温馨提示
微信阅读周火热进行中!
本期文章最后有答题环节,
全部答对即有机会获得精美礼品!
作者简介
Paul Sochor, Andreas Huerner, Michael Hell, Rudolf Elpelt
英飞凌科技股份公司,德国
通讯作者:Paul Sochor,paul.sochor@infineon.com
摘要
”
SiC MOSFET体二极管的关断特性与IGBT电路中硅基PN二极管不同,这是因为SiC MOSFET体二极管具有独特的特性。对于1200V SiC MOSFET来说,输出电容的影响较大,而PN二极管的双极电荷影响较小。然而,在高温和高电流密度条件下,双极电荷与电容电荷同样重要,即使对于1200V器件来说也是如此。在快速开关应用中,换流回路杂散电感会对体二极管关断产生显著的影响,而这种影响会导致产生明显的浪涌电压和振荡。对于硅基PN二极管来说,关断损耗具体为反向恢复能量损耗。然而,对于SiC MOSFET来说,Erec和Qrr的传统计算方法可能会产生具有误导性且与实际特性不一致的结果,因此Erec和Qrr不能表明器件的实际特性。本文探讨了SiC MOSFET的独有特性以及影响体二极管关断特性的多个影响因素,并且阐明了快速开关应用中SiC MOSFET的反向恢复损耗概念。
1.引言
”
碳化硅(SiC)MOSFET使电力电子电路能够以超快的开关速度工作,同时电压和电流转换速率可以分别远超100V/ns和10A/ns。然而,半导体的开关性能不仅取决于器件的固有特性,而且在很大程度上取决于器件的外部电路和驱动条件。调整SiC MOSFET的外部电路可以显著提高其动态特性[1]。
当探讨SiC MOSFET的动态特性时,重点往往放在SiC MOSFET本身的开通和关断特性上。关于SiC MOSFET体二极管动态特性的论文很少[2][3],并且相关标准和数据表中尚未充分覆盖该主题。由于SiC MOSFET在开通状态下可以传导正电流和负电流,因此通常只需要体二极管在极短的死区时间内传导电流。当负载电流从将要关断的器件换流到另一个已关断SiC MOSFET的无源体二极管时,就会存在死区时间。一旦换流对管开关再次开通并接管负载电流,体二极管会进行自关断(比较图1)。体二极管关断是一种被动行为,因为它总是由另一个SiC MOSFET触发,而这另一个SiC MOSFET由正栅极电压脉冲主动开通。
图1:体二极管关断实例的简化电路图。
体二极管是一种PN二极管,它在传导电流时会积聚电子空穴等离子体[4]。当体二极管关断时,双极等离子体电荷从二极管的漂移区被扫出,同时建立空间电荷区阻断母线电压。此外,空间电荷区产生电容Coss。关断过程中Coss被充电,达到Vdc。PN二极管的这个关断过程通常称为反向恢复,由双极电流和电容电流驱动。
2. 体二极管关断特征
”
SiC材料的介电强度大约是硅(Si)的10倍。因此,SiC器件阻断某一电压所需的漂移区厚度要比硅基器件薄得多。尽管硅基器件和SiC器件的原理相同,但对于电压等级相同的器件,双极电荷和电容电荷的比例差别很大。简单来说,与1200V硅基二极管相比,1200V SiC MOSFET的体二极管在传导过程中存储的双极电荷更少,而关断状态下的耗尽层电容比1200V硅基二极管要高得多(这是由于漂移层较薄)。电容电荷与双极电荷的实际比例在很大程度上取决于阻断电压。
图2是Si二极管反向恢复特性的简化示意图。Si二极管的开关速度是由电子-空穴等离子体从其漂移区被移出的速率决定。一旦PN结处的等离子体浓度为零,二极管就可以建立电压。关断过程中的静电荷称为反向恢复电荷,可以根据瞬态电流波形进行计算:
反向恢复电荷是半导体器件的一个特性,它由双极电荷Qbip和电容电荷Qoss组成。Qbip为关断过程中被扫出的已存储双极电荷。Qoss为输出电容Coss充电到直流链路电压过程中产生的电容电荷。
与(1)类似,反向恢复过程的能量按以下公式计算:
