作者:
石祥花 谢少军
南京航空航天大学自动化学院
本文原文刊登于《南京航空航天大学学报》。
编辑推荐
三电平在1500V光伏,UPS,APF等系统中有广泛应用。在三个半桥IGBT模块构成的三电平功率单元中,ANPC等新颖三电平结构可以避免无功换流路径跨三个模块的问题,也可以合理分配器件损耗。
文章详细阐述各种三电平及其调制方式下的开关时序和换流过程分析,给出了三电平中功率开关的损耗计算方法,分析了各种三电平的损耗在各器件中的分布。结论是合理地选取NPC型拓扑及其调制策略,不仅可以改善传统3L-NPC拓扑内外管损耗不均衡的缺点,而且不影响系统效率。
引言
随着能源紧缺及环境污染,新能源的利用成为趋势。其中,光伏发电简单、经济、环保,随着光伏发电技术的发展,其规模不断增大,因此需要研究高性能大容量的光伏并网逆变器,而高效率是高效能的重要因素之一。追求高效率,通常采用单级式、非隔离的光伏并网逆变器;追求大容量,由于光伏板串联数目较多,这要求适用于高输入电压场合,因此三电平半桥逆变器成为目前的研究热点。三电平半桥结构主要有以下几种:二极管箝位式[1]、飞跨电容式[2]、级联三电平式[3]。其中,二极管箝位式是最早提出的一种三电平变流器拓扑,其耐压等级高;开关损耗小、效率高;开关动作时dv/dt小,引起的电磁干扰小;输出电压波形为三电平,谐波含量少,所需的滤波电感量小,有利于降低系统成本和功率损耗。但是,该拓扑存在内外管损耗不均匀问题,使得变换器散热设计困难,容量受限,因此在大容量的功率变换器中,不仅要关注高效率,还要考虑损耗分布均衡问题。
基于传统3L-NPC的缺陷,衍生出一系列NPC型拓扑,如3L-ANPC[4] (3L-Active NPC)、3L-SNPC[5][6](3L-Stacked NPC)及3L-ASNPC[7] (3L-Active Stacked NPC)。文献[4]对3L-ANPC拓扑所采用的调制策略,可实现并联零电平续流路径;文献[5]对3L-SNPC提出了倍频SPWM调制策略,使得桥臂输出电压实现倍频,而文献[6]中又提出了一种新型SPWM调制策略,该策略可实现并联的零电平续流路径;文献[7]对3L-ASNPC提出了倍频SPWM调制策略等。由于衍生的NPC型拓扑可控器件增多,使得其调制策略多样化。而文献[4]、[5]、[6]、[7]仅仅是结合某一种或几种调制策略对相应的NPC型拓扑进行了分析,没有全面分析采用不同调制策略时零电平续流路径的配置方式对变换器损耗分布的影响。
由于NPC型拓扑种类较多,同时具有多种调制策略,有必要对NPC型三电平拓扑及其调制策略进行全面的对比分析,以明晰其特点。本文主要根据对零电平续流路径进行不同的配置,总结其可行的调制策略,并对各拓扑在不同调制策略下进行损耗分析,比较其损耗分布均衡情况,最后通过实验进行效率测试,为优化选取NPC的拓扑及其制策略提供参考。
NPC型三电平半桥逆变器调制策略
NPC型三电平半桥拓扑主要有4种形式,如图1所示,分别为3L-NPC、3L-ANPC、3L-SNPC及3L-ASNPC。3L-NPC拓扑由于可控器件较少,调制策略比较单一。衍生的NPC型拓扑,可控器件增多,使得调制策略多样化。
图1 NPC型三电平半桥拓扑
(可左右滑动查看)
1
新型NPC型三电平半桥拓扑特点
以3L-ANPC为例,正向电流续流路径有P1和P2;负向电流续流路径有N1和N2,如图2所示,分别具有2条正负向的续流路径。类似的,3L-SNPC同样分别具有2条正负向的续流路径,3L-ASNPC分别具有3条正负向的续流路径。由于新型NPC型半桥拓扑零电平续流路径增多,为调制策略多样化提供条件。
图2 3L-ANPC 型三电平半桥拓扑续流路径
2
新型SPWM调制策略
当存在多条零点续流路径时,可并联续流,也可交替续流。根据零电平续流路径配置特点,可以得到4种SPWM调制策略,其特点如表1所示。
表1 4种SPWA调制特点
对应的,图3给出了3L-ANPC半桥拓扑的4种SPWM调制策略逻辑图。
图3 3L-ANPC半桥拓扑4种SPWM调制策略逻辑图
(可左右滑动查看)
以3L-ANPC的4种调制策略为例,分析其工作特点,如表2所示。
