搜索
首页
大数快讯
大数活动
服务超市
文章专题
出海平台
流量密码
出海蓝图
产业赛道
物流仓储
跨境支付
选品策略
实操手册
报告
跨企查
百科
导航
知识体系
工具箱
更多
找货源
跨境招聘
DeepSeek
首页
>
干货 | 海龟交易策略,教你做聪明的投资者!
>
0
0
干货 | 海龟交易策略,教你做聪明的投资者!
Kavout
2016-11-11
1
导读:有13只“海龟”,花两周时间学习交易理念后,获得了年均80%的收益……
在金融界,流传着这样一个著名的故事。1993年,美国期货界的两个挚友—理查德丹尼斯与威廉埃克哈特之间就一个问题产生了分歧:伟大的交易者究竟是天生的还是可以后天培养的?他们就这个问题进行了一场赌搏,并为寻找答案进行了一场试验,这就是著名的“海龟交易实验”。
丹尼斯和埃克哈特在1000个报名者中甄选了13个“海龟”,并用两周时间给他们传授了交易理念和法则。
在随后的4年中,海龟们凭借这些交易法则取得年均80%的收益。
这场海龟实验的参与者之一,也是海龟中最成功的一个透露了整个试验过程,并公开了在外人眼中充满传奇色彩的“海龟交易法则”,也就是海龟交易法。
一、什么是海龟交易法
海龟交易策略是一套非常完整的趋势跟随型的自动化交易策略。
这个复杂的策略在入场条件、仓位控制、资金管理、止损止盈等各个环节,都进行了详细的设计,这基本上可以作为复杂交易策略设计和开发的模板。
二、海龟交易法是如何扑捉趋势信号
在趋势信号的扑捉上,
海龟交易法则使用了一个非常重要的技术指标—唐奇安通道
(Donchian channel)。这个通道很类似我们熟悉的布林通道(Bollinger Bands),只是在具体计算方式上有些不一样。
唐奇安通道指标是Richard Donchian发明的,由3条不同颜色的曲线组成,该指标用周期(一般都是20,有的平台系统设置时可以改变的,有的则设置的不可以)内的最高价和最低价来显示市场价格的波动性,当其通道窄时表示市场波动较小,反之通道宽则表示市场波动比较大。
如图所示:
当价格冲破该通道的上轨道时,就是可能的买信号;反之,冲破下轨时就是可能的卖信号。
唐奇安通道的各项指标的计算方法为:
上轨=Max(最高低,n), n日最高价的最大值
下轨=Min(最低价,n), n日最低价的最小值
中轨=(上轨+下轨)/2
在金融领域的多因子分析框架内,这个策略对突破后的价格走势预测就是基于动量因子(momentum)的有效性假设。当然,这个因子的有效性也确实被严格地验证过,并作为Fama-French三因素模型的补充,被广泛地应用于金融市场。
当然,我们可以进行优化,使用更合理的趋势突破型指标。
三、交易原理
那么,既然动量因子是已经公开并普遍使用的因子,那么海龟交易法则是凭什么能够脱颖而出呢?答案很简单,海龟交易法则定义了一整套非常严谨的仓位控制、止盈止损的规则。在文章开头我们看到比特币市场的大涨大跌,而海龟交易法则正是应付这种极端行情的利器。下面我们来一一剖析。
1.仓位的基本单位N
海龟法则的加仓原则是定义好一个小单位(Unit),使得该仓位的预期价值波动与总净资产的1%对应。也就是说,如果买入了这1个小单位的资产,那当天该仓位的市值变动幅度不会超过总净资产的1%。
那么,如何定义这个小单位?又如何预估这个小单位能带来的价值波动呢?首先,在预估这个小单位带来的价值波动(该价值波动被称为N)上,海龟策略使用了对历史的价格波动进行统计的方法。
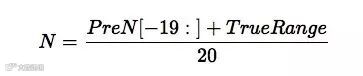
具体计算公式如下:
接下来,N值计算公式为:
其中 preN为前面N值,TrueRange为当前的真实波幅,此公式的真是含义为计算之前20天(包括今天在内)的N的平均值
另外,有些海龟交易系统用的是ATR来代替N值,ATR为真实波幅的20日平均。
2. 买卖单位及建仓
先给出公式:
首次建仓的时候,当捕捉到趋势,即价格突破唐奇安上轨时,买入1个unit。
其意义就是,让一个N值的波动与你总资金1%的波动对应,如果买入1unit单位的资产,当天震幅使得总资产的变化不超过1%。例如:
现在你有10万元资金,1%波动就是1000元。假如标X的N值为0.2元,1000元÷0.2元=5000股。也就是说,你的第一笔仓位应该是在其突破上轨(假设为5元)时立刻买入5000股,耗资25000元。
3. 加仓
若股价在上一次买入(或加仓)的基础上上涨了0.5N,则加仓一个Unit。
接上面的例子:假如N值仍为0.2。
价格来到 5 + 0.2*0.5 = 5.1时,加仓1个Unit,买入5000股,耗资25500元,剩余资金 49500元
价格来到 5.1 + 0.2*0.5 = 5.2 时再加仓1个unit。买入5000股,耗资26000元,剩余资金 23500元
4. 动态止损
当价格比最后一次买入价格下跌2N时,则卖出全部头寸止损。
接上面的例子,最后一次加仓价格为5.2。假如此时N值0.2元。 当价格下跌到 5.2 - 2*0.2 = 4.8元时,清仓。
持仓成本为 (5+5.1+5.2)*5000/15000 = 5.1元。 此时亏损 (5.1-4.8)*15000 = 4500元 对于10万来说 这波亏损4.5%
5. 止盈
当股价跌破10日唐奇安通道下沿,清空头寸结束本次交易
四、后话
本文主要介绍了海龟交易的细节,不过是面向一个投资目标的。当想投多只股票时,可以先设定几个仓位,平分资金,然后对每个仓位采用海龟交易策略。
海龟交易系统通常会用两个趋势捕捉系统,不同之处在于价格突破的上下线计算。系统1:突破上线20日最高买,突破下线10日最低卖;系统2:突破上线55日最高买,突破下线20日最低卖。 这部分可以通过修改参数实现。
原始的海龟交易采用唐奇安通道来捕捉趋势,虽然能捕捉到大趋势,但是在震荡的情况下表现不如人意,不过这也是所有趋势型策略的通病。
海龟交易策略的核心在于资金管理,可以看出策略的回撤比较小,并且还有优化的空间。资金管理不一定要与趋势型策略结合,是不是可以用到多因子策略上?动量反转?均值回归?这些就留给读者们自行尝试了~
本文来源于网络,版权归原作者所有。
华尔街股票网
钱途无极限 直通华尔街
【声明】内容源于网络
0
0
Kavout
Kavout致力于用最新的人工智能算法、AI 量化模型和金融大数据技术,解决投资决策中选股、择时和资产配置的问题,为券商、银行、财富管理等金融机构和高净值人群提供新一代以人工智能为核心的资产管理产品和投研技术服务。
内容
65
粉丝
0
关注
在线咨询
Kavout
Kavout致力于用最新的人工智能算法、AI 量化模型和金融大数据技术,解决投资决策中选股、择时和资产配置的问题,为券商、银行、财富管理等金融机构和高净值人群提供新一代以人工智能为核心的资产管理产品和投研技术服务。
总阅读
70
粉丝
0
内容
65
在线咨询
关注