一、杂波的模拟方法
常用的杂波建模方法有ZMNL法(零记忆非线性法)、 SIRP法(球不变随机过程法)、SDE法(随机微分方程法)等,无论哪种模拟方法,其本质都是要产生满足某种概率密度分布和相关函数(或功率谱密度)的随机序列。
1.1 ZMNL法
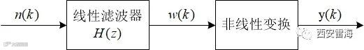
ZMNL法[5]的基本思想为首先产生相关高斯随机序列,然后对产生的高斯随机序列进行非线性变换。ZMNL法原理如图1所示。
图 1 ZMNL法原理图
其中:n(k)为高斯白噪声序列,H(z)为滤波器,w(k)为相关高斯序列,y(k)为服从某种概率分布的相关序列。
1.2 SIRP法
SIRP法是一种外生模型,其允许对杂波的边缘概率密度和子相关函数进行独立控制,克服了ZMNL法对相关函数的影响[6]。SIRP法的原理如图2所示:

图 2 SIRP法原理图
其中:n(k)为高斯白噪声序列,H(z)为滤波器,w(k)为相关高斯序列,s(k)为具有所要求的概率密度函数的非负实随机序列,y(k)为服从某种概率分布的相关序列。
二、杂波的幅度分布
常见的杂波幅度分布有瑞利(Raleigh)分布、对数正态(Log-Normal)分布、韦布尔(Weibull)分布、K分布等。
2.1 瑞利(Raleigh)分布
其仿真效果图如下:

图 3瑞利分布杂波MATLAB仿真效果图
2.2 对数正态(Log-Normal)分布
对数正态(Log-Normal)是常用的描述非瑞利包络杂波的一种统计模型,是常用的非瑞利分布杂波中拖尾最大的一种,对于精度很高的雷达或者地面起伏特别大的地区,适用该模型通常可以实现比较满意的匹配结果。其概率密度函数为:


图4对数正态分布杂波MATLAB仿真效果图

图5对数正态分布的概率密度随尺度参数变化曲线
2.3 韦布尔(Weibull)分布
和对数正态分布模型一样,韦布尔(Weibull)分布模型也是描述非瑞利包络杂波的一种常用的统计模型。其概率密度表示为:


图6 韦布尔分布仿真效果图
2.4 K分布
对高分辨雷达在低视角工作时获得的海杂波回波包络模型的研究表明,用K分布不仅可以在很宽的范围内很好地与观测杂波数据的幅度分布匹配,而且还可以正确的模拟杂波回波脉冲间的相关特性。其概率密度函数为:

其仿真效果图如下:

图7 K分布仿真结果
三、结语
对于从事雷达相关训练、教学、科研等单位来说,受到天气场地、设备、合作目标的限制,难以获得较为适合的雷达杂波信号数据。雷海自有“发鸠”通用数据模拟器已支持上述杂波数据的模拟,图7是模拟器仿真出来的瑞利分布海杂波效果图。

图8 瑞利分布海杂波模拟效果
相关链接:
引用文件:
[1] 陈闹.船用雷达回波模拟的研究与实现.电子科技大学,2013
[2] 刘宁波,孙艳丽,丁昊,等. 基于实测海杂波的s典型幅度分布模型对比分析[J].计算机仿真,2017,34(5) : 448 - 452.
[3] 张伟.雷达系统仿真的理论、方法与应用研究[D].成都:电子科技大学,2004
[4]陈金明.雷达杂波建模与仿真[D].西安:西安电子科技大学,2010
[5]潘楚琳 《雷达回波视频信号模拟技术研究》2003
[5]洪丽娜 《雷达地杂波建模仿真研究》 2003

