雷达中常用的几种脉冲压缩信号有简单脉冲信号,线性调频脉冲信号,相位编码脉冲信号等,其信号波形如下图所示,线性调频脉冲信号已在本号之前的文章中介绍过,本文主要介绍相位编码脉冲信号。

相位编码波形具有恒定的RF频率,但在脉冲持续时间内绝对相位以固定的间隔在两个或多个确定值之间进行转换,其相位调制函数是离散的有限状态,属离散编码脉冲压缩信号。这种脉冲可以被看成N个脉宽为
的连续子脉冲的集合,每个子脉冲具有相同的频率,但是(可能)具有不同的相位,总的脉冲宽度
,单独的子脉冲通常称为码片。相位编码信号的复数表示一般可写为
其中,
为复包络,
为相位调制函数,这个相位函数在子脉冲存在时间内是固定的,对不同的子脉冲它可取不同值。
相位编码信号简单分类如下图所示:
相位编码波形分为二相编码和多相编码, 二相编码信号,包括巴克编码、M序列编码、L序列编码、互补编码等;多相编码包括弗兰克码和霍夫曼码、P1和P2码、P3和P4码等。二相编码仅有两个可选择的相位状态,通常为0或。多相编码具有两个以上的相位状态,每种编码都有许多常见的子类,前面文章XXXX中以对常用的巴克编码、M序列编码简单介绍,本文主要对多项编码信号进行简单介绍。
多相编码允许对码片相位以任意值进行编码。与二相码相比,它们具有较低的旁瓣水平和较大的多普勒容许度。现在常用的多种相位编码,包括“多相巴克码”,弗兰克(Frank)以及P1,P2,P3,P4,P(n,k)码,均与LFM和NLFM波形相关联。
a)弗兰克(Frank)码
弗兰克码是线性调频波形的不连续的近似,在有多普勒频移出现时,弗兰克码的自相关函数将会比二相编码减少得慢些。因此,在二相编码的多普勒敏感度成问题时,便应当考虑弗兰克码。
Frank码的长度是某些M值的平方,即码长
。相位序列为
例如,如果M=4,则N=16,相位序列为
Frank码也可以写为一个
的矩阵,即
图4和图5是4相16位Frank码的模糊图和等高图。
可以看出,弗兰克码模糊函数图是呈现图钉型的,主峰的峰值比较尖锐,旁瓣较低,具有较好的距离分辨率和方位分辨率。目前Frank码已被成功应用于LPI雷达,与二相码相比,它们具有较低的旁瓣和较大的多普勒容限。由于Frank与LFM联系紧密,距离-多普勒耦合也较为明显。
图6 16位弗兰克码非缠绕相位序列
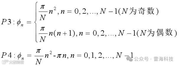
b)P3、P4码
与Frank不同,对任意码长N均可产生P3、P4码。
多相编码具有的典型特征是自相关函数具有低的旁瓣电平、多普勒容许度较高,它改善了调频信号和相位编码信号的缺点,同时又保留了两者的优点,逐渐在低截获概率雷达中得到广泛应用。相位编码脉冲信号的距离分辨率主要取决于每个码元的带宽,在雷达中若采用相位编码信号,应综合考虑作用距离和分辨率的要求,选择适当长度、合适带宽的伪随机编码脉冲信号。多相编码的主要缺点是当产生的相位增量越小,所需要的设备越复杂,因此成本越高。

