二极管的损耗与波形系数
整流电路AC/DC变换应用非常广泛,比DC/AC 逆变器功率范围更广,数量更多。为了降低谐波电流,有源PFC应用越来越广泛,但二极管整流在电机驱动中还是主流的方案,而且功率范围很广,所以了解二极管整流工程设计非常重要。
整流电路是电力电子课程的基础内容,占篇幅也很大,但是在书本上,工程上的重要基础问题没有细讲或没有涉及,尤其重要的整流电容滤波负载往往被忽略了,以至于使得整流电路设计在中小功率系统设计中也没有得到足够重视,直接影响系统成本和可靠性。而大功率整流,譬如新能源电解氢,整流知识是必不可少的。
要设计好整流电路,首先要回答两个主要问题,二极管上的电流和损耗。
二极管的损耗
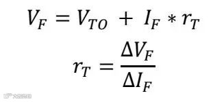
二极管的特性为:
以带三相整流桥的100A 1200V IGBTEasy3B模块为例,型号为 FP100R12W3T7_B11,整流二极管的IF=f(VF) 特性如图所示,其线性化表达式为:
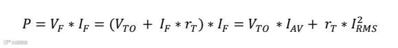
二极管整流桥输入是交流电流,但单个二极管上流过的是直流电流,那么,二极管上的损耗,即二极管上的平均功率为:
在公式中,电流的量化涉及到二极管上的电流平均值IAV和电流有效值IRMS。在二极管上流过的是直流电流,我们计算的是直流下的平均功耗(功率),所以功耗(功率)第一个部分是直流电压平均值与直流平均电流的积,这里需要知道流过二极管的平均电流;而电阻性的损耗(功率)是电流有效值的平方与电阻值的积,这里需要知道流过二极管电流有效值。
为了简化工程计算,我们对于各种整流电路的不同负载波形给出了波形系数,即电流有效值与电流平均值之比。在实际计算中我们只要知道平均值电流就可以了。
那么:
整流电路如果处理的是正弦电流,或感性负载下的方波电流,这时电流的波形系数可以通过查表获得,如是整流电容滤波这类非线性负载,需要通过仿真和测试获得,也可以总结一些经验波形系数用于工程设计:
表:整流电路的峰值系数,平均系数和波形系数
表:正弦波的系数
测试
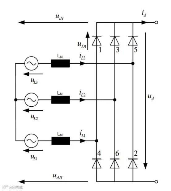
测试电流比较方便的方法是在整流桥的交流输入端测,如果有交流输入电感,需要在电感和整流桥之间测,即图中的iLn。
如果不是正弦电流,有效值测量必须用真有效值表,然后用波形系数换算二极管上的平均值电流。
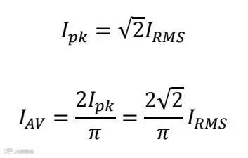
为什么要强调真有效值呢?这是因为一般表头测量原理是:表的指针按照平均值偏转,表盘按照正弦波的有效值刻度。正弦波电压/电流的峰值,有效值和平均值的关系为:
以正弦电压举例大家更熟悉,如果采用的不是真有效值表,表头读数为220V有效值时,实际表头测得的是平均值198V。
所以如果真的要测非正弦波形的平均值,就需要用平均值表,这就比较小众了,建议还是用真有效值表测电流再峰值系数换算。
计算
以正弦电流为例,计算二极管上的平均功率:假设二极管有效值电流为25A,那么平均值电流为22.5A。
简化用平均值计算,在正弦波下误差不大:
但是,如果是非线性负载,这误差就大了,系列文章会从应用角度谈谈非线性负载对整流二极管和逆变器的影响,请关注连载。
#
下期预告
《阻感性负载和反电动势负载》
摘要:阻感性负载比较常用,也是基础教学内容,为了符合微信快速阅读习惯,这里只以单相不连续电流模式和连续电流模式作为整流电路分析入门;反电动势负载典型应用是最简单的充电电路,是热门的知识点。
扫描上方二维码关注我们

