作者简介
本文按照KIT实验报告整理
作者:陈嘉腾 德国卡尔斯鲁厄理工学院 硕士生
编者按
功率半导体在实际系统应用中会碰到各种问题,有些问题需要设计经验积累总结,有些经典问题已经写入了教科书,有些问题还是学术研究范畴,欢迎读者将工作和学习中的体会写出来分享。
局部放电现象和危害
局部放电是仅发生在绝缘体中的一部分区域的放电。这些放电也可能发生在电极上,但也可能是“无电极”发生在电场空间。局部放电会发生在:气体,液体和固体中。在发生局部放电时,不但会产生损耗,其产生的高能电子和UV辐射会对周围的绝缘材料造成损坏。
不同的绝缘介质,局部放电会产生老化损害是不一样的:
■ 没有损害:流动的空气,天然物质例如玻璃云母;
■ 轻微损害:密闭气体绝缘例如SF6,空气;
■ 中度损害:油纸绝缘(变压器,DF)铸造树脂;
■ 严重损害:PE,VPE,几乎所有塑料。
在局部放电对绝缘体造成轻微至严重损害的情况下,对它的测量变得尤为重要。
局部放电机理
■ 局部场强增加到绝缘介质的电气强度以上;
■局部较低的电气强度(例如,浇铸树脂中的空隙)。
电晕放电
电晕放电是由气体和液体中局部过强的电场强度引起的放电。它们主要发生在尖端,边缘和细导体上。由于它们通常出现在外轮廓上,因此由于其典型的辉光和裂纹而易于检测。
沿面放电
它产生的起因是电极上发生电晕放电。
分层材料中的放电
它是沿面放电的另一种形式。在各个材料边界层会产生局部过高的电压,从而导致局部放电。
气隙放电
气隙放电是由绝缘材料中的气泡或具有不同介电常数的污染物质所引起。
树状通道
固体或液体绝缘材料持续局部放电会形成树状导电通道对绝缘体造成永久性损害。
气隙放电
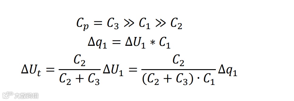
其中气隙放电是由绝缘材料中的故障引起的,例如由变压器油里的气泡或具有不同介电常数的污染物质。整个待测绝缘体的电容由气泡空腔电容𝐶1与剩余绝缘距离𝐶2的电容串联并且和无故障绝缘体𝐶3的电容并联构成。其中由于面积不同,C3远大于C1,由于介电常数不同,C1远大于C2。在发生局部放电时空腔内的电压降ΔU1是千伏等级,由于C2很小,在绝缘体两端的电压降ΔUt只有毫伏等级,所以很难测量。在实际测量过程中我们使用耦合电容的方式来精确测量。
局部放电测量可以在不损坏样品的情况下测量绝缘质量。
如下图所示,考虑正弦的端电压U。一旦电压U1超过气泡空腔内的电场放电所需电压阈值Uz时,C1通过电火花放电降到Ul电压。C2的位移电流可能还会把C1重新充电,因此在电压的半个周期内根据电压的高低不同可能会产生多次局部放电。
测试方法
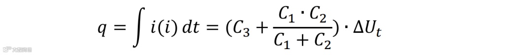
理想情况下我们假设耦合的电容远大于被测绝缘体的电容,被测绝缘体发生局部放电时在其两端的端子发生相对于电源非常小的电压降,其立刻会被耦合电容补偿。因此在耦合电容和待测绝缘体电容之间会流经高频电流,通过对流经耦合电容的电流进行积分,得到流入绝缘体的电荷量:视在放电量。通过C1,C2折算得到绝缘体内通过局放消耗掉的电量q1,可以注意到C2比C1小,因此视在放电量对比q1很小。
对于Ck>>Ct有:
当C1>>C2有:
局部放电测量的接线图如下图所示,测试电流为工频交流电。Ct(Cp)为待测物体等效的电容,Cp为耦合电容。
在实际应用测试时,耦合电容不会无穷大,通常它约等于测试绝缘体的电容,它只会补偿一部分发生在被测端的电压降。在这种情况下测量到的电荷会比视在电荷量小,因此我们必须在实验开始前对仪器进行校准,确定测量的电荷qm和视在电荷qs的比值。
电流积分
为了将解耦的电流脉冲转换为电荷值,需要对其进行积分。这可以通过两种不同的方式完成:时域积分和频域积分
频域积分
一般要对电流进行积分我们可以使用一个RC低通滤波器,然而它不能避开50Hz交流电流带来的干扰,所以我们会用一个带通滤波器对电流频谱密度相对平坦的区域进行积分。宽带局放测量设备通常在10至100𝑘𝐻𝑧的频带内进行测量。一些窄带宽滤波器用于频域中的积分。有些局放测量设备可以调节为窄带宽很小的带通滤波器(IEC60270标准中推荐中心频率50𝑘𝐻𝑧≤𝑓𝑚≤1𝑀𝐻𝑧,带宽9𝑘𝐻𝑧≤Δf≤1𝑀𝐻𝑧),以便可以将检测范围设置为任何频率范围,来避开特定干扰频率。
局放电流脉冲在时域和频域
但窄带宽测量的缺点是脉冲消隐时间长。如果两个局放脉冲紧紧跟随在一起,则只有在记录前一个脉冲振荡完之后,才能正确第二个脉冲。如果在带通仍在振荡时第二个脉冲到达,则两个不同相位脉冲响应将叠加在输出上,这可能导致随后的峰值产生测量误差。由于带通滤波器的衰减时间与带宽大致成反比,因此在窄带测量会在电流信号上升很快的情况下产生误差。这种窄带宽测量的另一大确定是无法分别局放脉冲的正负极。如下图:
左图,右图分别是窄带宽测量和宽带宽测量的脉冲响应
