2023 PCIM Asia
英飞凌将重磅亮相2023 PCIM Asia
设立“绿色能源与工业”
“电动交通和电动出行”
“智能家居”
三大核心展示区域
8月29日-31日,我们现场不见不散!
点击上方图片,了解更多
本次展会上,英飞凌将展出丰富的SiC系列产品,包括CoolSiC™ MOSFET以及相应的驱动评估板
CoolSiC™ MOSFET
▪ CoolSiC™ MOSFET Easy2B 三电平模块
▪ CoolSiC™ MOSFET Easy1B F4模块
▪ 1200V 增强型 CoolSiC™ MOSFET EasyDUAL™半桥功率模块
▪ 增强型沟槽栅技术的CoolSiC™ M1H 1200V 7mohm TO-247 3Pin
▪ 增强型沟槽栅技术的CoolSiC™ M1H 1200V 7mohm TO-247 4Pin
▪ 增强型沟槽栅技术的CoolSiC™ M1H 1200V 30mohm D2PAK-7L
▪ 沟槽栅技术的CoolSiC™ M1 1700V 450mohm D2PAK-7L
驱动评估板
▪ 6.5A,2300V单通道隔离式栅极驱动器评估板(配SiC MOSFET)
▪ 带短路保护的增强型EiceDRIVER™ F3评估板
▪ 采用CoolSiC™ MOSFET三相桥模块的5kW 电机驱动板
▪ 带主动米勒钳位的1200V半桥SOI栅极驱动器 IC和1200V EasyPIM™ IGBT模块的评估板
/ 引言 /
“
SiC MOSFET的导通电阻
SiC MOSFET总导通电阻RDS(on)是由一系列电阻总和决定的,即沟道电阻(Rch)、结型场效应晶体管电阻(RJFET)、漂移区的外延层电阻(Repi)和高掺杂SiC衬底的电阻(RSub)。
其中,沟道电阻Rch可以由下式描述。式中,L是沟道长度,W是沟道宽度,μn是电子迁移率,Cox是栅极氧化层电容,VGS(on)是导通状态栅极电压,VGS(th)是器件的阈值电压。
从此式可以看出,VGS(th)的增加会导致沟道电阻提高,从而造成RDS(on)升高,久而久之导通损耗也会因此上升。
“
阈值电压漂移现象
阈值电压漂移是一直困扰SiC MOSFET设计的问题。SiC MOSFET的栅极氧化层和SiC-SiO2的界面缺陷,要远大于相应的Si器件。这些缺陷在应用中可能成为捕获电子的陷阱,电子在栅极氧化层中日积月累会造成阈值电压的升高。英飞凌新推出的增强型CoolSiC™ M1H产品系列通过改善栅氧化层的设计尽可能规避了阈值电压漂移带来的风险。
静态电压DC栅极应力,和动态电压AC栅极应力,都会引起不同程度的阈值电压漂移现象。静态电压引起的VGS(th)漂移现象通常通过高温栅极偏置应力测试(DC-HTGS)来评估,该测试遵循JEDEC等相关测试准则。
近期的研究结果表明,与静态栅极应力相比,包括V_(GS(off))<0V在内的正负电源驱动,交流AC栅极应力引起的阈值电压漂移更高,这一发现为SiC MOSFET器件的可靠性带来了新视角。
图2显示了交流(AC)和直流(DC)应力对阈值电压的不同影响。VGS(th) (ΔVth)的数据变化是使用数据表中的最大条件得出的。
图中可以看到两个不同的斜率,第一个对应的是典型的类似直流DC的漂移行为(“直流拟合”);第二个更大的斜率对应的是正负电源的交流AC应力效应(“交流拟合”),也称栅极开关不稳定性(GSI)。
图2:连续栅极开关应力期间的漂移:
VGS,(on)=20V;VGS(off)=−10V;
Tvj,max=150°C and f=500kHz.
