
药物发现是一项成本高昂且极为复杂的工作,据估计,每种新药成功上市的成本超过20亿美元,且需耗费15至20年的时间。在药物研发过程中,候选药物失败带来的成本占据了总费用的相当一部分。过去二十年的行业调查揭示了药物研发失败的主要原因:首先是化合物缺乏有效的临床治疗效果(约占50%),其次是化合物的安全性问题(约占30%)。特别值得注意的是,心脏毒性一直是新药安全风险的主要因素。

2005年人用药品注册技术要求国际协调会(ICH)颁布了《非抗心律失常药物潜在导致QT/QTc间期延长和心律失常的临床评价指南》(E14)以及《人用药物延迟心室复极化(QT间期延长)潜在作用的非临床评价指南》(S7B)。这些指南是在认识到钾离子通道hERG抑制可能导致QT间期延长和尖端扭转型室性心动过速(torsades de pointes)之后制定的。hERG抑制和QT间期延长作为心律失常风险的指标非常敏感,并且有效地防止了具有高心律失常可能性的药物进入市场。然而,这些指标在hERG抑制、QT延长和实际心律失常风险之间显示出了不够牢固的相关性。为了克服这些限制,美国食品药品监督管理局(FDA)于2013年7月启动了全面的体外致心律失常评估(CiPA)。CiPA旨在提高心脏风险预测的精确度和可负担性。
基于CiPA检测方案,爱思益普(ICE)开发出了系统的CiPA ion channel panel,这一Panel涵盖了心脏中全部重要的离子通道。





图1:符合最佳实践条件下Cisapride对hERG通道的记录数据及刺激方案
(数据来源:爱思益普内部数据)
表1:药物在室温和生理温度下对hERG通道的影响
(数据来源:爱思益普内部数据)


图2:Erythromycin在室温和生理温度条件下检测hERG通道的抑制效应
(数据来源:爱思益普内部数据)

图3:E-4031在室温和生理温度条件下检测hERG通道的抑制效应
(数据来源:爱思益普内部数据)

图4:Terfenadine 在室温和生理温度条件下检测hERG通道的抑制效应
(数据来源:爱思益普内部数据)

图5:Cisapride在室温和生理温度条件下检测hERG通道的抑制效应
(数据来源:爱思益普内部数据)


图6:符合最佳实践条件下Lidocaine对Nav1.5通道的记录数据及刺激方案
(数据来源:爱思益普内部数据)

图7:符合最佳实践条件下Nifedipine对Cav1.2通道的记录数据及刺激方案
(数据来源:爱思益普内部数据)

当一个化合物同时抑制hERG通道和表现出对Cav1.2或晚钠电流的抑制作用时,这些效应可能会产生相互平衡的效应:对hERG的抑制可能会导致QT间期延长,而对Cav1.2或晚钠电流的抑制可能抵消这种作用,从而降低QT间期延长的风险 。这种多通道的抑制作用可以在一定程度上抵消单一hERG抑制作用所带来的心脏安全性风险。因此在评估这类化合物的心脏安全性时,需要综合考虑其对不同离子通道的影响。


图8:室温条件下不同化合物对CiPA多离子通道的记录数据及浓度-效应关系
(数据来源:爱思益普内部数据)

评估新药对离子通道的影响是揭示其潜在心脏风险的可靠方法,但不足以捕捉诱发心律失常风险的所有潜在可能。在这种情况下,更高级别的平台可以作为一个有价值的模型来检测化合物对心脏动作电位以及其他重要参数的影响。

图9:E-4031浓度依赖性延长APD90,而且在高浓度的E-4031(1μM)作用下,可以诱发出触发事件:早期后除极(EAD)
(数据来源:爱思益普内部数据)


图10:E4031对兔子浦肯野纤维分别在 1Hz(A) 和0.5Hz(B) 刺激频率下诱发动作电位的示意图
(数据来源:爱思益普内部数据)

