作者简介
作者:Jaeeul Yeon 翻译:陈子颖
Jaeeul Yeon
Jaeeul Yeon分别于2000年和2002年在Hoseo大学获得电气工程学士学位和硕士学位,并于2006年在韩国汉阳大学获得电力电子学博士学位。自2006年以来,他在电力电子和电力半导体领域拥有丰富的经验。Jaeeul于2018年11月加入英飞凌,目前是首席产品定义工程师(PDE),负责家用电器的分立IGBT和二极管产品。
对于功率因数校正(PFC),通常使用升压转换器Boost拓扑结构。它可以最大限度地减少输入电流的谐波。同时IGBT是大功率PFC应用的最佳选择,如空调、加热、通风和空调(HVAC)以及热泵。
理论上,在连续导通模式(CCM)下,通过IGBT反向续流永远不会发生。然而,在轻负载或瞬态条件下,由于升压电感Lboost和IGBT的输出电容Coss之间的共振,会有反向电流流过。
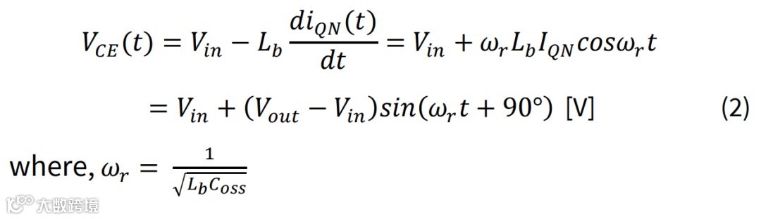
这个谐振电流,iQN(t)是由以下公式给出的。
谐振期间IGBT两端的电压(VCE)可以得出:
当输入电压Vin低于输出电压的一半时(Vin<vout/2),开关管的电压VCE变为负值。如果没有与图1中升压PFC的IGBT并联的反向导电路径,这个负电压会出现在IGBT上。如果不考虑阻尼因素,在过零点附近的反向电压的大小理论上可以达到与输出电压Vout相同的量值。这对系统的长期可靠性来说是非常危险的,因为它不能保证反向电压被施加到IGBT上。
Figure 1. PFC circuit with boost converter topology
比较用于PFC应用的不同IGBT解决方案
通过测试比较TRENCHSTOP™ 5 WR6 IGBT(IKWH30N65WR6)和TRENCHSTOP™ IGBT3(IGW30N60H3)在CCM-boost PFC电路中的工作波形,证明了这种现象。IKWH30N65WR6包含一个集成在IGBT芯片中的反向导电的二极管,而后者的IGBT不包含反向导电的二极管。图2显示,对于IKWH30N65WR6,反向电压被钳位到接近零。在使用IGW30N60H3的情况下,反向电压最高达到-241V。因此,即使在PFC的CCM模式中,反向导电二极管对于确保系统的可靠性也是至关重要的。
然而,在这种情况下,对于短时间软的反向恢复电流,我们不需要一个高性能的续流二极管。在图2中,你可以看到IGBT的反向电流的峰值只有大约200毫安,持续时间为几微秒。
Without reverse conducting diode
With reverse conducting diode
Figure 2. Switching waveforms of IGBTs at turn-off transition in CCM PFC at light load condition
一般来说,逆导型RC IGBT不适合于需要硬换流的应用。然而,RC IGBT对一些硬换向应用非常有利,如PFC,其中IGBT的反向续流二极管不需要有良好的反向恢复性能。在这种应用中,当高性能的二极管是多余的时候,它们提供了一个更经济的选择。
用于升压PFC和逆变焊接应用的TRENCHSTOP™ 5 WR6 IGBT
英飞凌最新的RC IGBT,如图3所示,是基于TRENCHSTOP™ 5 WR6 IGBT技术,其中N+区被部分植入P集电极层,形成一个内在的P-N二极管。这使得反向电流可以流动,而不需要额外的续流二极管。
Figure 3. TRENCHSTOPTM 5 WR6 IGBT using a reverse-conducting (RC) IGBT concept
这种TRENCHSTOP™ 5 WR6 IGBT非常适用于升压PFC和逆变焊接应用。根据目标应用优化漂移区的厚度和二极管的额定值,确保了额定电流下1.4V的最佳VCE(sat),同时保持650V的额定电压。此外,由于其极低的少数载流子寿命,不会出现拖尾电流,这使得TRENCHSTOP™ 5 WR6 IGBT能够实现60kHz甚至更高的开关频率。
当选择TRENCHSTOP™ 5 WR6 IGBT用于不发生硬换流的PFC应用时,不需要担心逆导型IGBT中的二极管性能问题。有了这项技术,就有可能为您的下一个设计创造经济而可靠的系统。
参考资料
[1] E. M. Findlay and F. Udrea, “Reverse-Conducting Insulated Gate Bipolar Transistor: A Review of Current Technologies,” in IEEE Transactions on Electron Devices, Vol. 66, no. 1, pp. 219-231, Jan. 2019.
[2] I. Sheikhian; N. Kaminski; S. Voss; W. Scholz; E. Herweg; “Optimization of the reverse conducting IGBT for zero‐voltage switching applications such as induction cookers” Volume8, Issue3 Special Issue: Power Semiconductor Devices and Integrated Circuit, May 2014 pp. 176-181
扫描上方二维码关注我们

