生态创新峰会
聚焦智能,着眼低碳
技术干货,倾情巨献
工程师们, 我们云端相见
点击图片 立刻报名!
作者简介
Benjamin Sahan,benjamin.sahan@infineon.com
摘要
”
本文提出了一种优化的ANPC拓扑结构。该拓扑结构支持最新的1200-V SiC T-MOSFET与IGBT技术优化组合,实现成本效益。市场上将推出一款采用全集成ANPC拓扑结构的新型功率模块,适用于高度紧凑型、高效率1500-V并网逆变器。新开发的Easy3B功率模块在48kHz频率条件下,可以实现输出功率达到200kW以上。此外,相应的P-Q图几乎呈圆形。这意味着,该功率模块适用于储能系统等新兴应用。
1.引言
”
过去十年,光伏产业经历了大规模增长。规模经济效应和光伏系统技术领域的创新,促使平准化度电成本降低,同时也是光伏产业高速发展的主要驱动因素[1]。此外,我们可以观察到电网级光伏系统的直流电压从1000V提升到1500V[2]。然而,这背后的主要动因在于电缆和安装成本下降,以及直流和交流电压等级提升带来的系统功率密度增加。此外,单机功率处于75kW至150kW范围的分散式大功率组串式逆变器正被应用于电网级光伏系统中。这是因为该类逆变器有助于提高设计灵活性和降低维护成本。另外,直流电压高达1500V的储能系统的重要性也愈加凸显。
尽管IGBT和二极管等硅基器件得到广泛应用,但它们并未针对光伏应用进行优化。特别是在快速开关能力和抗宇宙射线性能方面,SiC T-MOSFET等宽带隙功率半导体技术优于现有的1200-V Si-IGBT技术。尽管碳化硅(SiC)器件价格高昂,并且所需的栅极驱动器原理更复杂,比如利用有源米勒钳位抑制寄生元件开通,但是该类器件的损耗大幅降低。因此,对于快速开关器件来说,SiC T-MOSFET如果与具有成本效益的硅基器件相结合,将是一个卓越的替代解决方案。如果采用这种方案,则可以提高开关频率、降低总损耗,并且最大限度减少滤波器或散热器等相关关键部件的数量,最终优化并最大限度降低系统成本。与此相反,完全基于SiC的解决方案不能进一步减少滤波器或散热器的数量。因此,采用成本更高的SiC器件会导致系统成本更高。从系统层面来看,这里提出的混合解决方案是兼具性能和成本优势的最佳选择。
2.提出解决方案
”
2.1
拓扑结构和调制
为设计出1500-V大功率逆变器,NPC1拓扑结构结合1200-V IGBT器件是目前常用的方法[2]。有源中性点钳位型(ANPC)拓扑结构结合中性线上有源开关可以进一步提高自由度[5],但到目前为止该拓扑结构主要与IGBT或IGCT组件共同用于极高功率应用。
本文提出对ANPC拓扑结构进行特别的调整,以充分发挥SiC T-MOSFET与具有成本效益且高效的硅基IGBT解决方案相结合带来的优势。图1a显示了所述解决方案的桥臂。其中,T1至T4由硅基IGBT和相应的硅基续流二极管(FWD)组成;T5和T6由SiC T-MOSFET和内部体二极管组成。采用[6]中提出的调制方案(图1b),IGBT仅用于变换基本输出电压的极性,并且根据电网频率(50/60 Hz)进行开关。因此,可以通过优化IGBT最大限度降低导通损耗。就这一点而言,可以利用新推出的1200-V微沟槽(MPT)IGBT,其典型VCEsat仅为1.65V(@ICnom,125°C)[7]。这样,仅快速高效的SiC组件会产生有源开关损耗。因此,SiC器件数量可以减少到最低水平,从而实现最优成本效益。
图1: a) SiC T-MOSFET结合ANPC拓扑结构
b) 调制方案:由于T6与T5互补,未显示T6。
近期发表的[8]中提出了类似的方案,但是该方案选用了小功率分立器件。本文则重点探讨采用功率模块的大功率应用。
快速开关器件T5的占空比D可以用以下公式表示:
其中,Vgrid为栅极相电压(有效值);VDC为直流母线电压;m为调制指数。T6的开关信号(DT6)与T5互补。根据栅极驱动级的特性,必须增加100-200纳秒(ns)的极短联锁死区时间。
2.2
SiC T-MOSFET的功率损耗分析
SiC T-MOSFET的瞬时导通损耗影响开通电阻RDS,on、栅极电流igrid、栅极电流相位角φ和占空比(函数公式(1))。由于结构的对称性,仅考虑T5的损耗:
