///
在IGBT应用中,结温是经常使用的一个参数,大部分读者应该都很熟悉这个概念,但是这和元宇宙有什么关系呢?
我想先请大家考虑一个问题:
IGBT结温到底是指具体哪儿的温度?。。。
你们是不是已经开始上百度搜索答案了?
我在百度百科以及维基百科搜索出结温的解释大概是这样的:晶体管结温,简称结温,是指半导体芯片内的最高工作温度,通常芯片的结温会比芯片的外壳高。。。
原来结温就是芯片内部最高点的温度,但是温度最高点具体是在哪儿呢?怎么测量出这个点的温度?
聊到这里,就呼应上了文章标题提到的元宇宙概念。
“
元宇宙本质上是对现实世界的虚拟化、数字化过程。大家平时常说的IGBT结温其实是现实世界IGBT芯片虚拟化后的温度,大家是否注意到在IGBT器件datasheet里的结温代号是Tvj,这里的”v”是什么意思?其实v是指virtual,Tvj就是virtual junction temperature——虚拟的结温。
为什么要用虚拟结温来描述IGBT的芯片温度呢?真实的温度是多少就多少呗,干嘛要玩虚的?
原因很简单,就是IGBT芯片的温度并不是均匀的,请看下图。
这是IGBT模块里的一个芯片,芯片导通电流发热时,通过红外成像仪拍摄出的照片可以看出芯片表面的温度分布情况。在芯片中部我们画一条测量线,实测出的温度分布值如上图右侧所示,我们可以看出芯片中部温度高,四周温度低,并且芯片上绑定线的温度比芯片表面更高。还需要注意一点,就是绑定线和芯片表面的温差并不是固定不变的,而是随着电流增加而升高的。
在实际应用中IGBT模块或分立器件内部的芯片并不是裸露出来的,我们无法用红外成像仪实际的测试芯片温度。此外在芯片上贴温度传感器(热电偶)的办法也不靠谱,因为热电偶在芯片不同位置会测出不同的温度,并且粘合点的紧密程度会影响测温结果。
还有就是一个IGBT模块里有很多芯片并联,例如下图中这个IGBT模块,上下桥臂都是3个IGBT芯片并联。
通过红外成像仪测量可以看出,当IGBT模块在发热时,每个芯片的实测温度也是不同的,那一个IGBT模块的Tvj到底是指哪个芯片的温度呢?
要理解Tvj的定义,首先我们要了解IGBT模块或分立器件的热阻Rth是如何测量的。
关于IGBT模块热阻测量有一篇史前权威文献,就是Dr. Reinhold Bayerer 在1989年PICM上发表的论文“Measuring the Thermal Resistance of IGBT Modules”.
这篇文章介绍了IGBT在流过一确定的电流时,IGBT的Vcesat值是随芯片温度线性变化的。如下图所示,抱歉史前文献的画质欠佳。
利用这个特点可以帮助我们测量IGBT模块的热阻,具体测量办法在英飞凌的应用手册“AN2015-10 Transient Thermal Measurements and thermal equivalent circuit models”里也有更详细的介绍。
首先需要用加热设备把被测IGBT模块均匀的加热到一个确定的温度,然后用1/1000 Ic_nominal的电流作为基准电流I_ref,测量这个被测IGBT模块在此温度下流过I_ref时的Vcesat。在各个温度下这么测一次,就可以描出如下图所示的结温和Vcesat标定线。
首先需要用加热设备把被测IGBT模块均匀的加热到一个确定的温度,然后用1/1000 Ic_nominal的电流作为基准电流I_ref,测量这个被测IGBT模块在此温度下流过I_ref时的Vcesat。在各个温度下这么测一次,就可以描出如下图所示的结温和Vcesat标定线。
(以下部分是介绍测量IGBT模块热阻的具体方法,如果已经对此有了解的可以跳过这部分。)
