功率晶闸管广泛应用于AC/DC变换器,UPS旁路等场合。本文通过公式计算和在线IPOSIM仿真两种方式,对晶闸管在UPS旁路应用中的损耗计算和结温预估进行说明,给广大工程师在晶闸管选型时提供帮助。晶闸管在AC/DC整流应用中的损耗计算,请参考微信文章《PIM模块中整流桥的损耗计算》。
晶闸管是半控型电力电子器件,可通过门极在晶闸管承受正向阳极电压时,控制晶闸管导通,当主回路电压(或电流)减小到接近于零时,晶闸管自行关断。晶闸管一般处于工频开关工作,所以在计算其损耗时,忽略开关损耗,只计算其导通损耗。
公式计算方法如下:
各参数定义如下:
PVT是单个晶闸管的损耗
VT0是阈值电压 (threshold voltage)
ITAV是单个晶闸管输出电流平均值
rT是斜率电阻 (slope resistance)
F是波形因数 (form factor),可由公式2获得
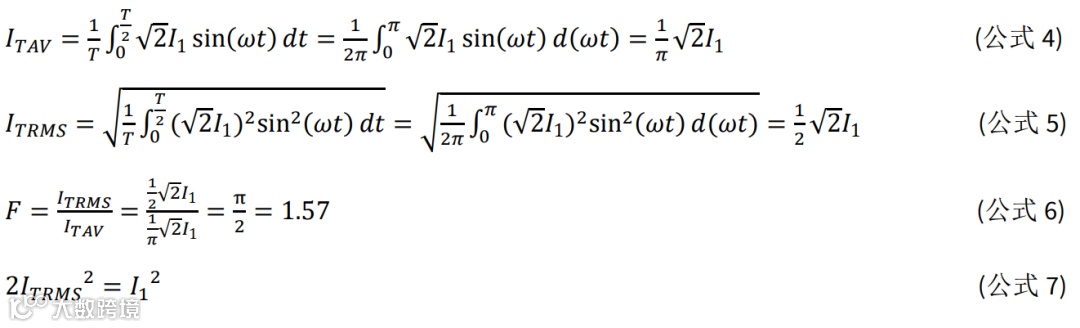
其中ITRMS是单个晶闸管输出电流均方根值,即有效值;对于UPS旁路应用中的正弦半波电流,此时 F取值1.571。(参考文后公式4~6)
上图电路中I1是该相交流电流有效值,ITAV是单个晶闸管的电流平均值,U1为相电压有效值。
以600kW UPS,输出电压400 VAC旁路举例,分别考虑下述过载规格,125%功率过载10分钟以及150%功率过载1分钟,并且以85%输出电压作为最恶劣条件。
125%功率过载时,对应的最大相电流有效值为:
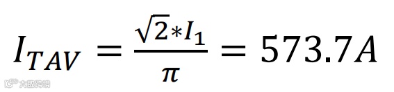
根据公式4计算该单个器件的电流平均值为:
选择TT820N16KOF和TT600N16KOF作为方案备选,它们的参数如下:
由于只计算单个晶闸管的损耗,RthJC取单个晶闸管的结壳热阻(per arm,θ=180° sin)。将上述参数代入公式1,并假定器件的壳温Tcase=85°C,根据公式3即可计算出器件结温。
对比这两个方案的计算结温,TT820N16KOF的结温裕量有19,TT600N16KOF只有2.5。
150%功率过载时,对应的最大相电流有效值为:
根据公式4计算该单个器件的电流平均值为:
同上述125%功率过载计算方法一样,并且由于规格书中的瞬态热阻在60S时已经稳定,我们可以使用上述表格中的最大RthJC值来计算结温。
对比这两个方案的计算结温,TT820N16KOF的结温裕量仍然有10℃,TT600N16KOF已经超过最大结温上限了。显然,TT820N16KOF是最适合600kW UPS的旁路方案。此类压接型的晶闸管外观呈现黑色,有着更高的结温规格以及更强的抗冲击电流能力,适合UPS旁路应用。
我们再使用IPOSIM来进行仿真,然后同公式计算结果进行对比。
扫描下方二维码或点击文末“阅读原文”,登陆英飞凌官网上的IPOSIM页面,选择AC/AC Applications。
在器件选型中,选取TT820N16KOF和TT600N16KOF。
在Circuit & Control中输入上文计算的I1,这里I1=Iout。
在Cooling Condition中设置固定壳温(Fixed Case Temperature),最后运行仿真(Run Simulation)。
仿真结果如下。其中Parm即是上文计算的PVT,TT系列晶闸管内部是2颗芯片反向并联,Ptot=Parm*2。结果也显示最大结温Tvj max和单个晶闸管电流均方根值ITRMS。
125%过载结果
150%过载结果
对比公式计算和IPOSIM仿真结果,基本一致。
当然,IPOSIM的功能更强大,在Cooling Condition中还可以设置散热片参数,得到更准确的结温仿真结果。同时,使用IPOSIM也更简单,只需要填入电流有效值即可,并能同时仿真多个方案进行对比。
以上,是晶闸管在UPS旁路应用中的损耗评估方法,请各位参考,谢谢。
参考阅读
PIM模块中整流桥的损耗计算
大功率二极管晶闸管知识连载——损耗
大功率二极管晶闸管知识连载——热特性
附
正弦半波电流的平均值和均方根有效值的计算。
正弦半波电流的有效值
扫描上方二维码
欢迎关注微信公众号
【英飞凌工业半导体】
点击“阅读原文”,即可登陆英飞凌官网上的IPOSIM页面!

