雷达干扰是一个统称,泛指一切扰乱和破坏敌方雷达检测我方目标信息的战术和技术措施,实际雷达工作的电磁环境非常复杂,雷达接收机接收的电磁信号除了目标以外,其余各类信号都可以当作干扰,这些干扰的存在大大加大了雷达对真实目标的检测和跟踪。
干扰信号的分类方法有很多,以按照干扰信号的生成源头分类为例,可把干扰分成有源干扰和无源干扰。有源干扰是指先获取雷达发射信号,估算信号的参数,人工的发射与目标信号类似却有差异的干扰信号。无源干扰是指干扰物本身不发射信号,利用自身的散射、损耗、覆盖特性反射其他发射源的入射信号,进而影响雷达接收目标信号。有源干扰可分为欺骗干扰和压制干扰,无源干扰可分为箔条干扰和角反射器干扰。简单分类如图1所示。
按照信号产生原理的不同,常见的压制式干扰可分为射频噪声干扰、噪声调频干扰、噪声调幅干扰与噪声调相干扰等。射频噪声干扰通常是利用放大电路直接对微波噪声进行放大而得到的。噪声调频干扰通常是利用噪声信号对载波信号进行调制,在不影响载波幅度的同时,按照调制噪声的变化规律对其瞬时频率进行调制而得到的压制式干扰信号。噪声调幅干扰通常是使用噪声信号对载波信号进行调制,在不影响信号频率的同时,按照调制噪声的变化规律对其幅度进行调制得到的,是压制式干扰的一种常见的信号形式。按照调制噪声的变化规律对载波信号相位进行调制,所得到的干扰为噪声调相干扰。
压制式干扰一般选取服从正态分布的噪声信号作为干扰信号,这是由于实际应用中噪声源的概率多是服从正态分布的;其次接收机内噪声分布一般也是正态分布,与内噪声具有相同分布的外噪声在进入雷达接收机后难以被区别开并消除;最后从信息论中表示随机变量的不确定性的变量—熵的概念来看,服从正态分布的噪声其遮盖性熵最大,干扰压制效果最好。
压制性干扰生成基本过程就是产生噪声或类似噪声的干扰信号,遮盖甚至淹没雷达接收到的有用目标信号,从而破坏敌方雷达的正常工作,阻止敌方雷达正确地检测目标信息,以至使敌方的系统根本无法发现信号。它的作用原理是:任何一部正常工作的雷达都有内部噪声和外部噪声,雷达在这些噪声中完成对目标的各种信息检测,雷达检测是基于一定的概率准则的。一般情况下,如果目标信号的信噪比,超过了检测门限,就可以保证在一定的虚警概率条件下达到一定的检测概率,简称为可以发现目标,否则便认为不能发现目标。压制性干扰就是使强干扰功率进入到雷达的接收机,尽可能地降低其信噪,造成雷达对目标的检测困难。
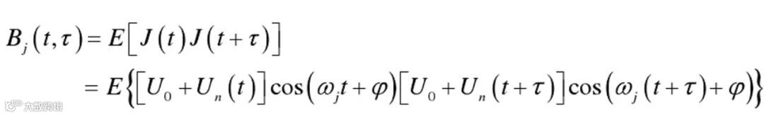
本文以噪声调幅干扰为例,简单介绍信号生成过程的算法,并给出仿真效果图。
噪声调幅信号使用噪声对载波进行调幅后形成的一种随机信号,用带限视频高斯白噪声对其进行调制可得噪声调幅信号,噪声调幅干扰的信号公式为:






图2 Matlab仿真效果图
雷海“发鸠”模拟器产品,采用噪声调幅干扰实现压制干扰效果如图3所示。

本文结合“发鸠”模拟器,介绍了压制干扰生成原理以及仿真实现方法,“发鸠”还可以通过配置参数,仿真不同方位与信干比的压制干扰,以满足不同的模拟使用场景。电子干扰作为影响雷达正常工作的主要技术手段,在现代的高科技战争中占据着非常重要的位置,继续研究各类干扰仿真技术,对于军事研究、武器制造、工程应用等各个领域都有着积极的意义。
a)雷达干扰仿真与抑制方法研究,西安电子科技大学,董浩;
b)雷达有源干扰类型判别研究与实现,西安电子科技大学,武俊强;
c)雷达有源压制式干扰信号建模与仿真,西安石油大学计算机学院,陈玉绒
d)无人机干扰技术研究,河北科技大学,康娇
e)雷达压制式干扰信号的研究与FPGA设计,西南科技大学国防科技学院,龙凯