在大量的军事领域和一些民用领域,如防空预警系统、火力控制系统、空中交通管制系 统中,多目标跟踪技术都有着十分广泛的应用,在多目标跟踪系统中,多目标数据关联是最核心的部分,在杂波环境下,这是一个在探测到目标关联门内有多个观测回波时,将多目标数据和观测回波进行关联的过程,由于关联结果将决定更新目标航迹的观测回波,因此,数据关联的准确性将直接影响多目标跟踪系统的性能。
为了有效地降低密集回波下多目标数据关联计算的复杂性,并维持一定的跟踪性能,诞生了一种快速数据关联滤波算法(fast data association filter,FDAF),算法重点对关联门相交区域中的公共回波进行分析,并综合考虑了关联门内其余候选回波对目标航迹更新的影响,以较小的计算代价得出较准确的关联数据。
常用的“最近邻”关联方法是选择距离关联门中心最近的回波对目标航迹进行更新,但不确认一定是正确的目标回波。(概率数据关联滤波)PDAF算法计算量小,性能优于“最近邻”法’但是PDAF未能准确考虑处在多个目标关联门相交区域中的公共回波对航迹更新的影响,因此其跟踪性能在回波密集时不太理想。而被公认为是解决密集回波下多目标数据关联最有效的算法之一的联合概率数据关联滤波(JPDAF)算法,其跟踪目标成功率高,但由于该算法对所有可能的目标关联解进行搜索在此基础上计算最佳关联概率,对关联解的搜索是一个求组合数问题,导致搜索过程的计算量随目标和回波数增长呈指数增长趋势,实际计算量巨大。而快速数据关联滤波算法(FDAF)能从某种程度上克服JPDAF的不足,又不必像PADF那样对数目很大的关联解进行搜索,可以在计算时首先通过设置目标关联门来构造m×(N+1)确认矩阵
,它反映了各目标候选回波的分布情况,其中,为目标数,n为候选回波数

表示回波
可能来于杂波
表示
不可能来源于目标t。后计算所有事件
的概率密度

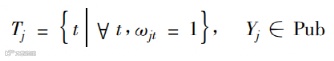
然后找出关联门相交区域内的公共回波集合 Pub

然后通过矩阵确定集合Pub中每一个回波
可能来自目标的集合

计算经修正后公共回波
分属各个目标
的概率值
步骤如下:
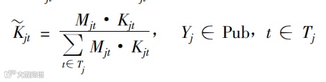
计算公共回波
分属各个目标的概率
,

当所有的公共回波的
都计算完后,再进行第二步工作,即考虑拥有公共回波的目标各自关联门内侯选回波对
的影响,影响因子
:

其中当
时,
,否则
。考虑因子
的影响,则
的修正值
表示如下

实际上是对两个因子
和
之积重新归一后得到的新概率值,它可解释为考虑两个因子
和
的影响,公共回波分属各个目标
的概率。由于集合Pub中的公共回波
可能属于多个邻近目标,PDAF中
的概率密度值
要适当衰减来克服该缺陷,而在FDAF中通过
对
进行修正并计算


最后基于
对所有候选回波进行加权以更新目标状态,
是回波
对目标t的卡尔曼滤波估值,
是加权后的估值

由于FDAF算法既考虑了关联门相交区域内公共回波对目标航迹更新影响的平衡,又考虑了邻近目标关联门内候选回波对公共回波的
计算的影响,因此它从某种程度上克服了PDAF的不足,更重要的是FDAF不需像JPDAF那样搜索所有的可行联合事件,从而避免了对计算量呈指数趋势增长的组合问题的求解-从其相对于PDAF和JPDAF的仿真比较来看,FDAF算法兼具有实时性强和目标跟踪成功率高的优点。
在多目标跟踪的各种数据关联算法中,PDAF算法实时性好,但在密集回波环境下目标跟踪成功率低;JPDAF虽然在理论上被认为是最有效的算法之一,但由于其计算量的指数效应致使其在工程中难于实际应用;本文提出的快速数据关联算法FDAF以与PADF相当的计算量,达到了接近于JPDAF算法的跟踪成功率,且算法的性能在密集回波环境中没有明显下降,具有很好的工程应用前景。
参考文献
[1] Bar-Shalom Y,Te E. Tracking in a cluttered environment with probabilistic data association [J]Automatica,1975,11(9): 451 ~460.
[2]Fortmann TE,Bar-Shalom Y,and Scheffe M.Multitarget tracking using joint probabilistic data association [A]. Proceedings of the 19th IEEE Conference on Decision and Control [C],Albuquerque:NM,1980.807~812.
[3]Fortmann T E,Bar-Shalom Y and Scheffe M.Sonar tracking of multipletargets using joint probabilistic data association [J].IEEE Joumal of Oceanic Engineering,1983,8(3):173~184.
[4]Zhou B,Bose N K. Multitarget tracking in clutter:Fast algorithm for data associationL[J].IEEETrans.on Aerospace and Electronic System,1993,29(2):352~363.
[5]周宏仁,敬忠良,王培德.机动目标跟踪[M].北京:国防工业出版社,1991.
[6]李树英,许茂增.随机系统的滤波与控制[M].北京:国防工业出版社,1991.
[7]朱嘉, 郭立, 金大胜,等. 一种适于工程应用的多目标跟踪快速数据关联算法[J]. 中国科学技术大学学报, 2000, 30(5):7.