Ebip是在二极管漂移区电场不断增大的情况下,主动消除双极载流子产生的能量。该双极能量在反向恢复过程中损耗,并且有助于二极管升温。Eoss是将输出电容Coss充电到直流母线电压所需的电容能量。此能量不会以二极管内热量的形式损耗,因为它仅在二极管关断时存储在Coss的电场中。此能量通常在体二极管再次开通后恢复。
图2:慢速硅基PN二极管关断特性的简化示意图。
两个主要参数可以用于清楚地区分SiC MOSFET体二极管与配置反并联硅基PN二极管的Si IGBT器件的关断特性,即Qoss/Qbip比和开关速度。
由于Qoss/Qbip比更高,SiC MOSFET体二极管(尽管为PN二极管)的动态特性很大程度上由其电容特性决定。这一点适用于1200V及以下电压等级。对于更高电压等级,该比值中Qbip变大。对于电压等级≥1200V的Si二极管,动态特性主要由二极管的双极特性决定。然而,如后文所示,在高电流和高温条件下,SiC MOSFET体二极管的双极特性更加明显。
第二个参数是开关速度。当SiC MOSFET体二极管在高电感环境中运行时,开关速度尤其重要。后文将更详细地探讨这一重要参数。
3. 实验设置
”
本文使用带有可调节换流回路杂散电感的自定义双脉冲试验装置研究体二极管的关断特性。该试验装置由两个分离的PCB板组成:一个直流母线电容组和一个双脉冲板。其中,双脉冲板带有采用分立TO247-4封装的高边和低边SiC MOSFET开关。为突出相关效应,本文选用的两个SiC MOSFET是定制测试器件,相当于1200V、45mΩ CoolSiC™ MOSFET(IMZ120R045M1),但是其芯片尺寸大约是同等技术的2.7倍。
两个测试板之间可以用可变长度和位置的铜排连接,以调节换流回路的杂散电感Lσ。如果不使用母线轨(而采用直连),则试验装置的Lσ变得非常小。为了进一步降低Lσ,本研究还设计了另一个相同的试验装置。该试验装置配有额外的低ESL直流母线陶瓷电容,设置在很靠近两个开关的位置,以大幅缩短换流通路。在该低电感配置中,试验装置的Lσ降低到6nH左右(不包括TO247封装的寄生电感)。在该试验装置中,TO247封装的杂散电感约为4.5nH。
图3为高电感配置中试验装置的图片。从顶部看,低电感试验装置与高电感试验装置相同,而不同之处在于低电感装置未使用母线轨。本文在两种不同的试验配置下研究SiC MOSFET体二极管的开关特性。在两种配置中,总Lσ(包括板和封装)分别约为15nH和50nH。
使用另一个相同的试验装置十分重要。这有助于排除研究中可能产生误导性结果的其他可能的影响因素。在极快开关速度下测量SiC MOSFET尤其具有挑战性,因为测量过程中存在许多潜在的误差来源。除了本文所讨论的电路板杂散电感的影响,所使用的电流传感器的质量(特别是带宽)、正确的延时补偿(偏差补偿)和防止可能发生再次开通的低阻抗栅极驱动器连接,对于恰当地表征体二极管的关断特性至关重要。
4. 影响二极管关断特性的因素
”
若干因素会对体二极管的关断特性产生显著的影响。选用SiC MOSFET的电路设计师应该全面地了解这些影响因素,以及如何解释Qrr或Erec等数值。适当地考虑某些影响因素并在电路设计层面采取优化措施,有助于提升许多应用中体二极管的性能优势。
图3:带有可变换流杂散电感的自定义双脉冲试验装置。图中显示了高电感配置。
SiC MOSFET体二极管的特性具有动态特征,就像一个与非线性电容Coss并联的单向非线性电阻器。在较高电流和较高温度下,双极效应会显现出来。体二极管不能自关断,而是需要其换流对管接管负载电流。因此,体二极管处的开关条件取决于其有源换流对管开关的开关速度。
4.1
杂散电感
电路的杂散电感对体二极管的特性和SiC MOSFET在快速开关应用中的性能有很大的影响[1][5]。[1]中阐述了换流回路杂散电感Lσ如何影响体二极管处的浪涌电压,以及体二极管处的浪涌电压成为了提升开关速度的限制因素。
