做耳放/播放/耳机十二年,被问的最多的问题,恐怕就是:我有一只XXX耳机,你的那款产品可以推的动/推的好?
一般来说,耳机和耳放的搭配,需要考虑的是音色和功率。音色搭配比较复杂,有的用户有一个“冷声”的耳机,他需要一个“暖声”的耳放来中和一下。由于音色不是一个可以量化和从参数上描述的声音特色,每个人对“冷声”“暖声”的定义和认识都不同。因此,今天我们主要从功率搭配上来解释如何搭配耳机和耳塞。

首先,我们需要定义清楚,仅就声音还原来说,不同的用户,根据使用环境,个人的听力曲线和欣赏音乐类型的不同,对声音大小的需求是不同。所以,我们需要将耳机发出的声音做一个简单的定义如下:
我们将普通应用环境下,欣赏普通流行音乐耳机所需要发出的声压大小定义为普通级别。考虑到CD唱片的理论动态范围是96dB。假设人耳能听到的1K赫兹的最小声压是0dB。那么95dB的最大声压,动态范围也是95dB。所以。我们可以定义95dB的最大声压,是欣赏一般音乐的最基本的要求。
当然,由于环境噪声的存在,所以95dB的最大声压,是远远小于CD所能达到的理论音质,例如一般家庭,即使隔音良好的情况下,室内的背景噪声都有35dB左右。考虑到耳机自身的隔音就算20dB, 那也有15dB, 那么最大声压95dB情况下,动态就只有80dB。远远达不到CD格式的理论动态范围。
事实上,95dB的声压,还远远不能满足欣赏高品质音乐的需求,一般来说,交响乐的现场演奏,摇滚音乐会等大动态音乐,通常最大声压可以达到105dB。所以,我们将105dB的声压,定义为良好级别。
使用耳机欣赏音乐,隔音良好的情况下,此声压可以达到105dB-15dB=90, 也就是说,如果播放CD格式的歌曲音乐,这时候的音压才能满足要求。
105dB的声压是否就足够了呢?实际上,自然界的声音远远超过了105dB,比如打雷,飞机在附近飞过等时候, 声音的最大值就超过了120dB。同样的,SACD格式的音乐录音,也同样可以达到120dB. 所以,我们将120dB定义为优秀级别。
有了一个量化的声压级别,我们就可以根据理论计算公式来计算,推动一个具体的耳机需要多大的功率。
☟ 推导过程和公式如下 ☟
1,首先,一般厂家都会给出耳机的灵敏度参数,一般是1mW功率下的灵敏度。
2,根据所需要达到的升压大小,计算出对应的功率要求P。假设需要达到的最大声压为B, 耳机的额定灵敏度为A,则计算公式为P=10^((B-A)/10)
3,根据功率要求,计算出需要的最大电压和电流。
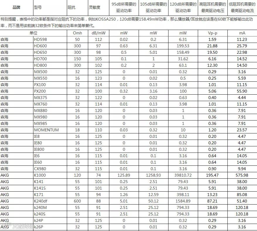
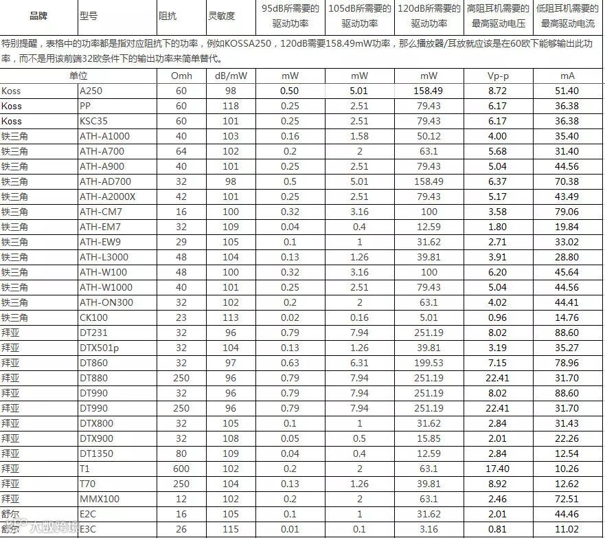
之所以还要计算出需要的最大电压和电流,是因为功率P=I(电流)*U(电压)。 对于某个耳放的输出功率来说,达到同样的功率,可能是输出电压高,也可能是输出电流大。例如同样是拜亚的DT990,32欧阻抗版本和250欧阻抗版本,要达到120dB的声压,由于灵敏度是一样的,所以需要的功率都是251.19毫瓦,但是,低阻版本的DT990, 需要的最大电流是88.60毫安,远大于250欧阻抗的31.70毫安。 反过来,250欧姆负载阻抗的DT990,需要的驱动电压的摆幅峰值是22.41V,也同样远远高于32欧阻抗版本的8.02V。
所以,我们不能仅仅考虑功率值,对低阻抗的耳机来说,需要的是大电流,小电压。对高阻抗耳机来说,需要的是高电压,低电流。因此,我们还需要推导出对应的输出电压和输出电流。并以此挑选合适的耳放。