我们的结论是:开关周次超过10⁸的条件下,交流漂移是造成阈值变化的主要原因;开关周次数较少时,直流漂移是造成阈值变化的主要原因。
数据显示,栅极开关应力会导致VGS(th)随时间缓慢增加。由于阈值电压VGS(th)增加,可以观察到沟道电阻(Rch)的增加。
“
栅极开关应力测试(GSS)
为了确保CoolSiC™ MOSFET在典型开关工作期间电气参数的长期稳定性,我们开发并采用了一种新的应力测试:栅极开关应力测试(GSS)。该测试在正负驱动电压模式下进行(正V(GS,on):导通;负VGS(OFF):关断)。该测试可以让开发人员直接确定电气参数的漂移情况,因此,是鉴定SiC MOSFET性能的必要条件。
GSS测试涵盖了所有重要的漂移现象。除了缺少负载电流(本身不会改变我们所观察到的漂移行为),其他条件与典型应用相似,如相似的栅极开关电压斜率特性(参见图2)。为了涵盖在实际SiC MOSFET应用中非常常见的栅极信号过冲和下冲的潜在影响,我们使用数据表所允许的最大栅极电压(-10V~+20V)和最大静态结温(Tvj,op=175℃)施加应力,来观察最坏情况下的结果。
图3:频率f=500kHz时,
典型的GSS栅源应力信号。
在最坏情况下进行测试,可以让客户确信自己在整个规格书范围内使用该器件,也不会超过漂移极限。因此,这种方法保证了器件的出色可靠性,同时也便于安全裕度的计算。
“
最坏情况的寿命终止漂移评估
及其对应用的影响
在开发逆变器的过程中,一大任务就是预测设备的使用寿命。因此,必须提供可靠的模型和信息。在各种工作条件下,进行了大量的测试后,我们就能开发出一个预测性的半经验性模型,该模型描述了阈值电压随任务曲线参数的变化,例如:应力时间(tS)、栅极偏置低电平(VGS(off))、栅极偏置高电平(VGS(on)),开关频率(fsw)和工作温度
(T)(ΔVGS(th) (tS,VGS(off),VGS(on),fsw,T))。
基于该模型,我们建立了一种评估阈值电压漂移的方法,使用最坏情况寿命终止曲线(EoAP)来计算相对R(DS(on))漂移。在应用中,以任意频率运行一定时间,我们可以计算出至EoAP之前的开关周期总数(NCycle)。然后,使用NCycle读出相对RDS(on)漂移。
周期数取决于开关频率和工作时间。典型的硬开关工业应用(例如,太阳能组串逆变器)使用16-50 kHz的开关频率。使用谐振拓扑的逆变器的开关速度通常超过100kHz。这些应用的目标寿命通常在10-20年,而实际工作时间通常在50%-100%。
下面基于逆变器典型的应用工况,提供了一个样品寿命评估案例:
目标寿命[年]:20
实际工作时间[%]:50%=>10
