
爱思益普生物化学部(ICE Biochemistry, IBC)成立于2019年2月18日, 经过近五年的发展,已经成长为涵盖蛋白定制与产品,生物物理分析,酶学体系构建与筛选,生化机制研究,质谱分析,高通量与谱学筛选的六位一体的生物化学平台;团队经验丰富,leader 团队超过25人,平均行业从业经验超过6年,拥有1100+的ready to use的酶学靶点平台,300+的靶标蛋白产品,以及50+经SPR 验证的靶标平台等,助力国内外合作伙伴的新药研发。

表观遗传学中指出,不仅DNA可以提供遗传信息,细胞中染色质修饰同样可以决定基因的转录起始。组蛋白(Histone)是其基因序列高度保守的一类蛋白质。其N末端上含有多个赖氨酸(Lys)基团且可以发生多种翻译后的修饰, 如乙酰化、甲基化、泛素化等。这些修饰对染色质的结构和功能具有极其重要的调控作用,影响了基因组对转录、复制等酶体系的可读性 [1, 2]。由于表观遗传调控可以直接影响基因的表达,进而调控一系列的生理生化反应,所以当细胞中表观调控发生异常后,常常会导致肿瘤的发生。

图一:染色质及组蛋白修饰[3]
组蛋白的修饰中,研究最多的是乙酰化修饰,细胞中组蛋白的乙酰化修饰水平由组蛋白去乙酰化酶(Histone Deacetylases, HDAC)家族和组蛋白乙酰化酶(Histone Acetylases, HATs)家族共同调节,是可逆的动态循环过程。如(图二),其中,乙酰转移酶(KATs)催化发生乙酰化修饰,去乙酰化酶(HDACs)去除乙酰化酶修饰,同时含有 Bromodomain蛋白可以识别乙酰化修饰,进而招募下游分子,行使乙酰化功能。不同种类和不同位点上的修饰通常由这三类蛋白共同作用,才能使 DNA 及组蛋白上的修饰发挥作用,如 DNA 修饰酶或组蛋白修饰酶可以通过改变核小体与核小体之间的相互作用力来改变染色质的松散程度,进而影响相关基因的转录和表达。

图二:乙酰化修饰动态平衡[4]
HDAC是一种能够催化去除组蛋白乙酰基团的活化酶,其主要功能是从染色体组蛋白核小体N 末端赖氨酸ε–氨基上移除乙酰化基团,调节染色质构象和转录活性,进而促进组蛋白与DNA 紧密缠绕,从而调控基因的复制及转录[5]。
根据序列同源性和进化分析可以将 HDACs 分为四大类,如图三,分别为Ⅰ,Ⅱ,Ⅲ,Ⅳ家族。第Ⅰ,Ⅱ,Ⅳ家族属于经典的去乙酰化酶范畴,其活性可以被曲古抑菌素( Trichostatin TSA)抑制,并且具有锌离子依赖性。第Ⅲ家族属于 NAD+依赖性的去乙酰化酶Sirtuin 家族。其中第Ⅱ家族可以进一步细化为Ⅱ a 和Ⅱ b 两个小族[6]。

图三:HDAC 家族蛋白结构示意图[7]
HDAC可以在发育、癌症、神经退行性疾病、代谢性疾病、炎症反应和心脏病等疾病中起作用。其中研究的最多的是 HDACs 与肿瘤的关系。研究表明,在多种肿瘤中均有HDACs过表达的现象,HDACs的过表达导致组蛋白赖氨酸残基上乙酰化水平下降,打破体内乙酰化水平的平衡,导致组蛋白与DNA之间的静电引力增加,结合更紧密,最终导致染色质凝聚,使转录因子、激活因子等蛋白不能结合到DNA 上,抑制了转录的进行,进而导致与肿瘤抑制相关的基因如:p21、p27 等表达下调,最后导致细胞的分裂不受控[8]。

图四:乙酰化修饰调节细胞内代谢酶活性[9]
HDAC高表达可以明显促进肿瘤的血管生成、迁移,还可以抑制细胞的凋亡和分化,对肿瘤的发生发展都具有促进作用,所以HDACs已成为抗肿瘤领域的热门靶点之一。研究表明,HDACi可以通过激活细胞凋亡通路、诱导细胞发生自噬、诱导细胞周期阻滞、诱导DNA损伤并抑制DNA的修复、调节自由氧通路、抑制血管生成、增强免疫反应和促进细胞分化等方式,特异的诱导肿瘤细胞的凋亡(图五)。

图五:组蛋白去乙酰化抑制剂诱导转化细胞死亡的不同途径[10]
目前已有4种HDACi被美国食品和药物管理局(Food and Drug Administration,FDA)批准上市用于临床治疗。分别为Vorinostat、Belinostat 、Panobinostat和Romidepsin用于淋巴瘤和多发性骨髓瘤的治疗;另外,还有在2015年被中国食品和药物管理局(China Food and Drug Administration, CFDA)批准上市的西达本胺,用于治疗非霍奇金T 淋巴瘤[11]。目前 HDACi 作为新型靶向抗肿瘤药物,在肿瘤靶向治疗中具有较大的开发前景。
爱思益普生物化学部IBC打造了从蛋白纯化、靶点筛选和HDAC Panel的综合性平台。其中HDAC Panel筛选平台拥有HDAC全部11个亚型的assay,旨在助力HDAC靶标的抑制剂评估及选择性分析。