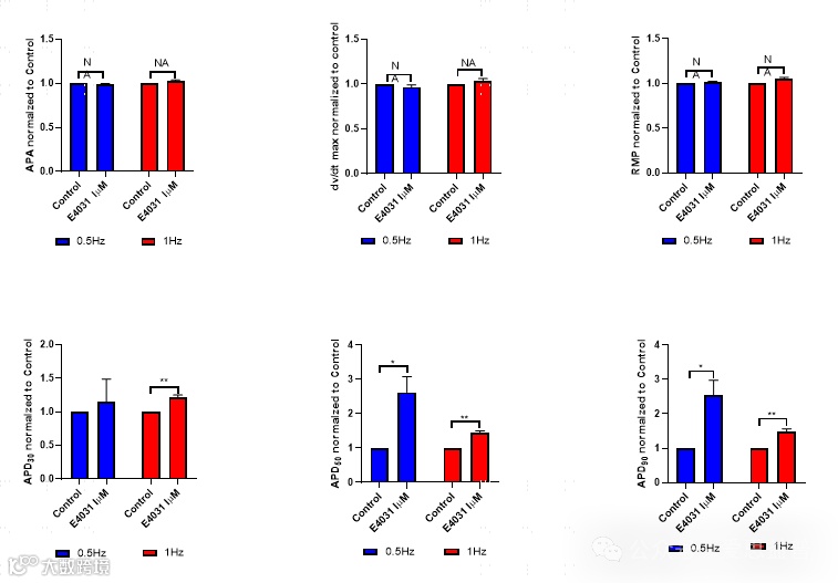
图11:E4031在不同刺激频率下(0.5Hz和1Hz)下记录浦肯野纤维动作电位各参数指标统计图
(数据来源:爱思益普内部数据)





图12:Cisapride浓度依赖性延长QT间期
(数据来源:爱思益普内部数据)

在临床前药物开发中,监测心电图(ECG)是心脏安全性评估的重要组成部分。为了检测药物候选物的潜在致心律失常风险,以及在早期药物开发阶段进行内部决策,需要一个具有人类心脏功能可转化性的小动物体内模型。
这个模型是心脏研究中一个成熟的小动物模型,因为它的心脏离子通道特性(除了ito)与人类相似,其ECG也是如此,具有容易识别的P波、QRS波和T波。在药物发现的引导优化阶段,药物的可用性通常有限,一个小型、成本低廉的动物模型,如豚鼠,能够提供QTc延长数据以及药代动力学测量,是非常理想的。

图13:心电图对应不同波段图解

图14:克唑替尼(PO,40mg/kg)给药后6 h内,心率(A)、PR间期(B)、 QRS波宽(C)、 QT间期(D)、 QTc(E)有不同程度的改变。
(数据来源:爱思益普内部数据)




北京爱思益普生物科技股份有限公司 2010年创建,致力于打造靶点驱动的药物发现生物学平台。作为创新型CRO+的探索者,爱思益普专注于以“新靶点、新方法、新技术”解决创新药从靶点发现到候选化合物确认阶段的生物学和成药性的挑战;同时,爱思益普融合生物学和转化医学的专业团队,基于对疾病生物学及药物研发逻辑的深入理解,建立药物发现“一体化”的生物学平台为客户提供综合解决方案。
爱思益普 建立了强大的技术团队,其中博士近10%,硕士以上占比超过40%。2人入选北京市“海聚工程”海外高层次人才及北京市特聘专家;亦庄“亦麒麟”创业领军人才。是国家高新技术企业,中关村高新技术企业。2016年被认定为北京经济技术开发区“企业研发机构”和“公共技术服务平台”;2018年获得“德勤-亦庄高科技高成长20强”; 2021年被认定为北京市企业科技研究开发机构;2022年获得北京市“专精特新”中小企业,2024年获得国家“专精特新”小巨人企业。