对于慢速体二极管关断(即使用较大的栅极电阻Rg,ext),杂散电感对Qrr或Erec的结果影响较小。图4显示,低至2A的极小体二极管电流被缓慢关断。高杂散电感配置和低杂散电感配置下的波形差别很小,并且两种配置下根据公式(1)和(2)计算的Qrr和Erec值大致相等。
对于极小的体二极管电流,双极电荷的影响可以忽略不计,因为体二极管漂移区的电子空穴-等离子体浓度很低。在这种情况下,Qrr和Erec主要是电容电荷,即Qrr≈Qoss;Erec≈Eoss。
图4:当电流极小时,缓慢关断的比较。Erec计算值约等于Eoss。Lσ的影响很小,可以忽略不计。
如果电流较大且开关速度很快,情况会大不相同。如果有源SiC MOSFET的开通速度非常快,则无源SiC MOSFET体二极管的关断也非常快。由于存在Coss,当Lσ值较大时,快速开关实例可能触发明显的电流和电压振荡,这是由于Lσ和Coss形成了LC振荡器。这些振荡加强了反向恢复特性,并且可能产生有误导性的Qrr或Erec值。
图5显示了当杂散电感较小和较大时,体二极管非常快速地关断了60A电流。尽管两种配置下电路在其他方面均相同,关断特性却明显不同,并且Qrr和Erec的计算值相差超过2倍。图5很好地说明了两种测量实际上都不能得出准确的值。由于LC振荡产生的额外电荷和能量,高电感配置下测量的Qrr值和Erec值高于实际值,而低电感配置下测量的值低于实际值。在低电感试验装置中,电流波形上小得多但明显可见的振荡,在vds达到其直流链路值之前产生过零。因此,将(1)中trr2设定为比有实际意义的值更小的值。如果开关略慢或Lσ略小,产生过零的时间要晚得多,因此测得的Qrr值和Erec值会差别很大。
图5:较大电流下快速体二极管关断。LC振荡的影响显而易见。注:两种测量中Qrr值和Erec值均不正确。
这个例子清楚地表明,在SiC MOSFET的快速开关实例中运用(1)和(2)会导致实际二极管性能结果不正确且不一致。只要开关过程触发明显的振荡,即使在低电感试验装置中也是如此。对于快速开关SiC MOSFET,(1)和(2)只能在下述条件下使用:试验装置的Lσ足够低,或者开关速度设置得足够低,以至于开关过程不会触发大幅震荡。然而,在慢速开关条件下,载流子复合会对结果产生重大影响,并且与实际应用的条件有偏差。
另一种更适合计算快速开关SiC MOSEFT的反向恢复电荷和能量的方法如下:将积分上限(trr2)设置为vds达到直流母线电压98%左右的时间。
公式(3)和(4)在很大程度上抑制了Lσ的影响,产生了与实际二极管特性更一致的结果。然而,这两个公式有一定的局限性,即假设在关断过程中,漂移区电场到达漂移区背面的高掺杂n+场停止层。如果满足该假设条件,当vds=Vdc时,漂移区内所有等离子体电荷将被有效地扫出。该条件需要解释正确的Qoss,而当vds足够大时,双极电荷Qbip变化不大。
为确保公式(3)和(4)的适用性,关断过程中的直流母线电压或电压浪涌需要足够高。如果vds没有达到足够高的电压等级,电场将不能扫出整个漂移区,而是会留下一定数量的等离子体电荷。然后,这些等离子电荷将通过载流子复合逐渐消失。图6解释了这种效应。如果Vdc大于600V,vds达到98% Vdc的时间trr2大致与id为零的时间相一致。如果Vdc为300V,则情况将有所不同。当达到Vdc时,仍存在明显的电流流动。
图6:直流母线电压对新计算方法适用性的影响。注:已设置Rg,ext值,以便根据类似的di/dt值进行调整。
4.2
二极管电流和温度
双极电荷Qbip与温度[2][5]和电流密度存在明显的关系,这是由载流子寿命、迁移率以及其他参数的变化造成的。这种情况与Qoss不同。通常可以认为,Qoss不受温度和电流密度的影响,但是与电压存在高度非线性关系。
