1、 噪声
1.1什么是噪声
1.2噪声的分类
噪声分为白噪声和有色噪声,白噪声是指在无限频率范围内功率谱密度为常数,即服从均匀分布的信号,从功率谱的角度就是功率谱密度与频率无关,是一个平稳随机过程,有色噪声是指功率谱密度不平坦,即功率谱密度与频率相关,一般的热噪声幅度服从高斯分布且功率谱密度服从均匀分布,所以热噪声为高斯白噪声。
2、 杂波
2.1什么是杂波
除感兴趣的目标以外的其他物体的雷达散射回波,它会干扰雷达正常工作,通过天线主瓣进入雷达的寄生回波称为主瓣杂波,否则称为旁瓣杂波,杂波通常分为两大类,体杂波和面杂波,体杂波包括较大范围的云雨,鸟及昆虫等,面杂波包括树木,植被,地表,人造建筑及海面散射回波,杂波是随机的,有类似热噪声的特性,杂波具有随机的相位和幅度,在时间,空间上有呈现相关性,杂波信号强度一般比接收机内部噪声大的多,常见的杂波的统计分布模型有瑞利分布,对数正态分布,韦布尔分布,K分布。
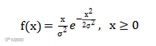
2.2瑞利分布
当散射单元有大量统计独立的小散射体组成,而且没有一个占主导时,其合成杂波的统计特性与热噪声一致包络可用瑞利分布来描述:
![]()
该模型适用于低分辨率雷达以及较大的入射角对成片的沙漠,戈壁均匀地表和低海情海面进行观测时的情形。
适用于雷达分辨率比较高,擦地角小的海杂波,海面形成波浪尖峰,地杂波,都适用,
对数正态分布的概率密度函数为:
2.4 Weibull分布
在近距离即严重的杂波情况下,采用韦布尔分布较为合适,这种分布的不对称性小于对数正态分布的不对称性,所以韦布尔分布也适用于海杂波幅度起伏较为均匀的情况,对数正态模型会夸大动态范围,瑞利模型则相反,韦布尔模型介于两者之间,可以很好的模拟海杂波和地杂波,韦布尔分布的概率密度函数为

其中q为尺度参数表示分布均值,p表示形状参数,表示分布的偏斜度。
2.5 K分布
分辨单元内存在多个强散射点,并且强散射点的数目起伏不定时,K分布有很好的效果,而且K分布还可以很好的模拟杂波回波脉冲间的相关特性,k分布的概率密度函数为
2.6 P显中杂波图像

海杂波

云雨杂波

地物杂波
3、 干扰
1什么是干扰
雷达干扰是指一切破坏和扰乱雷达及相关设备正常工作的战术和技术措施的统称,按照干扰能量分类可将干扰分为有源干扰和无源干扰,有源干扰是指由辐射电磁波的能量产生,无源干扰是指利用非目标物体对电磁波的散射,反射,折射现象产生。
3.2干扰的分类
按照广义的干扰划分,如果以人为因素作为分类标志,可分为有意干扰和无意干扰,有意干扰是指人为因素引起产生的,无意干扰指自然界或其他无意识因素产生,比如,地面,海面杂波,因此杂波属于无意干扰的范围,狭义的干扰一般称之为有意干扰。按照干扰的作用机理可分为遮盖性干扰和欺骗性干扰,遮盖性干扰是指使敌方电子系统的接收机过载,饱和而导致回波信号难以检测出有用信号,欺骗性干扰是指敌方电子设备或操作人员对接收信号真假难辨,产生错误判断和错误决策的干扰。
3.3遮盖性干扰
遮盖性干扰按照干扰信号中心频率f’,干扰带宽B’相对于雷达接收机中心频率f,带宽B的关系分为瞄准式干扰,阻塞式干扰和扫频式干扰。
3.3.1瞄准式干扰
瞄准式干扰满足
![]()
瞄准式干扰需要先测出被干扰雷达的工作频率f,再把干扰机频率调整到f上,保证以较窄的B’覆盖B,这一过程称为频率引导,其优点是在B内的干扰功率强,缺点是对频率引导要求高。
3.2.1阻塞式干扰
阻塞式干扰满足
阻塞式干扰B’相对较宽,对频率引导精度要求降低,频率引导设备简单,并且B’宽,便于同时干扰频率分集雷达,捷变频率雷达和多部不同工作频率的雷达,但是在B内的干扰功率密度低。
3.2.3扫频式干扰
扫频式干扰满足

干扰的中心频率f是以T为周期的连续函数,扫频式干扰可对雷达造成周期性间断的强干扰,扫频范围较宽,也能干扰频率分集雷达,捷变频率雷达和多部不同工作频率的雷达。
3.3欺骗性干扰
欺骗性干扰作用机理是针对接收机的处理过程,使其失去测量和跟踪真实目标的能力,即要掩蔽真正的目标,通过模拟真实信号,加上合适的调制方式制造出假目标,经天线进入到干扰雷达系统中,使敌方雷达不能正确检测真正目标,根据假目标与真实目标中的测量参数信息可分为距离,方位,仰角,多普勒频率和功率欺骗干扰。
3.4 P显中干扰图像

压制性干扰

欺骗式干扰(密集假目标干扰)
4、 噪声,干扰,杂波的关系
从狭义上来说,因雷达自身受气候、环境等影响其物理特性产生的非目标信号定义为噪声,如接收机内部噪声、天线热噪声等;因周边地理、生物、建筑等所产生的非目标信号定义为杂波,如海杂波、地物杂波、云雨杂波等;因外部人为因素影响所产生的非目标信号定义为干扰,如同频异步干扰、压制干扰等。
5、 参考文献
【1】 刘明鑫,房梦旭.基于ZMNL法的雷达杂波建模与仿真[J].成都航空职业技术学院学报,2015,31(04):56-59.
【2】 杜勇,李依林,杨海粟.基于ZMNL法的相关雷达杂波建模与仿真[J].火控雷达技术,2012,41(04):11-14.
【3】 《现代雷达系统分析与设计》[J].西安电子科技大学学报,2012,39(06):9.
【4】 夏阳. 海杂波建模仿真技术研究与FPGA实现[D].国防科学技术大学,2011.
【5】 常磊. 雷达杂波模拟与应用研究[D].西安电子科技大学,2010.
【6】 林澄清,赵修斌,田孝华,王翔.基于ZMNL的雷达杂波建模仿真[J].兵工自动化,2009,28(12):25-28.
【7】 许斌. 基于ZMNL法的雷达杂波建模与仿真[A]. 中国通信学会青年工作委员会.2008年中国高校通信类院系学术研讨会论文集(下册)[C].中国通信学会青年工作委员会:中国通信学会青年工作委员会,2009:6.
【8】 陈斯敏. 雷达杂波的建模与仿真[D].四川大学,2006.