在得到了IGBT结温和Vcesat关系后,就是测量IGBT模块的壳温以及散热器温度了。一般是在散热器上对应IGBT模块芯片位置的正下方埋上热电偶,如下图所示。
定义上图中这两个热电偶位置测量的温度分别是IGBT模块壳温Tc、和散热器温度Th。
测量电路拓扑如下图所示:
这里有一个负责加热的大电流源提供heating current,电流值一般为Ic_nominal同数量级,这个电流持续流过被测IGBT模块,使其发热并持续达到热平衡。同时还有一个测量电流源持续提供I_ref流过IGBT模块。
在t=0时刻突然把heating current切断,但是I_ref还保持流通。
如上图所示,在t=0时刻之后,I_ref流通产生的Vcesat表征了IGBT结温Tj的下降过程,同时Tc和Tj也同时通过热电偶实测得出。通过Tj和Tc随时间变化关系可以换算出IGBT模块热阻抗。
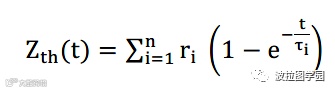
为了方便数学公式表达,一般会使用Foster模型表示热阻抗Zth,下图为Foster模型下的热阻抗网络。
热阻抗公式:
热阻抗曲线:
当然,除了上面介绍的测量方式还有其他可以获得热阻抗的方法,例如最近几年很热门的结构函数推导,这里就不详细介绍了,大家如果感兴趣看看JESD-51-14。
可能各位读者看到这里会觉得波老师是不是跑题了,其实并没有跑题,因为Tvj结温就是基于这个热阻抗Zth(t)计算出来的。
总结一下Tvj定义的逻辑大概是这个样子:
在温箱中均匀的温度环境下达到热平衡后,样品IGBT模块所有芯片和部件的温度完全一致,这时可以认为温箱的温度就是IGBT实际结温。比如说温箱是120℃,那温箱内IGBT芯片实际温度可认为是理想的120℃
此时120℃的样品IGBT芯片实测出在I_ref电流时的Vcesat,比如说是0.5V。
当此样品IGBT模块安装到热阻测试台的散热器上,通过几百安培直流电流发热时,其实IGBT模块内部并联芯片的温度是不一致的。但是即使温度不均,但是IGBT模块还是会在通过I_ref值时呈现一个确定的Vcesat,例如恰巧实测的Vcesat还是0.5V。
这时IGBT模块的Tvj就是120℃,因为它表征温度的Vcesat=0.5V,和芯片在理想均匀的120℃时Vcesat测试值相同。但其实真实的芯片结温可能中间这片表面中心位置125℃,绑定线130℃,而边上的芯片表面只有110℃.
在实际IGBT模块应用中,也不可能用I_ref电流去测Vcesat推算Tvj,因此实际应用中我们提到的Tvj就是实测基准温度(例如进风口温度)叠加上热阻的温升推算出来的,甚至还可以通过瞬态热阻抗网络推导出动态Tvj的波动,例如下图中这类电动车启动加速到刹车停车的IGBT模块Tvj波动。
总 结
总而言之,IGBT模块在现实工况中的结温是复杂分布,且瞬息变化的,像上图中这种频率的温度波动基本是不太可能通过物理方式测量的。而IGBT模块的Foster Zth模型就是在元宇宙中的热模型,Tvj就是基于Zth热模型推导出来的温度。
这就像是一个现实世界中的人,身上每个器官每个细胞在微观视角中都是时刻处于变化的,而我们在元宇宙中的虚拟身份并不会包含那么多的微观细节,一个简单的形象甚至是抽象的代号都可以指代一个人,但这并不影响我们在微信上互相聊天互相点赞。
而IGBT也是一样,在仿真计算中,我们不需要关心那些复杂的温度梯度分布,只需要用一个归一化的Tvj就可以指代这个模块芯片的大概温度状态。而英飞凌在标定IGBT模块安全工作区时已经留了足够的裕量,所以客户只需要关心Tvj有没有超过上限就可以了,而不需要深入分析模块内芯片温度分布以及甚至绑定线的温度。厂家操心多一点点,客户操心就少一点点。祝大家大IGBT的元宇宙中玩得愉快!
更多文章请关注
《英飞凌工业半导体》微信公众号