如果计算公式(3)的平均值,可以看出SiC T-MOSFET的总导通损耗既不受相位角(或功率因数,反之亦然)影响,也不受调制指数影响。图2描述了以m和φ为参数,将公式(3)归一化到2倍Igrid 2倍RDSon。很明显,一个时间段的平均值总是恒定的(0.25)。
图2:归一化瞬时导通损耗,其中m=0.8,φ=0(红色);m=0.5,φ=90°(蓝色)
如果忽略SiC T-MOSFET体二极管的动态损耗[3],计算结果与两电平逆变器相同[9],但该实验中仅施加了50%直流母线电压。假设开关能量Esw,漏极电流ID和直流链路电压存在线性关系,则总开关损耗可以根据以下公式进行近似计算:
本文所述的调制方案结合ANPC拓扑结构的一个显著优势在于,运行几乎不受功率因数的影响,并且无需对SiC器件进行电流降额。该优势支持该解决方案在无功功率模式下用于电网环境不稳定的地区。这正在成为电网级光伏应用的一项关键需求。此外,同样的硬件平台可以用于光伏和储能应用。
2.3
IGBT和FWD功率损耗分析
由于IGBT根据电网频率(50/60Hz)进行开关,它们大多会产生导通损耗。然而,该过程也会产生较小的无源开关损耗,比如IGBT正向恢复。[10]提供了关于这一点的详细分析。
由于结构的对称性,仅给出了T1、T3和D1、D3的损耗。导通损耗可按以下公式计算:
然后计算T1和T3的导通损耗,并归一化为T1和T3之和。为简化分析,IGBT的V-I输出特性与FWD相同。从图3可以看出,损耗是否从IGBT转移到FWD取决于相位角。就cosφ=0.8的光伏逆变器的典型运行而言,FWD的损耗要小得多,因此可以选择额定值较小的器件。然而,如果在功率因数cosφ=-1的条件下考虑储能应用,FWD的损耗达到最大值,因此器件的额定值应该与IGBT相同。
图3:IGBT(左)和二极管(右)在m=0.7条件下的归一化导通损耗与相位角的关系
3.新型ANPC功率模块
”
为了提高功率密度,业界已经开发出一种新型高效功率模块。图4中给出了所述ANPC功率模块的四种不同的换流通路。图4表明,四种情况下的换流通路均较长[2]。这意味着总是需要两个SiC T-MOSFET和两个IGBT或FWD。因此,采用低电感对称结构十分重要[3]。使用成熟的无基板EasyPACK™平台可以解决这个问题。[12]中已经证明,在基于带状线方式的Easy2B功率模块中,杂散电感仅为8nH。
新开发的Easy3B功率模块如图5所示。整个桥臂可以集成两个1200-V 6-mΩ CoolSiC™ MOSFET和四个微沟槽IGBT和FWD。关于新型Easy3B模块理念的更多详细信息可参见[11]。
图4:所述ANPC功率模块的四种不同换流通路
(红色:有源状态;橙色:续流)
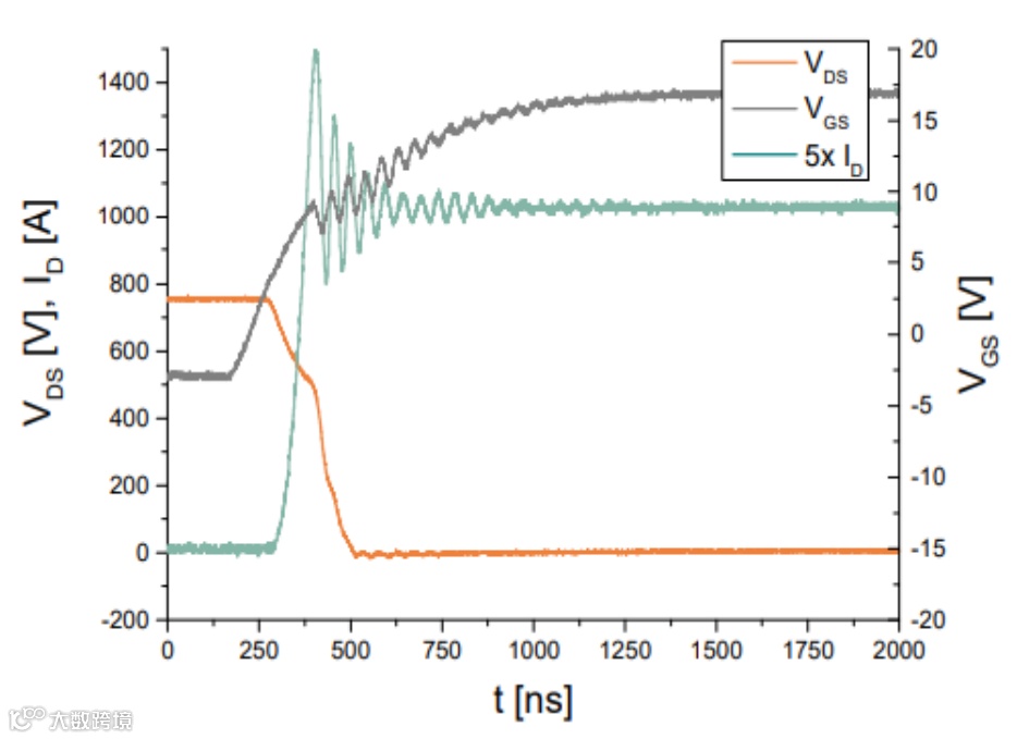
图5:新型Easy3B模块的图片和在VDC=750V,ID=200A,Tvj=150°C条件下F3L6MR12W3M1_ENG的关断波形
图5显示了所述功率模块原型的典型关断波形(F3L6MR12W3M1_ENG)。图6给出了相应的开通开关瞬态。实验设置为标准双脉冲试验,使用上桥或下桥SiC T-MOSFET的体二极管作为续流二极管。施加750V直流母线电压,可视为最坏工况。
与普通IGBT相比,单极SiC器件在关断过程中不产生任何拖尾电流。因此,实验中观察到VDS和ID上存在典型振荡。引起震荡的根本原因是由于存在寄生电感(比如,功率模块本身结构中的电感)以及源自器件和模块设计的电容(比如,SiC MOSFET的输出电容和衬底耦合电容)。关断过程中第一次电流跌落清楚地表明了器件电容对开关特性的显著影响。因此,部分负载电流用于释放SiC MOSFET的输出电容。无论如何,这些现象的存在已是众所周知的事实,详细信息可参考其他文献。
值得注意的是,与全集成PCB设计相比,标准双脉冲试验及其电流测量装置可能会导致更高的寄生电感。因此,最终系统中振荡可能更少。
图6:VDC=750V,ID=200A,Tvj=150°C条件下F3L6MR12W3M1_ENG的开通波形示例
4.对比评价
”
