熊果苷还能用吗?欧盟安全性评估背后的真相
解析α-与β-熊果苷的差异、安全性争议及合理使用建议
来源:丛博士护肤课堂 作者:丛林博士
美白产品中常见的「熊果苷」在2022年3月25日被欧盟发布安全性意见,指出化妆品中α-熊果苷和β-熊果苷的安全浓度无法确定。
那么,熊果苷是否还能安全使用?本文将从成分本质、类型差异与安全风险角度进行专业解读。
· 熊果苷是什么? 01熊果苷(又称熊果素)是一种亲水性多酚,属于氢醌的衍生物,广泛用于美白类护肤品中。
其主要作用机制是抑制酪氨酸酶活性,减少黑色素生成,同时具备抗氧化能力,有助于淡化色斑、改善肤色不均。

▲熊果苷作用机制
· α-熊果苷和β-熊果苷的区别? 02两者均由“氢醌+葡萄糖”构成,区别仅在于分子旋光性不同,但稳定性与功效存在显著差异。
α-熊果苷具有良好的光热稳定性,美白效果更强,且在推荐剂量下无细胞毒性;而β-熊果苷稳定性较差,美白效力较低,但成本约为α型的1/8,因此部分产品选择使用。


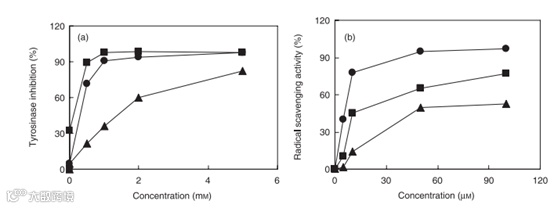
▲试验显示:α-熊果苷在不同浓度下对酪氨酸酶抑制率和抗氧化效率呈正相关
· 安全性担忧源于什么? 03主要风险来自于熊果苷可能分解产生的**氢醌**——一种被禁用的潜在刺激性物质。
部分含熊果苷产品出现变色现象,即为成分不稳定、可能发生水解的信号。此前脱氧熊果苷因易释放氢醌已被欧盟禁用,引发对同类衍生物的关注。

安全性关键取决于原料纯度与制剂稳定性。优质原料供应商、包裹技术或纳米乳化工艺可有效降低水解风险。
至于皮肤微生物是否会导致水解,目前尚无明确科学证据支持。
· 真的没有安全浓度吗? 04尽管欧盟尚未最终确认安全浓度,但已有初步评估结果:
▶ α-熊果苷:面霜中≤2%、润肤露中≤0.5%被视为相对安全。
▶ β-熊果苷:若配方中氢醌含量控制在1ppm以下,面霜中使用≤7%为可接受范围。


需注意的是,上述评估未涵盖与其他可能释放氢醌成分联用时的累积风险,因此尚不能完全定论。
综合现有数据,在严格控制添加浓度、确保配方稳定的前提下,合理使用熊果苷仍是安全且有效的美白策略。

【免责声明】本文数据更新于2022年4月24日,由「丛博士护肤课堂」原创,旨在为读者科普。内容仅供参考,具体皮肤问题请咨询专业医生。图片素材部分来源于网络或文献,如有侵权请联系删除。

