的湿度稳定性。必须采取芯片级别的措施来防止功率器件因为湿度原因发生退化,且必须设计实验来加快验证这些措施的有效性。在IGBT模块中可以看到在这些条件下的不同退化机制,如金属腐蚀或枝晶生长。在标准的H3TRB质量认证试验中,根据,是在T=85°C、相对湿度RH=85%及VDS=80V的条件下确保器件能够不受这些失效机制的影响。如前所述,这些试验条件不足以确保所有应用在长期内保持可靠。如果分析应用条件时发现存在极端恶劣的条件,则必须进行附加试验。如今是在80%的最高漏源极电压下进行湿度试验(HV-H3TRB),以确保器件能够长期可靠地运行。对于IGBT模块,文献指出进行1000h的这些试验足以确保使用寿命达到25年。
由于SiC器件的终端尺寸变小——因为材料的阻断能力更强,所以必须使用足够可靠的特殊钝化技术,它们不仅要能承受在这些试验中使用的极端条件,还要能在实际应用中正常运行。为证明英飞凌的SiC芯片在整个生命周期中拥有可靠的性能,在对英飞凌的CoolSiC™ MOSFET进行质量认证时进行了H3TRB和HV-H3TRB。无论是在H3TRB还是在更具挑战性的HV-H3TRB试验中,都未发现退化机制。例如,在HV-H3TRB试验之前和之后的I-V曲线显示在图24中。漏电流的增长不超过1uA。在图24右侧显示的漏电流监测中也可以看到这一点,它通常也被用作表明开始退化的指标。由于漏电流不随应力增大,所以器件显然没有显示出在应力下开始退化的迹象。为了找出英飞凌SiC器件潜在的新失效机制,利用由300颗芯片组成的大统计样本进行最长达到3000h的试验,其中没有发现系统的EoL机制。如果用Si芯片的资料推算的话,则有超过75年的安全现场运行时间。
此外,我们还在脉冲高压湿度条件(PHV-H3TRB或动态HTRB)下检验了我们的器件,其中没有发现退化迹象。由于HV-H3TRB所用的固定电压更高,因而被视为更严苛的试验,所以在产品发布前没必要进行PHV-H3TRB。
图24.左图显示的是施加应力之前(蓝色)和之后(绿色)的漏电流。右图显示的是在施加应力期间实测的漏电流。
表1总结了英飞凌对含有SiC MOSFET的功率模块进行的所有长期可靠性试验。通过在更长时间内进行这些试验,英飞凌已经证明,我们新的CoolSiC™ MOSFET在表1所示的试验条件下未被触发出未知的失效模式。为保证在现场条件下能够可靠地运行,验证的应力时间结合严格的通过/失效标准足以满足要求。
对于采用分立器件进行的可靠性试验,高运行温度或模压化合物可能对器件在应力作用下的长期稳定性产生额外的影响。因此,进行了许多超越标准条件(如JEDEC或AEC指南)的应力试验。特别要提到的是,动态应力试验很重要,因为它们可能触发在遵循标准的静态试验中观察不到的失效机制。例如,给栅极氧化层施加负栅-源极电压应力的HTRB,或者给终端施加应力的高dv/dt试验,在施加应力之后未能显示出对器件性能的任何显著影响。试验结果表明,CoolSiC™ MOSFET技术对温度、电压、湿度和动态应力都有很好的耐受性。下列表2总结了对采用TO247封装的CoolSiC™ MOSFET进行的试验。
表2.采用TO247封装的、1200V电压等级的CoolSiC™ MOSFET进行的可靠性试验。在所有试验中都未发现任何系统的寿命终期失效机制。
2. AC-HTC试验方法
根据文献中的报告,SiC器件甚至还有无法通过(扩展)标准试验触发的额外失效机制。它们与SiC的特殊材料属性和特定应用条件有关。
图25.AC-HTC试验周期的系统应力条件。
相比在Ta=85°C/rH=85%条件下进行的标准试验是为了防止在实际芯片表面出现冷凝,AC-HTC试验则是引发冷凝,并通过在终端接区形成冷凝水层触发额外的、与应用有关的失效模式。根据文献中的报告,这些失效模式对于SiC器件有非常重要的意义。英飞凌的SiC器件可以抵抗这种新的、与材料有关的失效模式。这一点可以通过进行并成功通过AC-HTC试验(交流-湿度和温度循环)来证明,该试验是与应用专家紧密合作开发出的,能够模拟光伏系统应用的运行模式。系统的应力条件显示在图25中。持续数小时的试验周期可以分成两个不同的阶段:
a)Ta<0°C:低温、高湿度,导致芯片表面出现冷凝水,模块中的湿度很大。为防止发生自加热进而导致冷凝水变干,在本阶段不施加电压。
b)Ta>0°C:当温度上升到最高85°C时,以类似于在实际应用中使用的较高频率和电压打开处于应力条件下的器件。
如果终端区的钝化处理不够充分,则终端将出现退化,导致在试验期间和实际应用中过早失效。处于模块中的所有SiC器件因此都配备有新的叠层钝化膜,用于在这些恶劣的条件下保护器件表面,并成功通过持续120天的AC-HTC试验,而不出现任何明显的退化。