类似于3L-ANPC的分析,3L-SNPC与3L-ASNPC同样具有以上4种特点的调制策略。3L-SNPC的4种调制策略与3L-ANPC完全一致,其区别在于,开关管S1c和S3在3L-ANPC拓扑中处于箝位管位置,而在3L-SNPC拓扑中处于中间管位置。由于3L-ASNPC可控器件较多,若采用普通SPWM调制,开关器件利用率过低,因此主要给出以下3种调制策略,如图4所示。
表2 3L-ANPC在4种SPWM调制下工作特点
图 4 3L-ASNPC半桥拓扑3种SPWM调制策略逻辑图
(可左右滑动查看)
NPC型三电平半桥拓扑损耗分析
新型3L-NPC拓扑种类多样,又具有多种调制策略,本文以损耗分析为基础,比较其损耗分布情况。
1
损耗计算模型
IGBT损耗计算模型
IGBT的数据手册中给出的是导通压降与其导通电流的关系曲线。采用直线拟合方式,可得到其导通压降的表达式:
则IGBT的导通损耗为:
根据IGBT的数据手册,可以得到典型状态下的开关特性各参数值,一般可认为在特定的电压和电流范围内有E∝Vcc且E∝Ic,其中E指Eon或Eoff。因此IGBT的开关损耗近似为:
其中,VCE(ton)与VCE(toff)分别指IGBT开通与关断时刻的耐压,VCE与IC分别为数据手册上Eon和Eoff的测试条件。
二极管损耗计算模型
二极管的数据手册中给出的是正向压降与其导通电流的曲线。采用直线拟合的方式,可得到其导通压降的表达式:
则二极管的导通损耗为:
二极管的反向恢复损耗一般表达式为:
其中,Qrr为反向恢复电荷,VR为其所承受的反偏电压。由于Qrr与If及dif/dt均有关,这里简单的认为Qrr∝If,则二极管的反向恢复损耗为:
其中,If为数据手册中Qrr的测试条件。
2
NPC型三电平半桥逆变器损耗计算
NPC型三电平半桥逆变器的桥臂输出电压等效占空比D与输出电流瞬时值io表达式为:
其中,Vin为输入电压,Vo为输出电压有效值,Po为输出功率。
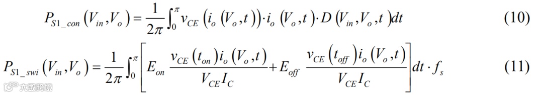
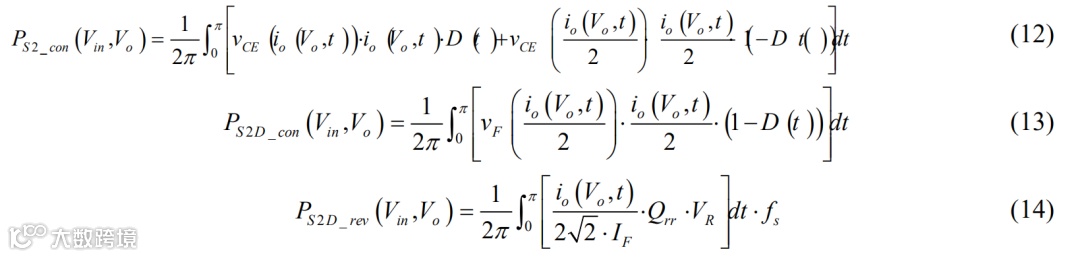
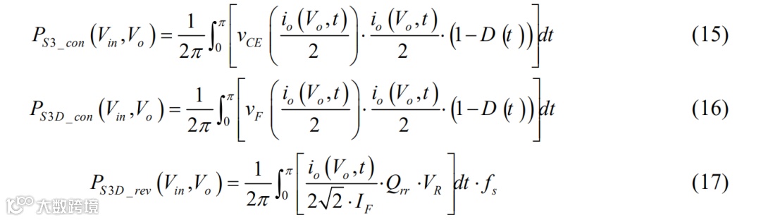
以3L-ANPC为例,采用PF-SPWM调制策略,在PF=1条件下各器件的电流分配关系如表3所示,其中所有开关器件选用IGBT,二极管选用快恢复二极管。
表3 3L-ANPC在PF-SPWM
调制下各器件的电流分配关系
由表3、式(8)和式(9)可得,3L-ANPC在PF-SPWM调制下,各开关器件损耗为:
(1)外管S1/S3c
其中,VCE(ton)=VCE(toff)=Vin/2。
(2)内管S2/S2c
其中,VR=Vin/2。
(3)箝位管S3/S1c
其中,VR=Vin/2。
3
NPC型三电平半桥逆变器损耗分布对比
为了确保损耗对比的合理性,本文采用3L-ASNPC拓扑研制了NPC型拓扑的统一实验平台,其技术参数如表4所示。在Vin(min)及Vo(min)条件下,分别对各NPC型三电平半桥逆变器在不同调制策略下进行开关器件损耗分布分析。
表4 NPC型三电平半桥逆变器技术参数
传统3L-NPC开关器件损耗分布于调制比和功率有很大关系,一旦电路容量、调制比及 功率因数确定后,其损耗分布也随之确定。图5给出了5kW传统 3L-NPC在普通SPWM调制下的损耗分布图,可以看出,3L-NPC的内外管损耗不均衡,随着调制比、开关频率及容 量的加大,二者的差距将更加明显。然而,传统3L-NPC调制策略单一,损耗分布无法优化,因此在大容量应用场合,其散热设计比较困难。
图5 5kW 3L-NPC半桥逆变器各开关器件损耗分布
图6给出了在不同调制策略下,5kW衍生NPC型三电平半桥逆变器各开关器件损耗分布。可以看出:
① 3种衍生的NPC型拓扑在4种调制策略下总损耗基本一致,占总容量的2.265%~2.275%左右;
② 3L-ANPC拓扑的开关器件损耗差异较大;
③ 在PF=1时,3L-SNPC与3L-ASNPC拓扑损耗分布一致,在DF-SPWM及PFDF-SPWM调制策略下,内外管损耗分布较为均衡。
