文章来源
作者: Peter 翻译: 赵佳
CoolSiC™ MOSFET集高性能、坚固性和易用性于一身。由于开关损耗低,它们的效率很高,因此可以实现高功率密度。但尽管如此,工程师需要了解器件的静态和动态性能以及关键影响参数,以实现他们的设计目标。在下面的文章中,我们将为您提供更多关于这方面的见解。
温度对CoolSiC™ MOSFET
导通特性的影响
MOSFET静态输出特性的关键参数是漏极-源极导通电阻RDS(on)。我们定义了CoolSiC™ MOSFET不同温度下的输出特性曲线,如图1左侧所述。阈值电压VGS(th)遵循器件的物理原理,随着温度的升高而下降,如图1右侧所示。
图1:45mΩ 1200V CoolSiC™ MOSFET在室温和175°C下的输出特性(左)以及Ron和VGS(th)对温度的依赖性(右)
图1右侧可见,CoolSiC™ MOSFET的导通电阻呈明显的正温度系数的,这是低沟道缺陷密度的结果,使得该器件非常适合并联使用。这是与DMOS(双扩散金属氧化物半导体)元件的另一个显著区别。DMOS通常显示出电阻对温度的依赖性较弱,因为它们沟道中的缺陷密度高。
DMOS这种电阻对温度依赖性弱的特性乍听起来很有吸引力。然而,随着向更低的导通电阻的发展,漂移区的正温度系数将越来越多地主导总的导通电阻。因此,SiC MOSFET将变得更像硅。即使如此,SiC MOSFET的实际温度系数也会低于相同阻断电压下的硅器件。这是由于其绝对掺杂密度较高的结果。此外,由于漂移区对总电阻的贡献越来越大,在较高的阻断电压下,导通电阻的温度依赖性将更加明显。图2定性显示了这种行为。
图2:MOSFETs的导通电阻的主要行为与温度的关系,以及与硅的比较。
同步整流改善体二极管的导通特性
与IGBT(绝缘栅双极型晶体管)相比,垂直MOSFET(如CoolSiC™器件)通过体二极管提供反向导通路径,这实际上是一个续流二极管。然而,由于SiC的宽带隙,该二极管的转折电压约为3V,相对较高。这意味着连续工作将导致高导通损耗。因此,工程师需要使用同步整流,使二极管只是在一个很短的死区时间内工作。在这段时间之后,通过像第一象限模式那样施加一个正的VGS,沟道再次被打开。
这种工作方案在第三象限模式中提供了非常低的导通损耗,因为没有转折电压,实现了与第一象限模式中相同的电阻,实际上,该电阻甚至略低。这是因为JFET(结型场效应晶体管)的影响减少了。图3显示了不同栅极电压下第三象限操作的I-V特性。请注意,由于p-n二极管的结构,也可以实现一定的脉冲电流处理能力,这可能比正向导通状态下,器件所允许的脉冲电流更高。
图3:45mΩ CoolSiC™ MOSFET的体二极管的I-V行为
电容决定了SiC-MOSFET的动态性能
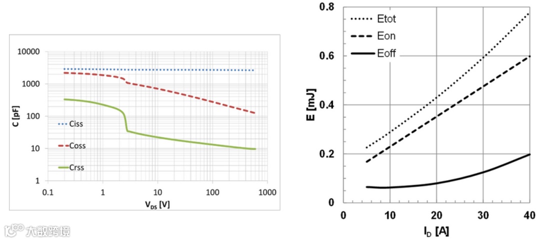
作为一个单极器件,SiC MOSFET的电容在很大程度上决定了其动态性能。与输入电容Ciss相比,SiC MOSFET的米勒电容Crss更小。这有利于抑制寄生导通,因此,在半桥电路中运行时,可以避免使用复杂的栅极驱动电路。即使使用0V的关断电压,许多CoolSiC™ MOSFET可以安全地关断。这是因为除了优化的电容比例(Crss/Ciss)之外,CoolSiC™ MOSFET的阈值电压也足够高。图4中的左图总结了元件电容与VDS的关系。
