一、动目标检测(MTD)原理
在MTI处理中,沿慢时间维对快时间-慢时间数据矩阵进行高通滤波,得到一个新的快时间-慢时间数据矩阵,在新数据矩阵中的杂波分量已被衰减。MTD处理与MTI处理不同,MTD处理直接对每一个距离单元内的慢时间数据序列执行一个谱分析(或频域滤波),所以MTD处理的结果仍然是一个数据矩阵,但此数据矩阵的坐标域变为快时间和多普勒频率。最常用的谱分析方法是计算数据矩阵中每一行慢时间数据序列的离散傅里叶变换(DFT),如图1所示。

图 1一个快时间/慢时间数据矩阵向一个距离/多普勒数据矩阵的变换
不同的多普勒采样会包含不同的干扰分量。假定杂波谱的中心在零多普勒频率处,那些靠近或位于零频率处的多普勒采样主要包含强杂波信号,也包含噪声分量。远离杂波能量的清洁区中的谱采样仅仅包含热噪声与目标信号竞争。把每一个多普勒采样分别与检测门限进行比较,以判断距离-多普勒单元中的信号是仅仅包含噪声,还是目标和噪声。那些杂波谱区中的采样通常仅仅被丢掉,这是由于这些谱采样的信干比太低,以至于目标难以被检测到。

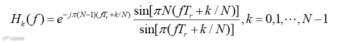
式中,n表示第n个抽头,k表示第k个滤波器,每一个值决定一个独立的滤波器响应,相应的对应于一个不同的多普勒滤波器响应。因此,第k个滤波器的频率响应函数为:

滤波器的幅频特性为:

各滤波器具有相同的幅度特性,均为辛克函数,且等间隔的分布在频率轴上。该滤波器的中心位置在零频率以及重复频率的整数倍处。为了降低每个滤波器的副瓣可以通过加窗实现。
MTD滤波器组覆盖了整个频率范围,每个滤波器的形状均相同,只是滤波器的中心频率不同。固定地物及强地杂波区的多普勒频率基本分布在零多普勒频率附近的MTD滤波器中,通常丢弃前几个通道的MTD滤波器输出结果,这些谱采样的信干比太低,以至于目标难以被检测到。
基于雷海“发鸠”模拟器与雷达综合实验箱,可开展MTD算法技术研究与验证。
运行模拟器软件,在模拟器软件主界面点击按钮“目标配置”,选择“单目标”下拉框,进行如图2和图3所示参数配置,并点击“创建”按钮进行目标添加。

图2静止目标参数配置

图3运动目标配置
图4模拟器P显画面
MTD未启用 MTD启用
三、小结
本文介绍了MTD处理基本流程,通过雷海“发鸠”模拟器和雷达实验箱,仿真和实现了了MTD处理功能,对于进一步掌握雷达信号处理技术提供一定的帮助。在实际运用中,环境复杂多样,还需不断深入研究MTD处理方法,以提高目标检测概率同时保持低虚警率。
四、文献参考
-
a) 雷达MTI/MTD杂波抑制技术研究,宗爱华,湖北大学
-
b) 雷达信号处理MTI/MTD的性能分析和仿真研究,吴彪,航天电子对抗
-
c) 雷达信号处理MTI/MTD性能分析与功能测试,李宏,计量与测试技术
-
d) 近程警戒雷达信号处理设计与实现,罗茂麒,电子科技大学