▵
点击上方蓝字,关注“绿纽科技”
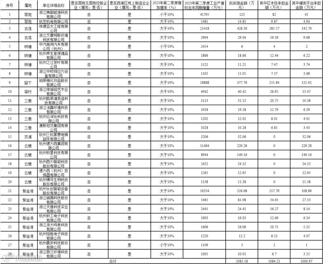
根据《西湖区2023年第二季度工信经济奖励政策》(西发改经信〔2023〕18号)文件要求,经审核,拟下达西湖区2023年第二季度制造业财政奖励资金,涉及企业共计28家,合计金额2085.18万元。(详见附表)。
现将政策拟兑现资金情况进行公示,公示期五个工作日,至2023年12月11日止。如有意见可向区发改经信局工业科反映,联系电话:89510550;或向区财政局企业科反映,联系电话:89511281。
附表:西湖区2023年第二季度制造业拟财政奖励名单
区发改经信局
2023年12月4日
附表:西湖区2023年第二季度制造业拟财政奖励名单
项目申报或政策文件详情请咨询:
陈先生 13588003655
昌女士 18058157735
或微信最下方留言咨询
左右滑动查看更多
▲将我们设为「星标★」才能第一时间收到推送哦