时域积分
过对时域内的电流脉冲进行积分相当于使用宽带宽测量。根据IEC 60270:2001,使用100-400kHz之间的带宽进行测量。现代的局放测量设备可在高达MHz的带宽范围内工作。但是如果测试环境不进行电磁屏蔽,可能会有无线电干扰耦合到测量信号中造成误差。宽带测量可以从局放脉冲中获取有关绝缘材料各个部位老化更详细的信息。与窄带测量设备相比,在时域积分的局放电荷测量设备对频谱没有任何特殊要求。由于带宽大,这些设备有非常好的脉冲分辨率。
耦合方式
参照IEC 60270通过耦合电容测试局部放电的方法可以有直接测量法,间接测量法和差分测量法,分别对应下图:
可以发现间接测量时耦合装置和耦合电容串联,在样品损坏时耦合装置不会被破坏,然而它的灵敏度相较于直接测量(耦合装置和待测绝缘体串联)较低。但当测试样品击穿时,使用直接测量更可能会损坏耦合装置。
实际测量
我们的实验中采用间接测量方式,采用频域积分。在测量前对不同中心频率和带宽进行调试使得基本噪声水平维持较低水平。每次更换待测样品需要重新校准测量的电荷qm和视在电荷qs的比值。待测样品被污染的绝缘油的平板电容器,其主要表现为由于杂质或气泡引起的气隙局部放电。
有缺陷的平板电容器局放
基本噪声水平:𝑄𝐼𝐸𝐶=4.3pC
局放起始时电压有效值:UTEE=8.8kV
下图中绿线为测试电压波形。当电压有效值达到8.8kV时,待测样品在电压负半周开始出现局部放电。当电压有效值达到10kV时,待测样品在电压负半周出现局部放电的次数增多。
局放在10kV
IGBT模块的局放
IGBT模块的结构如图所示,是绝缘型器件,电压等级从600V到6500V不等,3300V以上的电压等级,需要考核局部放电。
在IGBT模块结构中,芯片焊在覆铜的陶瓷衬底DCB上,陶瓷衬底DCB焊在基板上。在模块腔体内有硅胶填充。
由此可见,IGBT模块中有三个介电系统:
1.绝缘用陶瓷衬底,常见的为Al2O3和AIN
2.填充用硅胶,其作用是防止模块内部局部放电和击穿
3.陶瓷衬底和硅胶的界面
在模块中,局部放电现象主要出现在绝缘材料中的气泡或具有不同介电常数的污染物质,高压模块需要采用局部放电测量来衡量可靠性和寿命。
模块中尖——板结构
在IGBT模块中,由于DCB的覆铜层的边缘处场强较高,其内部的局部放电处于陶瓷基板和铜基板的交接边缘处。在模块中会填充硅胶作为绝缘介质,其介电强度高达15X106V/mm,可以降低局放的影响,而且它使得模块在没有局放时具有一定的自愈能力,但无法恢复由于持续局放产生的永久损害。
通常可以通过改善DCB的铜层边缘来控制场强或优化绝缘介质,抬高局放起始电压最终达到降低局部放电进而提高模块可靠性和寿命的目的。
模块中气隙放电
DCB板中的绝缘材料Al2O3和AIN都会存在气泡或具有不同介电常数的污染物质,其是造成局放的原因。
局放是高压功率模块的重要指标,会在数据手册上标明,指标是这样给出的:
英飞凌FZ600R65KE3,600A 6500V IGBT局部放电停止电压,VISOL=5.1kV RMS,50Hz此时QPD典型值为10pC。意思是当检测到通过局放的电荷量小于10pC时可以认为局部放电停止,根据经验低于10pC的局部放电不会对绝缘系统造成有害影响,此时的电压有效值为5.1kV。局放停止电压必须高于工作电压,这确保了器件达到工作电压时由于电压尖峰引起的局放可以再次熄灭。
参考文献
[1] Adolf J. Schwab, Hochspannungsmesstechnik – Messgeräte und Messverfahren,
2. Auflage, Springer Verlag 1981
[2] Energietechnische Praktikum ETI / IEH, Versuch Nr. 4 Diagnostik elektrischer Betriebsmittel Karlsruher Institut für Technologie 2021
[3] DIN EN 60270, Hochspannungs-Prüftechnik – Teilentladungsmessungen
März 2001
[4] 王昭,刘曜宁,高压IGBT模块局部放电研究现状,电子元件与材料10.2017
关于英飞凌
英飞凌设计、开发、制造并销售各种半导体和系统解决方案。其业务重点包括汽车电子、工业电子、射频应用、移动终端和基于硬件的安全解决方案等。
英飞凌将业务成功与社会责任结合在一起,致力于让人们的生活更加便利、安全和环保。半导体虽几乎看不到,但它已经成为了我们日常生活中不可或缺的一部分。不论在电力生产、传输还是利用等方面,英飞凌芯片始终发挥着至关重要的作用。此外,它们在保护数据通信,提高道路交通安全性,降低车辆的二氧化碳排放等领域同样功不可没。

