功率半导体注定要承受大的损耗功率、高温和温度变化。提高器件和系统的功率密度是功率半导体重要的设计目标。我们一路追求单位芯片面积的输出电流能力,实现方法是:
1.减小导通损耗和动态损耗
2.减小寄生电感,发挥芯片的开关速度
3.提高允许的最高工作结温
4.降低结到壳的热阻Rthjc
芯片技术的发展方向是降低导通损耗和动态损耗。封装的发展方向减小寄生电感,允许芯片快速开关而不震荡;提高封装工艺的可靠性,提高功率周次和温度周次,就是说提高器件结温的同时也要保证器件的寿命,同时要提高散热能力,降低结到壳的热阻Rthjc。
在式子中可以看出,技术的进步提高了Tvj,降低了Rthjc,这样就允许器件承受更大的损耗Vce*Ic,也就是说允许芯片上的发热量更大。
下面做一个有趣的对比,与太阳比功率密度。
英飞凌出场的是明星产品:
EconoDUAL™3,FF900R12ME7_B11,
900A 1200V IGBT7。
FF900R12ME7_B11的功率密度
第一种工况:
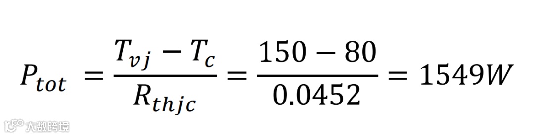
求解FF900R12ME7_B11 IGBT模块在管壳温度80度下,芯片的功率密度。把上式变形一下:
900A 1200V芯片在管壳温度为80度下,允许的功耗为1549瓦,如果在直流情况下,不考虑动态开关损耗,Ptot=Vcesat*Ic,由于饱和压降典型值在1.7V,这时器件集电极电流(没有开关损耗)为911A左右。
由于900A IGBT芯片面积大约为6cm²,得出功率密度为:2.6*10⁶W/m²,这时IGBT7的芯片功率密度比火柴火焰高一个数量级,比电熨斗功率密度高9个数量级!!!
第二种工况短路:
把IGBT接在900V直流母线上,进行第一类短路实验。短路时母线电压是900V,在8us内,短路电流可达3200A以上,这时瞬时功率高达P=900V*3200A=2.88MW!!!
同理算出这时芯片的功率密度高达4.8*10⁹ W/m²,这比太阳表面的功率密度5.0*10⁷W/m²还高2个数量级!!!
注:
1.一根火柴的质量约为0.065g,木材的热值约为1.2×107J/kg,假设火苗截面积100mm2,火柴15秒烧完。
2.人体运动发热取中值200W,人体表面积按照许文生氏公式:体表面积(m2)=0.0061×身高(cm)+0.0128×体重(kg)-0.1529
IGBT的温度
系统设计中IGBT的工作结温普遍高于水的沸点100℃,设计目标是150℃,瞬态高达175℃。在氢燃料电池的冷却水泵中,驱动器中IGBT的冷却液温可能是95度,在这样恶劣工作条件下,也要满足车辆的行驶公里数和使用年限,对IGBT的可靠性和寿命要求很高
高功率密度的挑战
由于电力电子系统设计中对功率半导体的工作温度和功率密度要求非常高,这对于芯片工艺和封装工艺设计和生产都是很大的挑战。
焊接层
高温和大幅的壳温变化,会造成模块焊接层的机械疲劳而分离,从而使得结到壳的热阻Rthjc,增加,进而失效。
绑定线
有了对比才知道IGBT芯片的功率密度如此之高,现在再来研究一下绑定线的设计规范和电流密度。
在模块的数据手册中有一个不太引人注目的参数,模块引线电阻,即端子到芯片的电阻值RCC’+EE’,这阻值对于小电流模块看起来损耗不算太大,但这时的绑定线的电流密度高达254A/mm²,远远高于家庭配电规范中铜线的电流密度6A/mm²。如果按照铝线电流密度2.5A/mm设计900A模块的引线就需要360mm²,这将是一个截面为60*6mm的铝排。
如此高密度的电流反复流过绑定线,会造成绑定线机械应力,使得绑定线开裂等机械损伤。
绑定线一头是连接在IGBT芯片的金属化层上,这是3.2um厚的AlSiCu材料,这连接点也是容易造成机械疲劳的薄弱环节,大的结温变化会造成另一种失效机理是绑定线脱落。
IGC193T120T8RM 200A 1200V
芯片的数据手册
封装的效率
模块引线电阻,即端子到芯片的电阻值RCC’+EE’,会造成的损耗,对于中大功率模块是个不小的数值。
EconoDUAL™3 FF900R12ME7模块引线电阻,端子到芯片的电阻值0.8mΩ,900A时压降0.72V,功耗高达648W。
FF900R12ME7电流和引线损耗
如果选择PrimePACK™封装,其最大规格做到了2400A半桥,这样的模块引线电阻小很多,原因是端子采用铜排结构。FF900R12IE4,900A 1200V模块端子到芯片的电阻值0.3mΩ,900A时压降0.27V,功耗仅243W,只有EconoDUAL™3 FF900R12ME7的38%。
所以选择器件时,需要考虑不同封装的特性,以满足系统需求。
结论:
由此看来高功率密度带来的主要问题是造成器件的机械疲劳,影响器件寿命,好在这些寿命机理是已知的,是可以用功率周次和温度周次描述,器件和系统的寿命可以设计的。
为了在风力发电,电动汽车和机车牵引等负载变化大的应用领域评估器件在系统中的寿命,这就需要进一步了解器件的寿命机制和设计方法,英飞凌提供寿命仿真的收费服务。
具体请参阅:
如何正确理解功率循环曲线
IGBT单管的功率循环
新能源应用中功率半导体器件的可靠性问题
欢迎加入英飞凌工业功率控制团队,与优秀的人同行,跟靠谱的人共事。更多职位详情,点击文末“阅读原文”或扫描下方二维码,感谢您的关注~
点击文末“阅读原文”,
了解英飞凌更多职位详情~