在典型工作电压、室温和低电流密度条件下,Qbip比Qoss小,可以忽略不计。如图4所示,低电流下慢速开关是实验中量化Qoss的一个合适条件。
随着电流增大和温度升高,Qbip对反向恢复电荷的贡献增加。在某个点上,Qbip的贡献超过Qoss,并且体二极管的动态特性改由漂移区消除的等离子体控制。
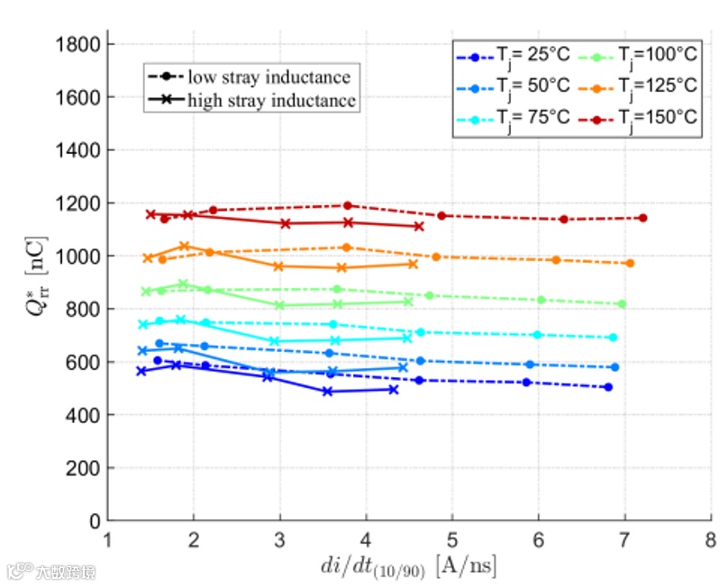
图7显示了开关过程中与温度的关系。除了反向恢复电荷和反向峰值电流的增加,我们会注意到,在温度更高和其他di/dt相同的条件下,振荡的阻尼变大。与Si二极管类似,双极等离子体对开关过程中触发的LC振荡发挥阻尼作用。
图7:SiC MOSFET体二极管关断过程中与温度的关系。该测量中,仅加热无源SiC MOSFET。
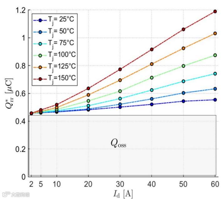
图8显示了在不同电流和温度条件下,运用公式(3)计算的Qbip和Qoss之间的关系。由于该试验中直流母线电压设置为800V,Qoss电荷为恒定值,并且不受开关条件的影响。
图8:当Vdc=800V时,在不同电流和温度条件下评价反向恢复电荷。
4.3
开关速度
漂移区等离子体中的自由载流子具有一定的复合寿命。如果通过增大Rg,ext将开关速度调得足够慢,那么漂移区内一定数量的电荷在被电场主动扫出之前,将通过复合而消失。
当运用公式(1)和(2)计算慢速和快速开关条件下的Qrr和Erec时,我们会发现它们与开关速度存在明显的关系。这种关系似乎表明,随着开关速度加快,Qrr和Erec显著增大。根据这一结果,我们实际上可以假设,漂移区内的复合寿命仅为几纳秒。然而,当Lσ较大且开关速度较快时,情况并非如此,而是由于LC振荡对运用公式(1)和(2)所计算的结果产生较大影响导致的直接结果。
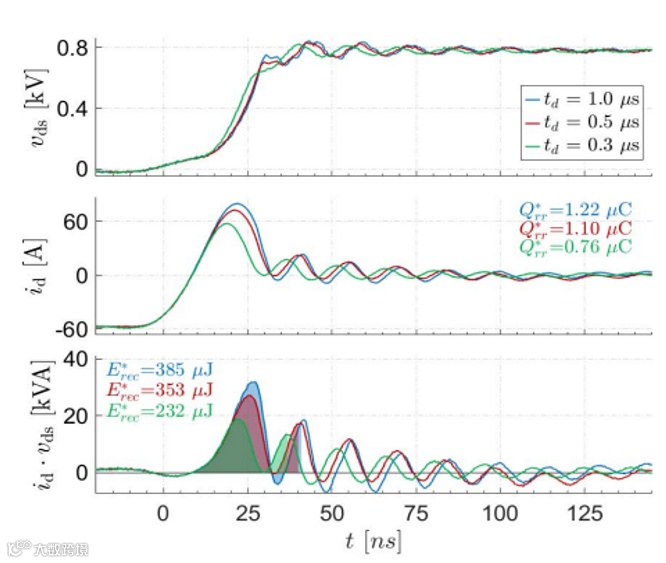
公式(3)和(4)更适合研究载流子复合的影响,因为这两个公式抑制了Lσ的影响。如图9所示,低杂散电感和高杂散电感配置中测得的反向恢复电荷随二极管电流转换速率(di/dt)的变化而变化。该转换速率由有源SiC MOSFET的开通速度控制,而开通速度通过改变Rg,ext控制。从图中可以看出,在相对较大的di/dt范围内,反向恢复电荷基本保持恒定。同时,假设测量精度存在某种程度的不确定性,高杂散电感和低杂散电感配置下测量的值大致相等。对于本实验中的特定器件,载流子复合效应在典型开关速度中并不起主要作用。值得注意的是,复合效应取决于技术和器件。对于芯片面积较大的模块,由于与分立器件相比,其开关速度相对较慢,复合效应可能产生重大影响。
图9:当Vdc=800V且Iload=60A时,不同温度下二极管电流转换速率对反向恢复电荷的影响。
4.4
关断栅极电压
反向恢复电荷取决于SiC MOSFET的关断栅极电压 Vgs,off[3]。典型关断电压范围为-5V到0V。当关断电压约为0V,PN结处的电流密度低于关断电压为-5V时的电流密度,这是因为总电流的一部分流经MOS通道。因此,在固定器件电流条件下,漂移区的等离子体浓度更低,需要被扫出的电荷更少。
图10强调了不同关断电压对关断特性的影响。从图中可以看出,当关断栅极电压为0V时,Qrr∗和Erec∗值降低。当Vgs,off=0V时,体二极管处的过电压和振荡也有所改善。
图10:当T=150°C时,不同栅极关断电压下的快速体二极管关断。图中仅无源器件在不同电压等级下偏置。
在0V关断栅极电压下运行SiC MOSFET还会带来其他裨益,比如简化栅极驱动器设计和降低栅极驱动器成本。然而,这也存在寄生元件开通的风险[6],这最终可能显著增加开关损耗。寄生元件开通是由体二极管关断实例中非常高的dv/dt转换速率触发。图5明确表明,高杂散电感导致这些电压转换速率高于实际值。这就是为什么在0V关断电压下快速开关需要具备下述特征的电路设计:产生较低换流回路杂散电感和具备低阻抗栅极驱动器接口。