总之,对于英飞凌的SiC二极管,当采用的钝化处理、终端概念和失效率都与Si技术相当时,长时间的HV-H3TRB、AC-HTC试验结果和多年的现场经验都能证明,我们的CoolSiC™ MOSFET在湿度高且恶劣的现场环境条件下也是可靠的器件。
3. 秒级功率循环试验
在计算半导体器件在实际应用中的预期使用寿命时,必须考虑到内部连接技术的老化。这需要通过秒级功率循环试验进行评估,其中,器件被主动加热使得温度变化ΔT较大,能够改变焊接和/或键合连接,直至RDS(on)或Rth(j-c)达到预定的变化,也就是所谓的寿命终期(EoL)标准。基于公认的模型,这些结果可与应用条件关联起来,正如英飞凌应用说明中所述利用Si器件进行的试验。
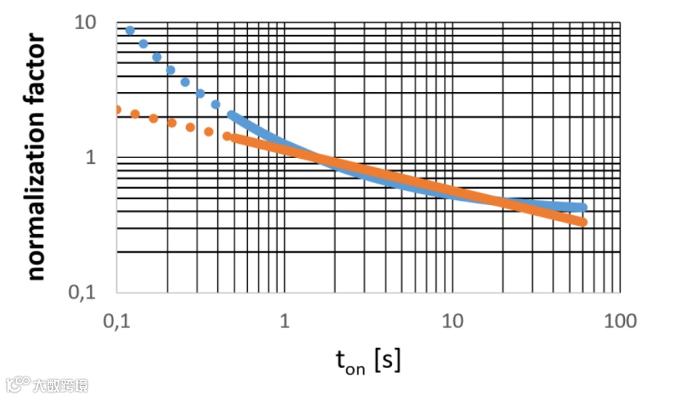
从原则上讲,SiC模块也是经历这个过程。但因为SiC拥有的杨氏模量比Si更大,所以位于功率模块中的SiC芯片在温度循环期间会在焊接点中诱发更大数量的塑性应变。因此,在位于模块中焊接的SiC芯片的老化机制中,键合连接退化并无很大的影响,影响最大的是焊接层退化,它会导致Rth增大。正是因为这个原因,SiC的秒级功率循环能力才比采用相同互连技术的Si更低。功率循环曲线(可从您本地的英飞凌应用工程团队获取)考虑了这一改变的老化机制,使得能够按照功率循环应用说明中的解释,根据最高结温Tvj和温度变化ΔT来计算预期使用寿命。为估算完整的应用条件,还必须考虑到老化与负载脉冲持续时间ton的关系。在我们最近发表的文章中有讲到这一关系,其中表明,我们的SiC器件可以使用与Si相同的计算模型。图26中还给出了直至寿命终止的循环与负载脉冲持续时间的关系。
图26.CIPS模型(橙色)在参考导通时间ton=1.5s时的N次循环超时、以及自适应的包含饱和的模型(蓝色)的关联因子。
圆点所代表的数值是推算得到的,只应用作参考。
所有SiC技术所用的互连技术和生产线,都与我们在控制这些工艺和模块组装方面积累了几十年经验的英飞凌Si IGBT和二极管相同。英飞凌CoolSiC™ MOSFET技术的另一个优势是,我们无需使用额外的反向并联二极管,而能够在同步整流模式下使用CoolSiC™ MOSFET的体二极管。这能打造出具备以下优势的应用:器件沿两个方向传送电流,芯片在一个负载周期的正和负传导阶段都能产生功率,从而使得每颗芯片相比使用Si IGBT和二极管时的温度变化减小。
对于在寿命终期之前在功率循环中需要更多次循环的应用,英飞凌也已改进分立器件的互连技术,如扩散焊,这在未来如果加以利用,将能让我们的CoolSiC™ MOSFET能被用到其他应用中。
针对分立器件的功率循环研究仍然是个处于初期的研究领域。因此,英飞凌近年来进行了更深入的研究,以了解在功率循环应力期间发生的失效机制。一个重要发现是,与功率模块不同,在分立器件中,只要裸片连接是通过传统的焊接法完成的,则脱线是目前最主要的失效模式。为了对退化的相关参数进行数学描述,得出一个与功率模块所用公式类似的公式。无论是采用哪种芯片技术(Si IGBT或SiC MOSFET),分立器件都能用同样的公式来描述。许多器件特性对功率循环稳定性都有影响,所以没有哪一个参数集能够笼统地描述所有产品。根据器件特性,可能有必要使用单独的参数集。如欲了解某一个器件的功率循环能力,请向您本地的英飞凌应用工程师发出申请,他能帮您评估预期使用寿命。
SiC MOSFET的应用领域非常广泛,包括电动车充电站、太阳能逆变器或电机驱动等。大多数应用都可以简化为一些基本拓扑,它们有助于确定长期应用试验。下表列出了最主要的基本拓扑。
▼基本拓扑概览
主要关注的是硬开关配置,因为它们通常是对功率半导体要求最高的。英飞凌已经开发出许多试验台,它们可对采用上述每种配置的SiC MOSFET施加应力。这些试验台使我们能够在效仿现实应用的条件下运行。为了更好地了解长期行为,可靠性试验的持续时间从典型的1000h延长至运行6–12月。研究表明,在这些实际运行条件下,SiC MOSFET未显示出热载流子注入迹象,也未显示出系统的EOL失效机制。
关于英飞凌
英飞凌设计、开发、制造并销售各种半导体和系统解决方案。其业务重点包括汽车电子、工业电子、射频应用、移动终端和基于硬件的安全解决方案等。
英飞凌将业务成功与社会责任结合在一起,致力于让人们的生活更加便利、安全和环保。半导体虽几乎看不到,但它已经成为了我们日常生活中不可或缺的一部分。不论在电力生产、传输还是利用等方面,英飞凌芯片始终发挥着至关重要的作用。此外,它们在保护数据通信,提高道路交通安全性,降低车辆的二氧化碳排放等领域同样功不可没。

