一种基于伴随代理模型的鲁棒一次性优化方法
A robust one-shot method based on adjoint surrogate model for PDE-constrained optimization
向锦鹏1,2,3曹文博1,2,3宋述芳1,2,3,*张伟伟1,2,3,*
1.西北工业大学航空学院,西安 710072
2.西北工业大学流体力学智能化国际联合研究所,西安 710072
3.飞行器基础布局全国重点实验室,西安 710072
Xiang J, Cao W, Song S, et al. A robust one-shot method based on adjoint surrogate model for PDE-constrained optimization[J]. Journal of Computational Physics, 2025: 114562.
针对偏微分方程约束优化问题,一次性优化方法通过构建状态方程、伴随方程和设计方程的完全耦合系统进行同时求解,仅需O(1)量级的正问题求解成本即可完成优化设计,从而显著降低了计算成本。然而,完全耦合系统往往条件数较高,容易导致收敛缓慢甚至数值发散。本文提出了一种基于伴随代理模型的鲁棒一次性优化方法,其中代理模型用于替代伴随方程的求解,并嵌入到一次性优化框架中,以改善系统的病态性。在参数识别、反设计以及气动外形优化等三类基准算例上,该方法相较于经典的直接伴随循环方法实现了超过一个数量级的加速效果。本文重点揭示了伴随代理模型对一次性优化方法效率与鲁棒性的提升作用,为加速偏微分方程约束的优化设计问题提供了一条有效的技术路径。
一、研究背景
偏微分方程(Partial differential equations, PDEs)约束优化是许多工程设计问题的基础工具,其核心挑战在于如何在求解精度、计算效率与数值稳定性之间取得平衡。现有方法主要包括直接伴随循环(Direct adjoint looping, DAL)方法与一次性(One-shot)方法。DAL通过分别求解状态方程与伴随方程获得高精度梯度信息,但由于每次迭代都需完全收敛,计算成本极高。相比之下,一次性优化方法将状态、伴随与设计变量统一耦合求解,能够显著降低优化成本。然而,一次性优化的耦合系统往往高度病态,导致收敛困难甚至数值发散。近年来,基于人工智能的代理模型被用于加速PDE求解和优化,例如流场预测、降阶模型以及智能优化等。然而,此类集成代理模型的求解思路尚未在PDEs约束优化的一次性优化框架中得到应用。因此,本文提出将伴随代理模型嵌入一次性系统,利用已有的流场变量与伴随向量之间的映射模型,替代伴随方程的求解过程,缓解耦合系统的病态性并提高优化迭代效率。

二、研究方法
分别代表目标函数,设计变量与状态变量,
为控制方程残差。考虑与公式(1)对应的拉格朗日函数:
为伴随向量。将公式(1)通过泰勒展开线性化为:

三、结果与分析
形式,子系统为
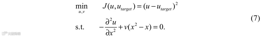
。采用Poisson方程对本文所提出的方法进行数值验证。Poisson 方程的参数识别问题可表述为:
分别表示状态变量、伴随向量及设计变量;
表示状态变量与目标状态之间的平方差,其优化目标是在给定目标点处,使状态变量
与目标状态一致,从而确定最优参数
。
图8 不同方法迭代曲线对比

A robust one-shot method based on adjoint surrogate model for PDE-constrained optimization.pdf
END

