9月24日,在国家发展改革委惠企纾困专题新闻发布会上,高技术司副司长朱建武回答记者提问时表示:随着国家“十四五”战略性新兴产业发展规划以及其他各领域专项规划陆续出台,战略性新兴产业发展引导支持力度还将进一步加大,产业发展预期将持续稳中向好。
朱建武介绍,今年以来,各地区各部门多措并举加大力度,战略性新兴产业快速发展。一是产业发展总体态势持续走强。国家信息中心景气调查数据显示,三季度战略性新兴产业行业景气指数为146.9,位于较强景气区间。二是重点行业发展持续向好。1-8月份,计算机、通信和其他电子设备制造业,电气机械和器材制造,医药制造业增加值同比分别增长18.0%、23.8%、30.0%。三是创新发展信心持续提升。三季度战略性新兴产业创新景气指数为130.7,指数呈现连续提升态势。
例如,动力电池产业表现亮眼。据中国汽车动力电池产业创新联盟数据显示,2021年8月,我国动力电池产量共计19.5GWh,同比增长161.7%,环比增长12.3%。其中,三元电池产量8.4GWh,占总产量42.9%,同比增长91.5%,环比增长4.8%;磷酸铁锂电池产量11.1GWh,占总产量56.9%,同比增长268.2%,环比增长18.8%。1-8月,我国动力电池装车量累计76.3GWh,同比累计上升176.3%。

图:2019-2021年我国动力电池产量
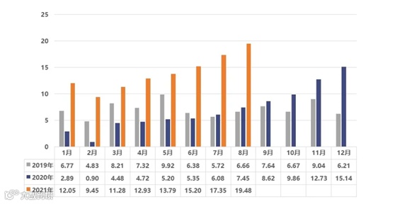
同时,工业机器人在规模、技术、质量等方面也取得长足进步。今年以来,我国第二产业固定资产投资总体保持上升态势,对下游设备行业起到较强带动作用。据国家统计局数据显示,2021年8月我国工业机器人产量32828台,较去年同期增长57.4%;1-8月累计产量239249台,累计增长63.9%。

图:我国工业机器人月度产量
朱建武坦言:“当前全球疫情形势依然严峻,国际海运价格持续维持高位,加之部分大宗商品和原材料价格大幅上涨,战略性新兴产业发展也面临挑战,特别是产业链中下游、中小企业,对价格和成本的传导消化能力相对较弱,应予以高度关注。”
据悉,下一步,国家发展改革委将打造一批各具特色、优势互补、结构合理的战略性新兴产业增长引擎,推动战略性新兴产业融合化、集群化、生态化发展。并重点做好以下三方面工作。一是落实好规划任务。组织实施好“十四五”战略性新兴产业发展规划,进一步细化产业高质量发展的时间表、路线图和任务书,推动形成战新产业发展“全国一盘棋”。二是加强集群培育。深入推进国家战略性新兴产业集群发展工程,加快构建产业集群梯次发展体系,推动产业集群建设重点任务加快落地。三是强化政策支持。大力推进市场化、法治化、国际化营商环境建设,多渠道加大支持力度,增强战略性新兴产业发展要素保障能力。
根据国家统计局数据,可以看到,今年7月,高技术制造业利润同比增长37.9%,拉动规模以上工业利润增长6.2个百分点;两年平均增长37.2%,比6月加快5.7个百分点,比规模以上工业平均水平高19.2个百分点。其中,受新冠疫苗、防疫抗疫产品需求旺盛等因素带动,医药制造业利润同比增长1.10倍,保持快速增长势头;两年平均增长61.4%,比6月加快7.7个百分点。受通信及液晶显示产品市场需求较好、产品利润率提升等因素推动,电子及通信设备制造业利润同比增长37.8%,比6月加快5.6个百分点;两年平均增长33.7%,加快9.5个百分点。




新闻发布会现场