实际工作时间[s]:315,360,000s(10年)
开关频率[kHz]:48
周期持续时间[s]:1/开关频率=0.0000208
寿命终止时的周次数=~1.52E+13
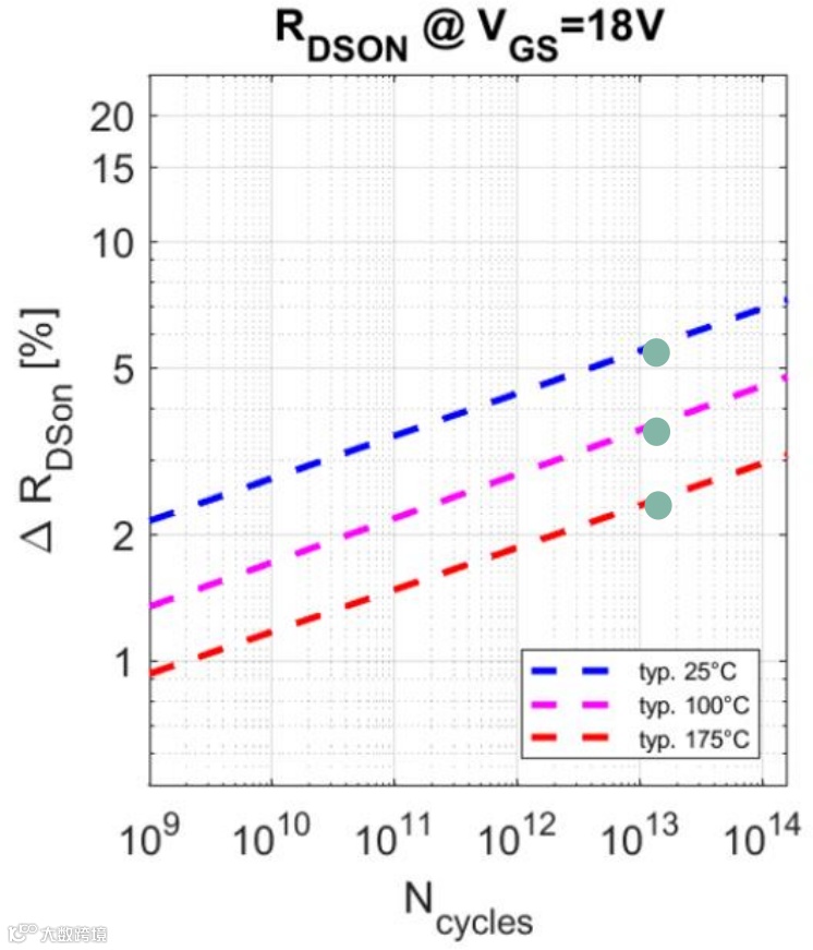
当到达预期目标寿命时,导通电压为18V时,预计25°C时的RDS(on)的相对变化小于6%,175°C时小于3%,见图4(图4中的绿点)。
图4:VGS(on)=18V、Tvj,op=25°C、125°C和175°C 时的相对RDS(on)变化
图5示例基于最近推出的EasyPACK™ FS55MR12W1M1H_B11(DC-AC逆变器中的三相逆变桥配置),说明了RDS(on)预测变化的影响。在这个例子中,导损耗(Pcon)占比很大比例。最坏情况EoAP下,Tvj,op从最初的148°C上升到150°C,仅上升了2度。结果证明,哪怕是使用了20年后,RDS(on)的轻微变化导致的Tvj,op增加也可以忽略不计。
图5.最坏情况EoL评估:Vdc:800V,
Irms:18A,fout:50Hz,
fsw:50kHz,cos(φ):1,Th=80°C。
图中文字:
Power loss:功率损耗
Initial point:初始点
Worst-case EoAP:最坏情况EoAP
这个例子意味着,借助全新的M1H芯片,只要将在栅极信号的寄生过冲和下冲控制在数据表的规格范围中,驱动电压的取值便不会影响阈值漂移。M1H拓展了驱动负压的取值范围,之前M1的CoolSiC™芯片需要根据开关频率及预期寿命计算负压取值,则M1H负压取值是-10V~0V的矩形窗口。客户无需考虑驱动负压取值对阈值漂移的影响,只需要考虑驱动电压是否能电性能的需求,从而可以节省大量时间和精力。
请注意:在控制良好的应用中的栅极偏置电平,会远低于数据表的最大限制,例如,+18V/-3V,在相同的开关周期数下,RDS(on)的变化幅度更小。
“
结论
我们通过在各种开关条件下进行长期的测试,研究了在实际应用条件下的阈值电压特性。我们开发并采用了一种应力测试程序,来确定在现实的应用开关条件下,最坏情况EoAP参数漂移,为客户提供可靠的预测模型。
英飞凌最近推出的1200V CoolSiC™ MOSFET,即M1H,显示出了出色的稳定性,并降低了阈值漂移现象对寿命和损耗的影响,拓展了栅极电平取值范围,为设计工作提供了极大便利。
参考阅读
SiC MOSFET的设计挑战——如何平衡性能和可靠性
是时候从Si切换到SiC了吗?
SiC MOSFET真的有必要使用沟槽栅吗
扫描上方二维码
欢迎关注微信公众号
【英飞凌工业半导体】