4.5
死区时间
在SiC MOSFET的典型应用中,体二极管仅在两个开关实例之间极短的死区时间内传导电流。应用电路中的典型死区时间在150ns至1µs之间。死区时间对体二极管的关断特性产生影响[7]。当开始导通电流时,二极管逐渐积聚等离子体,直到载流子产生与复合之间达到平衡。二极管电压起初较高,但会随着等离子体浓度增加到稳态值而降低。
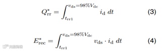
当死区时间设置为极短时间时,漂移区的等离子体在体二极管关断时可能还未完全建立起来。因此,必须从漂移区消除的电荷量比死区时间很长时要少。图11显示了死区时间较短的影响。从图中可以看出,与死区时间为1µs相比,死区时间为300ns时,反向恢复电荷显著减少。漂移区的等离子体浓度在死区时间为500ns至1µs时达到饱和。当 td≥1µs,可以看出反向恢复特性无差异。
图11:在T=150°C条件下,不同死区时间下的快速体二极管关断。
由于等离子体浓度降低,较短的死区时间可以显著减少恢复损耗、过电压和相关的振荡行为。然而,典型应用实际设定了死区时间可以缩短多少的限值。该实际限值受SiC MOSFET本身性能的影响较小。这是因为,如果外部电路设计得当,SiC MOSFET可以在非常快的开关速度下工作。典型限制针对栅极驱动器和控制器外围,可能包括栅极驱动IC或隔离级的传输延迟时间变化。
5. 反向恢复损耗
”
体二极管的关断造成损耗,这会导致半导体器件中产生焦耳热。Erec通常指反向恢复损耗。然而,只有当电容电荷Eoss比Ebip小且可以忽略不计(针对高电压等级硅基二极管)时,这一点才成立。Eoss相当于当SiC MOSFET阻断电压时存储在Coss中的电能。一旦体二极管再次开通,该能量恢复,并且不会以热量损耗的形式在体二极管中消散。然而,由于Coss并非理想的电容,且具有一定的损耗因数,因此不能假设恢复能效达到100%。这会涉及一小部分电容损耗,但在本研究中可以忽略不计。
仅Ebip完全成为体二极管的关断损耗的一部分。计算反向恢复损耗时,必须从Erec或Erec∗中减去Eoss:
除了造成自发热损耗,体二极管的反向恢复电荷还会造成换流“搭档”的损耗。换流“搭档”主动开通并接管负载电流。有源开关上的额外损耗程度如图12所示。图中,有源开关温度保持在T=25°C,仅加热无源器件。将Eon和Eoff与Erec,loss∗进行比较,可以看出Erec,loss∗比较小。图12还表明,反向恢复对有源器件开通损耗的影响远大于体二极管的关断损耗。
图12:当Vdc=800V时,反向恢复对快速开关的Eon和Eoff的影响。仅加热无源器件以突出该影响。
6. 小结与结论
”
整体式体二极管的动态特性在快速SiC MOSFET的开关过程中发挥着至关重要的作用。本文强调了SiC MOSFET体二极管相较于Si二极管的独有特性,并探讨了在快速开关电路中影响关断特性的多个因素。
由于换流回路杂散电感不可避免,快速开关实例触发了明显的振荡。电路中的杂散电感放大了快速开关实例的影响。运用针对Si二极管的常用Qrr和Erec计算公式得出的器件特性结果具有误导性,因此不适合快速开关SiC MOSFET。这些值中包括振荡产生的大量额外电荷,而这些值最终取决于外部电路,而非器件本身的特性。即使在本文中经优化的极低电感试验装置中,快速开关瞬态过程中所发生的振荡的影响也不能完全消除。
本文提出了一种替代计算方法。运用该方法的计算结果与实际特性更加一致,并且几乎能够抑制电路中杂散电感的影响。尽管这种方法有一定的局限性,但它可以用于计算典型工况下的反向恢复特性。
本文研究和探讨了开关速度、栅极关断电压、死区时间和温度等因素对反向恢复电荷和能量的影响。结果表明,当电流较小和温度处于中等水平时,双极电荷可以忽略不计。该试验中,体二极管在关断过程中显示出电容特性。当电流较大且温度较高时,双极特性在动态特性中起到重要作用。然而,双极效应的影响在很大程度上取决于器件的电压等级。除此之外,还可能存在其他器件特定效应,这需要单独进行研究和探讨。
