
高考倒计时2个多月,各地区高三一模考试正陆续开展。这场考试不仅是对过往学习成果的一次全面检验,更是为后续高考冲刺提供宝贵经验与数据支撑的关键节点,同时这场考试的成绩对几个月后的高考也有着重大的意义和参考价值。

随时了解更多高考、高校信息
从单科成绩分析,学生可以了解自己在各个学科上的优势与劣势。以数学学科为例,如果在函数、导数等关键知识点上失分较多,那就意味着在后续复习中需要对这些板块进行重点攻坚。同时,通过对比不同题型的得分情况,如选择题、填空题、解答题的得分率,能进一步发现自己在答题技巧、知识运用熟练度等方面的问题。

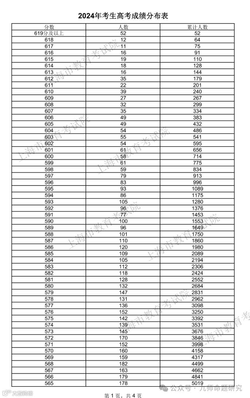
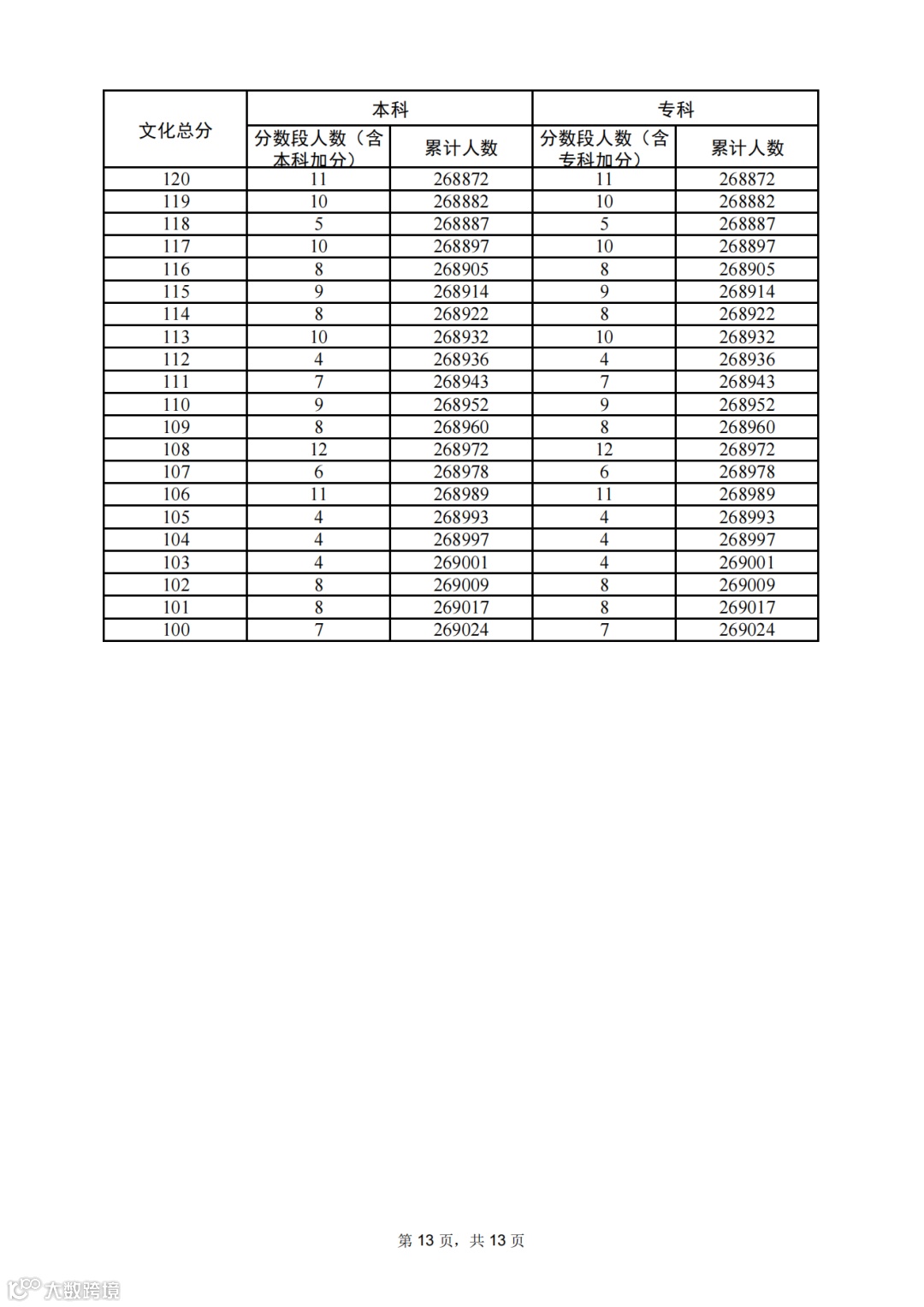
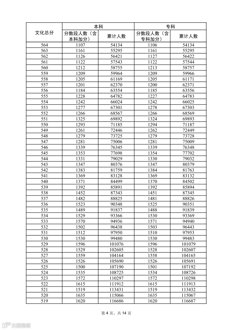
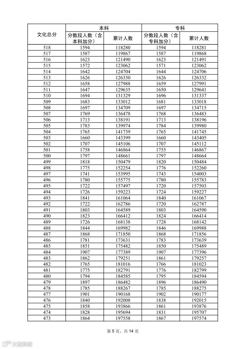
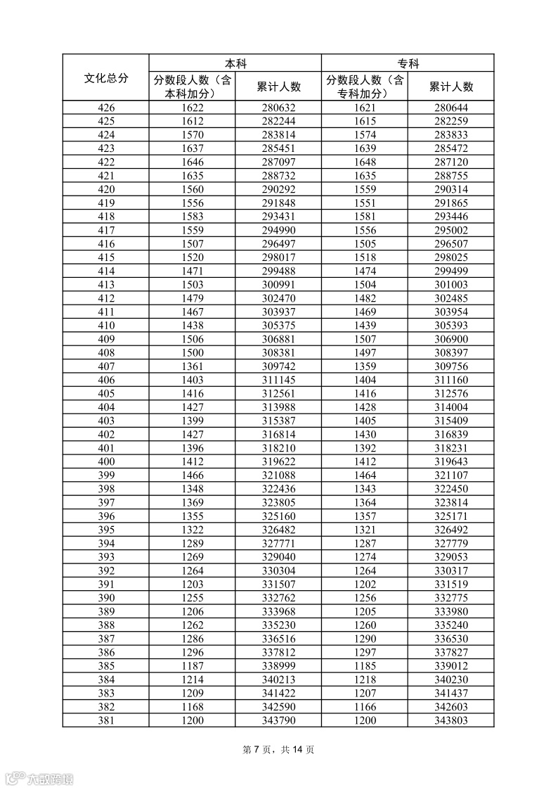
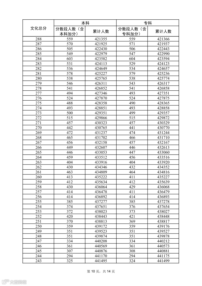
全国各省2024年高考一分一段表
2024年广东高考一分一段表
首选历史
首选物理
黑龙江省2024年高考一分一段表
物理类
历史类
物理类
历史类
“三校生”一分一段表
2024年一分一段表-物理组合



