无线电力传输(WPT)使电能传输无需物理连接器或电线即可实现。该技术在多个领域具有巨大潜力,尤其是在医疗保健领域,可用于为植入式医疗设备供能,如起搏器、神经刺激器和药物递送系统。通过消除有线连接的需求,WPT可以提升医疗设备的舒适性和使用寿命,降低感染风险,并为患者提供更多灵活性。
然而,随着无线电源的引入,确保安全变得至关重要。一个关键因素是比吸收率(SAR),它衡量人体吸收的电磁能量量。对于植入式医疗设备,评估SAR非常重要,以确保无线功率传输不超过安全限度,避免对组织或器官造成伤害。
模拟无线电力传输和搜救对于优化植入式医疗设备性能并确保患者安全至关重要。Ansys HFSS 通过其先进的电磁仿真能力应对这些挑战,使工程师能够对植入设备进行详细建模和分析。通过准确模拟功率传输效率和SAR水平,HFSS提供了关键洞见,支持设计更安全、更高效、更可靠的医疗设备。
在本博客中,我们将探讨Ansys HFSS如何用于模拟植入式医疗设备的无线电力传输和搜救(SAR)。
协同模拟工作流程:
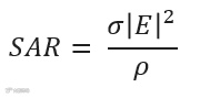
SAR量化单位组织质量吸收电磁能量的速率。它以瓦特每公斤(W/kg)表示,公式为:
哪里:
- σ = 组织的电导率(S/m)
- |E| = 电场强度(V/m)
- ρ = 组织质量密度(kg/m³)

