
一、等效地球曲率半径
根据电磁场理论,因为地球表面并非为真空,而是大气介质,因此要考虑大气折射对电磁波传播特性的影响,不能仅使用地球曲率半径为R作为计算依据,要用等效地球曲率半径作为计算依据。在温度为+15℃的海面以及处在温度随高度变化的梯度是0.0065°/m,温度是恒定的标准情况下,大气折射的梯度为0.039×10-6/m,等效于地球曲率半径为Re=4R/3=8490km。
二、雷达视距的计算和推导
根据直角三角形相关数学理论不难推导出以下过程:

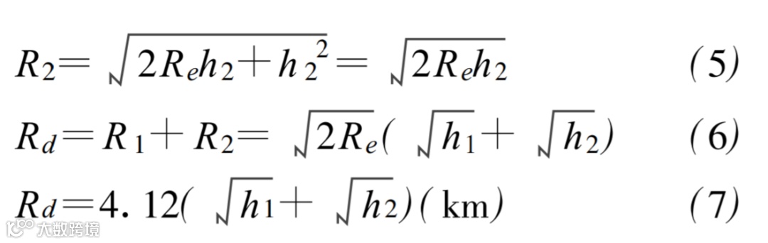
因为Re远远大于h1和h2,则可简化为:
需要说明的是,在公式(6)中,Re、h1和h2的量纲均是相同的,比如km或者m。但在实际工程中,天线架设高度和目标高度均以m为单位,为了便于换算,对公式(6)进行了换算,推导出公司(7),此处h1和h2均指米的数值,得出Rd的量纲为km。
为便于用户计算雷达视距,下表给出了典型雷达海拔架高和目标高度的雷达视距。以天线架设高度分别为8m和10m为例,天线架高提高2m,雷达视距提高了约1.37km。
表1 典型参数雷达视距表(单位km)

参考文献:
[1]徐绵起.不同海拔高度时雷达视距分析.舰船电子对抗,2004年4月