图4的右边显示了4脚TO-247封装中的单器件半桥的典型开关损耗与漏极电流的关系。关断能量Eoff只略微依赖负载电流,因为它是由电容主导的。相比之下,开通能量Eon随电流线性增加,并主导着总损耗Etot。根据2019年年中的状况,我们应该强调,CoolSiC™ MOSFET在市售的1200V SiC MOSFET中显示了最低的Eon。Eon和Eoff几乎与温度无关。需要注意的是,实际的封装设计对开关损耗有很大的影响,主要是对导通损耗。开尔文引脚(TO247 4pin)在电流方面将功率回路与控制回路分开,因此有助于防止di/dt对栅极电压的反馈,从而降低动态损耗。
图4:45mΩ CoolSiC™ MOSFET的典型器件电容与漏极-源极电压的关系(左),开关损耗与漏极电流的关系(右)(在VGS=15/-5V,RG_ext=4.5Ω,VDS=800V,
Tvj =175°条件下)
CoolSiC™ MOSFET的栅极电荷曲线通常与硅功率器件的典型形状不同。特别是,如图5左侧所示,没有明显的米勒平台。在ID=30A、VDS=800V和RG_ext=3.3kΩ、VGS(off)=-5V至VGS(on)=15 V时,总栅极电荷Qtot通常为75nC。
通常情况下,可能需要调整开关速度(dv/dt),以处理振荡等问题。MOSFET的一个优点是可以通过栅极电阻调整斜率,与合适的驱动电路相结合,它甚至能实现开启和关闭时不同的变化率。右边的图5显示了我们的45mΩ 1200V CoolSiC™ MOSFET的相应行为。
图5:45mΩ 1200V CoolSiC™ MOSFET的典型栅极电荷曲线(左)和通过RG,ext控制开关速度的能力(右)。
SiC MOSFET的短路特性
图6左边是两个45mΩ 1200V CoolSiC™ MOSFET的短路波形:一个是4脚的TO-247封装,另一个是3脚TO-247封装。图中显示了两者在VDS=800V的直流电压下的情况。器件的短路波形与IGBT有很大的不同。最初,漏极电流迅速增加并达到一个电流峰值。由于开尔文源设计中的反馈回路减少,4脚TO-247封装的MOSFET的电流上升得更快,在短路事件开始时,它也显示出较少的自热,峰值电流很高,超过300A。相反,3脚TO-247封装的器件显示出较小的峰值电流。造成这种情况的主要原因是di/dt作用于3脚元件的功率回路中的杂散电感,产生的瞬时电压对VGS产生负反馈,从而降低了开关速度。由于开尔文连接方案能够实现更快的开关,消除了这种影响。因此在退饱和效应发生之前,4引脚器件的电流也可以上升到更高的值。
在峰值电流之后,漏极电流下降到大约150A。这是因为载流子迁移率的降低和自热导致的温度上升而产生了更明显的JFET效应。测试波形干净稳定,这证明了两种封装的TO-247 CoolSiC™ MOSFET的典型3μs短路能力。对于功率模块,根据相关的目标应用要求,目前的短路能力最高为2μs。我们的CoolSiC™ MOSFET是第一个在数据表中保证短路耐受时间的器件。
为满足目标电源应用的要求,CoolSiC™ MOSFET技术在雪崩情况下显示出高度的鲁棒性。图6右边描述了一个1200V元件的典型雪崩行为。(新发布的650V器件CoolSiC™在数据表中标注了雪崩等级)
图6:在25°C下,典型的短路是持续时间的函数(左),以及1200V器件的雪崩行为,在60V下关闭3.85mH的无钳位电感负载(右)。
本文为英飞凌BLOG 文章,了解全球博客技术文章,请点击文末“阅读原文”。
参考阅读
具备出色稳定性的CoolSiC™ MOSFET M1H
英飞凌如何控制和保证基于 SiC 的功率半导体器件的可靠性
工程师化身主播走进实验室——回放&问答:碳化硅MOSFET特性及驱动设计探讨
欢迎关注微信公众号
【英飞凌工业半导体】
点击文末“阅读原文”,
了解英飞凌全球博客技术文章~