2024年一分一段表-历史组合



2024山东高考一分一段表
海南省2024年一分一段表
2024甘肃高考一分一段表
2024年广西高考一分一档表(物理类)
2024年广西高考一分一档表(历史类)
福建省2024年高考一分一段表
物理科目组
历史科目组
2024安徽高考一分一段表
历史组
物理组
2024年普通高考一分一段表
【普通类-首选物理】
【普通类-首选历史】
理科
文科
2024年一分一段表
河南省2024年一分一段表(文科)
河南省2024年一分一段表(理科)
2024吉林省高考成绩一分段表
物理类
历史类
山西省2024高考一分一段表
理工类
文史类
河北省2024年一分一段表
辽宁省2024高考一分一段表
历史类
物理类
湖南省2024年一分一段表
物理类
历史类
江苏省2024高考一分一段表
普通类-历史


普通类-物理


青海省2024年一分一段表
理科
文科
天津市2024年一分一段表


四川2024年普通高考理科成绩分段统计表
四川2024年普通高考文科成绩分段统计表
云南省2024年最低控制分数线

2024年内蒙古各分数段人数统计表-文科
2024年内蒙古各分数段人数统计表-理科
2024年宁夏普通高考总分一分段统计表
(文史类)

2024年宁夏普通高考总分一分段统计表
(理工类)

重庆市2024年一分一段表
物理类
历史类

















































































































































































































