使用仿真工具PLECS®对Easy3B模块的三种不同配置进行比较。第一种配置考虑典型NPC1拓扑结构作为硅基解决方案,采用额定值为150A的快速H3 IGBT模块,同时中性支路上设置150-A EC7二极管(NPC1 a)。第二种配置是一种混合解决方案,中性支路上设置额定值为150A的H3 IGBT和额定值为50A的SiC FWD(NPC1 b)。第三种配置考虑ANPC结合6-mΩ CoolSiC™ MOSFET和150-A TRENCHSTOP™ IGBT7。为进行比较,按最高功率密度(如最大芯片面积),而非相同的额定芯片电流,对每种配置进行计算。为简化两种NPC配置的计算过程,仿真中仅考虑H3 IGBT。在相输出位置采用低静态损耗IGBT的更复杂解决方案可略微改进两种配置的表现,但不会改变给定的结论。
图7显示了每个模块的功率损耗和最大输出电流与开关频率fsw的关系。ANPC的功率损耗大大低于两种NPC1。在32kHz频率条件下,ANPC的功率损耗仅为硅基NPC1解决方案的四分之一,甚至仅为NPC1混合解决方案的50%。同样,可实现的输出电流明显更高。
图7:NPC1解决方案与ANPC解决方案中每个模块的功率损耗(Igrid= 50 A,VDC= 1200 V,Vout= 600 VAC,cosphi= 0.8,TA= 50°C,RthHA= 0.15 K/W)
这种大功率组串式逆变器的一个重要特点是易搬运。两个工人应该能够搬运和安装一台逆变器。这意味着尺寸和重量特别重要。因此,开关频率应该尽可能高,以减少输出滤波器数量。在给定假设条件下,fsw=48kHz时可以实现栅极输出电流有效值达到110A。假设典型线对线交流栅极电压为600 VAC,这意味着每相并联两个模块可以实现输出功率超过200kW。
另外,一个ANPC模块的结温和总功率损耗示例如图8所示。SiC T-MOSFET(T5)的温度通常最高,但仍然远远低于150℃。如2.2节所述,温度几乎不受功率因数的影响。总功率损耗也不受功率因数的影响。当cosφ接近-1时,FWD D1的温度高于T5。因此,当功率需要向两个方向流动时,可能需要对输出电流进行小幅降额或采用稍微大一点的二极管。
图8:结温和功率损耗与功率因数的关系(Igrid=100A,VDC= 1200V,Vout=600VAC,cosphi=0.8,fsw=48kHz,TA= 50°C,RthHA= 0.15K/W)
图9:模拟P-Q图(VDC=1200V,Vout=600VAC,fsw=48 kHz,TA=50°C,RthHA=0.15K/W)
相应的P-Q图(图9)几乎呈圆形。由于结构的对称性,图中仅显示一半P-Q图。正方向可实现的最大电流为116.4kW,负方向为110.3kW,而最大无功功率为115.7kVA。最后,功率损耗分布如图10所示。可以看出,当fsw=48kHz,T5的开关损耗占比最大。器件之间的导通损耗实现平衡。
图10:功率损耗分布(Igrid=100A,VDC=1200V,Vout=600 VAC,fsw=48kHz,cosphi=0.8,TA=50°C,RthHA=0.15 K/W)
5.小结
”
功率范围为150至200kW的1500-V并网逆变器需要高度紧凑型高效电力电子解决方案。本文已提出采用经特别设计的ANPC拓扑结构,将SiC T-MOSFET和最新IGBT技术结合起来,实现高成本效益。在典型工况下,与配置快速H3 IGBT和SiC FWD的最先进混合NPC1解决方案相比,上述解决方案的功率损耗显著降低。与采用SiC MOSFET的其他解决方案相比,当SiC T-MOSFET在反向导通模式下使用时,所述ANPC解决方案无需使用外部SiC FWD。这实现了最佳性价比。为实现高功率密度,本文提出、分析并探讨了采用全集成ANPC拓扑结构的新型高效低电感功率模块。
所述调制方案与ANPC拓扑结构和SiC T-MOSFET相结合的一个显著优势在于,工作P-Q图几乎呈圆形,而无需对SiC器件进行降额。该特性支持十分灵活地使用功率模块,比如用于需要无功功率模式帮助维持电网稳定性或在储能系统中使用逆变器的应用。
如果您对视频中的产品(推文代码:2022ART06)感兴趣,需要英飞凌销售团队或代理商联系您,请扫描下方“二维码”填写表格。
想获取数据手册,
可在公众号菜单栏中搜索~
👇👇
参考文献