因此,合理地选取NPC型拓扑及其调制策略,不仅可以改善传统3L-NPC拓扑内外管损耗不均衡的缺点,而且不影响系统效率。
图6 在不同调制策略下,5kW衍生NPC型
三电平半桥逆变器各开关器件损耗分布
另外,当等效开关频率改变时,由于开关损耗将同比例增长,各NPC型拓扑在不同调制策略下,其开关器件总损耗依然是基本一致的。
"NPC型三电平半桥逆变器实验结果
及效率对比,结论”相关内容
我们将在下次推送中继续为大家介绍
请持续关注
“英飞凌工业半导体”微信公众号
【致谢】
感谢谢少军老师为本公众号供稿!
参考文献
[1] Nabae A, Takahashi I, Akagi H. A new neutral-point-clamped PWM inverter[J]. IEEE Trans. Industry Applications, 1981, 16(5): 518-523.
[2] Shukla A, Ghosh A, Joshi A. Static shunt and series compensations of an SMIB system using flying capacitor multilevel inverter[J]. IEEE Trans. Power Delivery, 2005, 20(4): 2613-2622.
[3] 陈阿莲, 何湘宁, 赵荣祥. 一种改进型的级联多电平变换器拓扑[J]. 中国电机工程学报, 2003, 23(11): 9-12.
Chen Alian, He Xiangning, Zhao Rongxiang. An improved cascade multi-level converter[J]. Proceedings of CSEE, 2003, 23(11): 9-12. (in Chinese)
[4] Li Jun, Huang A Q, Liang Zhigang, et al. Analysis and design of active NPC (ANPC) inverters for fault-tolerant operation of high-power electrical drives[J]. IEEE Trans. Power Electronics, 2012, 27(2): 519-533.
[5] Floricau D, Gateau G, Dumitrescu M, et al. A new stacked NPC converter: 3L-topology and control[C]. European Conf. on Power Electronics and Applications, Aalborg, Sept. 2007, pp: 1-10.
[6] Floricau D, Floricau E, Gateau G. Three-level SNPC commutation cell: Features and control[C] IEEE International Symposium on Industrial Electronics, 2008, pp: 44-49.
[7] Floricau D, Gateau G, Leredde A. New active stacked NPC multilevel converter: operation and features[J] IEEE Trans. on Industry Electronics, 2010, 57(7): 2272-2278.
关于英飞凌
英飞凌设计、开发、制造并销售各种半导体和系统解决方案。其业务重点包括汽车电子、工业电子、射频应用、移动终端和基于硬件的安全解决方案等。
英飞凌将业务成功与社会责任结合在一起,致力于让人们的生活更加便利、安全和环保。半导体虽几乎看不到,但它已经成为了我们日常生活中不可或缺的一部分。不论在电力生产、传输还是利用等方面,英飞凌芯片始终发挥着至关重要的作用。此外,它们在保护数据通信,提高道路交通安全性,降低车辆的二氧化碳排放等领域同样功不可没。