ICE已纯化HDACs蛋白汇总

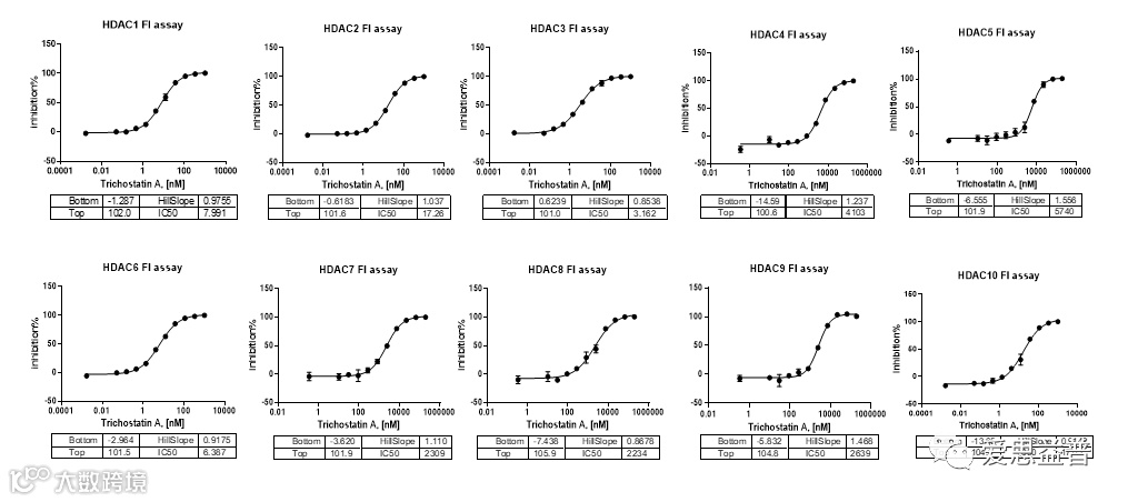
HDACs通过催化去除经过染料标记的乙酰基团来检测其催化活性。在HDAC酶活检测实验中,荧光染料分子附着在乙酰赖氨酸的肽段上,该附着会导致荧光信号淬灭,肽段在HDAC催化处理后,通过FI技术检测乙酰基脱落后释放的荧光信号来反应HDAC酶活。针对HDAC,我们使用FDA批准的上市药物作为质控分子,进行体系稳定性和灵敏性的验证,均与发表结果高度一致。

Vorinostat对HDACs的抑制作用
同时,ICE推出针对HDAC 10个亚型常见靶点的测试,为HDAC选择性抑制剂提供全面的评价服务。对于不同亚型之间的选择性,以及针对某个亚型的选择性,我们均可提供服务。

ICE-HDACs Panel curve汇总
小结:
IBC团队可以提供针对HDAC家族蛋白的产品及定制服务,在进行高质量的靶标筛选的同时,推出了“HDAC Panel”筛选服务。爱思益普不仅具有成熟的生化服务平台,在生物学,DMPK分析,体内动物模型的药效评价以及神经心脏安全和体外次级药理学安全性评价(Safety panel)等方面也拥有丰富的服务经验。对HDAC相关服务感兴趣的同仁,可以随时联系我们索取资料!
撰稿人----张晓春
[1]Berger, S.L., The complex language of chromatin regulation during transcription. Nature, 2007.447(7143): p. 407-12.
[2] Suganuma, T. and J.L. Workman, Chromatin and signaling. Curr Opin Cell Biol, 2013. 25(3): p.322-6.
[3]Sparmann, A. and M. van Lohuizen, Polycomb silencers control cell fate, development and cancer. Nat Rev Cancer, 2006. 6(11): p. 846-56.
[4]Ventura, M., et al., Nuclear translocation of glyceraldehyde-3-phosphate dehydrogenase is regulated by acetylation. Int J Biochem Cell Biol, 2010. 42(10): p. 1672-80.
[5]DOKMANOVIC M, CLARKE C, MARKS P A. Histone deacetylase inhibitors:overview and perspectives [J]. Molecular cancer research : MCR, 2007, 5(10): 981-9.
[6]Pflum, M.K., et al., Histone deacetylase 1 phosphorylation promotes enzymatic activity and complex formation. J Biol Chem, 2001. 276(50): p. 47733-41.
[7]Lee, H., N. Rezai-Zadeh, and E. Seto, Negative regulation of histone deacetylase 8 activity by cyclic AMP-dependent protein kinase A. Mol Cell Biol, 2004. 24(2): p. 765-73.
[8] Li E, Bestor TH, Jaenisch R. Targeted mutation of the DNA methyltransferase gene results in embryonic lethality[J]. Cell. 1992;69(6):915-26.
[9] Guan, K.L. and Y. Xiong, Regulation of intermediary metabolism by protein acetylation. Trends Biochem Sci, 2011. 36(2): p. 108-16.
[10] Giannini G, Cabri W, Fattorusso C, Rodriquez M. Histone deacetylase inhibitors in the treatment of cancer: overview and perspectives[J]. Future medicinal chemistry. 2012;4(11):1439-60.
[11] Battistuzzi G, Giannini G. Synthesis of ST7612AA1, a Novel Oral HDAC Inhibitor, via Radical Thioacetic Acid Addition[J]. Current bioactive compounds. 2016;12(4):282-8.
公司介绍
截至目前,爱思益普为600家以上的国内新药研发机构提供服务,得到客户广泛好评;每年有数百个项目进行新药临床研究(IND)申报,多个项目通过NMPA的现场核查。