[1] S. Araujo et al., “Exploiting the Benefits of SiC by Using 1700 V Switches in Single-Stage Inverter Topologies Applied to Photovoltaic Systems”, PCIM Europe, 2011
[2] M. Slawinski et al., “Evaluation of a NPC1 phase leg built from three standard IGBT modules for 1500 VDC photovoltaic central inverters up to 800 kVA”, ECCE Europe 2016
[3] D. Heer et al., “Switching performance of a 1200 V SiC-Trench-MOSFET in a Low-Power Module”, PCIM 2016
[4] U. Schwarzer et al., “System Benefits for Solar Inverter using SiC Semiconductor Modules”, PCIM 2014
[5] T. Bruckner et al., “The active NPC converter and its loss-balancing control,” IEEE Trans. Ind. Electron, 2005
[6] D. Floricau et al., “The efficiency of three-level active NPC converter for different PWM strategies,” EPE, 2009
[7] C. R. Müller, et al., “New 1200 V IGBT and Diode Technology with Improved Controllability for Superior Performance in Drives Application”, PCIM Europe, 2018
[8] Q. Guan et al., "An Extremely High Efficient Three-Level Active Neutral-Point-Clamped Converter Comprising SiC and Si Hybrid Power Stages," in IEEE Transactions on Power Electronics, vol. 33, no. 10, pp. 8341-8352, Oct. 2018
[9] Infineon “IPOSIM Dimensioning program IPOSIM for loss and thermal calculation of Infineon IGBT modules”,
[10] A. Schittler et al., “Interaction of Power Module Design and Modulation Scheme for Active Neutral Point Clamped Inverters”. PCIM 2019
[11] C. R. Müller et al., “New 950 V IGBT and diode technology integrated in a low-inductive ANPC topology for solar application”, PCIM 2019
[12] C. R. Müller et al., "Low-inductive inverter concept by 200 A / 1200 V half bridge in an EasyPACK 2B - following strip-line design," CIPS 2014
致谢:
感谢M. Prell,A. Siani,R. Loer,S. Schmies,T. Ulbrich,A. Herbrandt,D. Heer和T. Villbusch(Schaffner公司)对本文提供的宝贵建议和大力支持。
欢迎关注微信公众号
【英飞凌工业半导体】
点击文末“阅读原文”,
即可填写表格联系我们~