最后要说明的是,耳机的阻抗,灵敏度都不是固定值,而是一个随着输入耳机信号的频率变化而变化的曲线,通常来说,耳机的最大阻抗要比额定阻抗高,有的甚至高3倍,最低灵敏度也比额定灵敏度低很多。所以,以此计算出来的数值,只是一个参考值,但是,按照120dB声压对应的需求功率和大动态电压峰峰值,和大动态电流需求来选择耳放,基本上可以达到一个很好的音质效果。如果再考虑到功率储备,也可以参照120dB的功率再放大2,3倍来选择。
目前,我们所有的耳放,以及带解码器的耳放的最大额定输出功率,输出的大动态电压峰峰值,和大动态电流都可以在我们的官方网站(http://www.fiio.com)上查询到。消费者可以根据自己的耳机来选购适合自己的耳放。
说明一下,音响是科技+人文的产物。所以,很难绝对用参数,技术来解释所有的声学问题。
上面的计算方法适用于大部分,但是并不能说按此表算出来的参数,比如某个耳机需要20mW的功率,然后我们的播放器X1有60毫瓦,就一定能推好。
因为既有一些,比如K701,由于振膜的原因,大家都觉得比较难推,或者说推的不够好听。但是,好听不好听是无法用科学的公式,参数来绝对量化的。但是并不是说这个推算就完全没有意义,因为我们所说的是响度问题,就是说,多大的功率才能让某个耳机发出足够大的不失真的声音。
同样的,耳机大家谈另一位技术派的CXZ老师也是用同样方法来计算的,只不过我们的条件比他还苛刻而已。
顺便介绍一下计算方法给大家。
耳机输出声压=耳机额定灵敏度+10LOG(驱动功率),其中额定灵敏度单位是dB/mW, 驱动功率也是mW.
例如。某耳机的灵敏度是100dB/mW, 那么如果输出功率为10mW的时候,输出声压A的计算公式为
A=100+10Log(10)=100+10 * 1=110 (dB)。
反过来,如果已知灵敏度C和输出声压A,所需要的驱动功率B的计算公式就是
B=10^((A-C)/10)。
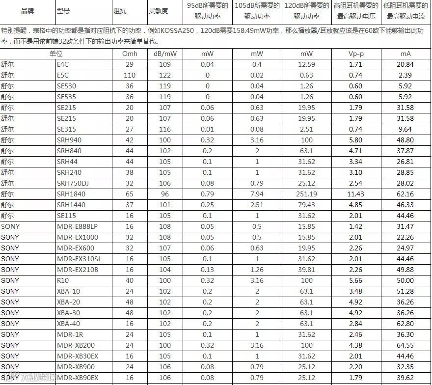
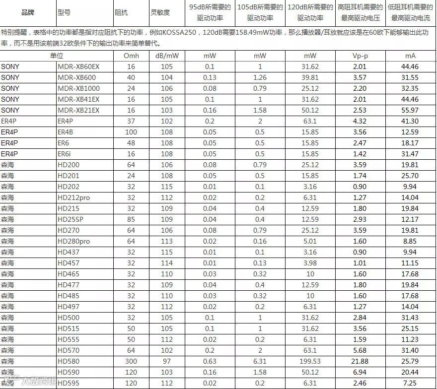
下面是以前整理的一些数据,供大家参考一下。






文章来自@飞傲James,原文请:点击