题目
Q1
SiC MOSFET 体二极管在导通电流时:
A. 仅有电子参与导电
B. 仅有空穴参与导电
C. 电子和空穴都参与导电
Q2
与1200V硅基二极管相比,1200V SiC MOSFET的体二极管在传导过程中存储的双极电荷( )
A. 更多
B. 更少
Q3
SiC MOSFET 体二极管的反向恢复电荷随温度上升而( )
A . 上升
B . 下降
扫描下方二维码,
或点击文末“阅读原文”,
告诉我们你的答案!
时间截止到12月28日 24:00,
明天抽奖继续,不见不散~
获奖名单
昨天的正确答案是:
D、C、D
恭喜:
唐* 180****2029
张* 185****8925
李** 158****4234
王** 153****3551
刘** 150****2253
获得英飞凌定制雨伞,
稍后小编将寄出礼品~
没有得奖的小伙伴们也不要灰心,
关注微信阅读周,答题赢得奖品吧~
本周一共会发布四篇文章,每篇文章下面设置三个问题,每天全部答对的,将抽取五名幸运读者获得一份精美礼品:
英飞凌定制雨伞,松下小夜灯,
一共20份通通送给你!
并且!连续四天回答正确即有机会触发大奖!
大疆 Pocket 2 灵眸手持云台摄像机
参考文献
[1] P. Sochor, A. Huerner, and R. Elpelt, “Commutation loop design for optimized switching behavior of CoolSiC™ MOSFETs using compact models,” in PCIM Europe, 2020.
[2] K. Peng, S. Eskandari, and E. Santi, “Characterization and modeling of SiC MOSFET body diode,” in IEEE APEC, 2016, pp. 2127–2135.
[3] M. Pulvirenti, A. G. Sciacca, L. Salvo, M. Nania, G. Scelba, and G. Scarcella, “Body diode reverse recovery effects on SiC MOSFET half-bridge converters,” in IEEE ECCE, 2020, pp. 2871–2877.
[4] S. Linder, Power Semiconductors. EPFL Press, 2007.
[5] Z. Wang, J. Ouyang, J. Zhang, X. Wu, and K. Sheng, “Analysis on reverse recovery characteristic of SiC MOSFET intrinsic diode,” in IEEE ECCE, 2014, pp. 2832–2837.
[6] K. Sobe, T. Basler, and B. Klobucar, “Characterization of the parasitic turn-on behavior of discrete CoolSiC™ MOSFETs,” in PCIM Europe, 2019.
[7] R. Horff, A. Maerz, and M. Bakran, “Analysis of reverse-recovery behaviour of SiC MOSFET body-diode - regarding dead-time,” in PCIM Europe, 2015.
欢迎关注微信公众号
【英飞凌工业半导体】
点击文末“阅读原文”,快来参与答题吧~

