整流电容滤波负载原理
摘要
六期连载,整流电路AC/DC变换应用非常广泛,其中二极管整流在电机驱动中是主流的方案,而且功率范围很广,所以了解二极管整流工程设计非常重要。
整流电路是电力电子课程的基础内容,占篇幅也很大,但是在书本上,工程上的重要基础问题没有细讲或没有涉及,尤其重要的整流电容滤波负载往往被忽略了,以至于使得整流电路设计在中小功率系统设计中也没有得到足够重视,直接影响系统成本和可靠性。
第二讲《二极管的损耗与波形系数》讲了基础知识,二极管和测量技术的基本概念,第三讲以《阻感性负载和反电动势负载》梳理了整流电路的分析方法。本讲开始讲整流桥的非线性负载和逆变器的非线性负载。
在交流供电的电源,家用电器,电机驱动器中,电容滤波这一非线性负载非常普遍。
电容滤波负载峰值电流远高于平均值电流,也使得有效值电流比较大,这对整流桥电流造成大的应力。由于电流的谐波大,往往超过电磁兼容中谐波电流的限制,一般功率大于80W电路就需要加电感滤波,这也抑制了峰值电流。
单相整流电路的电容滤波负载分析
整流电路的电容滤波负载中的电容是储能器件,它的作用是平滑整流桥输出电压的纹波Ubrumm,其储存的能量和负载耗能相当,其端电压uc在就是ud,其作用是反电动势,上一讲已经有了知识的铺垫。
电容滤波整流电路中的二极管电流是不连续的,是非线性的,只有输入电压uL1>ud时,即t1~t2期间才有电流iL1对电容充电iC和对负载供电iL。在区间外,由于二极管反偏,连给负载供电机会都没有。要在短时间给负载供能,这时峰值电流比平均值电流大好多,相应的有效值,即均方根电流也会大不少(见下面仿真数据)。
这样的电路的缺点是电流峰值大,高次谐波大,受电磁兼容标准和法规的限制,一般功率大于80W电路就需要加电感滤波。
电流估算
在刘进军主编的《电力电子技术》电容滤波的单相不可控整流电路中给出了一张图表,负载大小(阻值)和滤波电容与对θ值和δ值的影响,图中的电流波形是理想波形,上升沿是突变。
从图中可以读出δ值在40-70度,θ值在20-40度之间,除非不按照规则设计,采用特别大或特别小的电容。特别大的电容,在放电周期放掉电有限,母线纹波电压很小,充电的θ角小;而很小的电容,母线纹波电压很大,这时随着交流电压的上升,很快进入充电状态,充电时间比较长,充电的θ角大。但出于成本考虑和母线纹波电压的要求,充电的θ角不会太离谱。如果有滤波电感这表不适用。
按照GB/T 7260.3-2003不间断电源设备(UPS)第3部分:确定性能的方法和试验要求中资料性附录基准非线性负载的规定,以1000VA负载为例,RL=121Ω,C=1210μf。具体规定参考续篇《逆变器如何面对整流滤波非线性负载?》。
从上表中读出:θ=24°,δ=65°
对于10ms的半周期,其导通时间为t=24/180*10ms=1.33 ms,这与下表的仿真结果非常接近。
注:Rs=0.2Ω,是线路阻抗
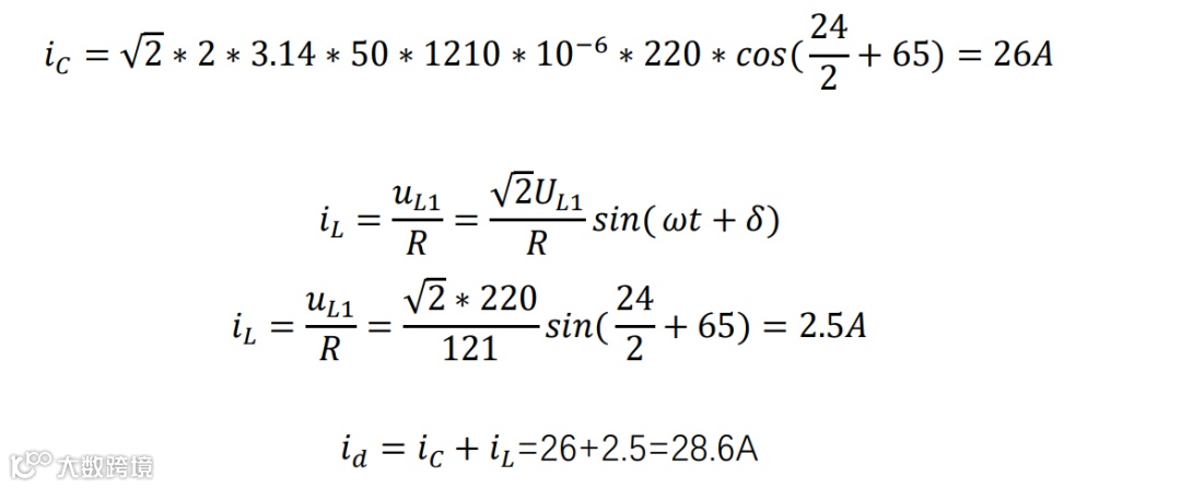
知道δ值在40-70度,θ值在20-40度之间,我们可以计算在二极管导通时电容和电阻上的电流。这种电路在没有输入阻抗限制,哪怕在稳态时,整流桥输出电流也比较大。
在图中可以读出,二极管从t=0开始导通,到t=θ/2,时达到峰值,所以电流峰值计算如下:
这与上述的仿真结果比较接近。
但无论峰值电流多大,由于电容没有消耗电能,其整流桥输出的电流平均值就是电阻上的平均值,二极管电流平均值是电阻上电流平均值的一半。
二极管的平均值电流很容易计算,但计算二极管损耗时需要有效值,就需要知道峰值系数。
对于非线性负载的设计,建议采用仿真获得设计参数。
线路阻抗对电流的影响
线路阻抗电流的峰值会有很大的影响,阻抗从0.05Ω增加到5Ω,线路上峰值电流时的压降仅U=IR=4*5=20V,在311V占比仅6%,但对抑制峰值电流效果很明显。按照GB/T 7260.3-2003中基准非线性负载的规定,串联的线性电阻,其消耗有功功率为总表观功率的4%。在实际系统设计中会采用交流侧或直流侧的电感,目的是降低系统的谐波电流,同时也减低峰值电流。
从理论分析和仿真模拟可以看出,整流二极管的应力与线路阻抗有很大关系,实际系统需要满足GB17625.1低压电气及电子设备发出的谐波电流限值(设备每相输入电流≤16A)。如果是二极管整流,需要通过串联电感来满足谐波电流,这时峰值电流不会太大。
#
下一讲预告
《整流电容滤波负载实例》
摘要:以家用空调作为单相整流电容滤波电路和英飞凌22kW通用变频器为三相整流电容滤波电路为例,通过PLECS仿真验证设计参数,给出波形系数的经验值,方便工程计算。
欢迎关注微信公众号
【英飞凌工业半导体】

