一、测速原理
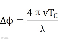
,则可推导出
时具有非模糊性。使用上述方程式可通过数学方法推导出
。
上述方程式给出由间隔TC的两个线性调频脉冲可以测得的最大相对速度(Vmax)。更高的Vmax需要两个线性调频脉冲之间更短的传输时间。
如果速度不同的多个移动物体在测量时与雷达的距离相同,则双线性调频脉冲速度测量方法不起作用。这些物体由于与雷达的距离相同,因而会生成IF 频率完全相同的反射线性调频脉冲。因此,距离FFT会产生单个峰值,该峰值表示来自所有这些距离相同的物体的合并信号,简单的相位比较技术将不起作用。
在这种情况下,为了测量速度,雷达系统必须发射两个以上的线性调频脉冲。它发射一组 N 个等间隔线性调频脉冲,这组线性调频脉冲称为线性调频脉冲帧。下图显示了一个线性调频脉冲帧随时间变化的频率,如图2所示。
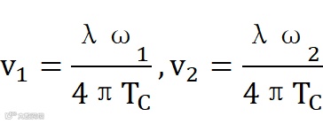
下面以两个与雷达的距离相等但速度分别为v1和v2的两个物体举例说明处理技术。
距离 FFT 处理反射的一组线性调频脉冲,从而产生一组 N 个位置完全相同的峰值,但每个峰值都有一个不同的相位,包含来自这两个物体的相位成分(来自各个物体的单独相位成分由图3中的红色和蓝色相量表示)。
称为多普勒 FFT 的第二个 FFT 在 N 个相量上执行,以分辨两个物体,如图4所示。
ω1和ω2对应于各个物体连续线性调频脉冲之间的相位差:

二、速度分辨率
离散傅里叶变换的理论指出,两个离散频率ω1和ω2在
>(2π/N)个弧度/样本时,是可以分辨的。由于
也是由
定义的,因而当帧周期为(Vres)
,可通过数学方法推导出速度分辨率:
雷达的速度分辨率与帧时间(Tf)成反比。
三、实验验证
按照上图所示的实验验证环境开展测速实验。将毫米波雷达实验盒与雷达实验箱通过USB连接,雷达架设高度1.5m,倾角0°。加电成功后,手持角反射器以0.5m/s的速度向毫米波雷达实验盒方向行进,初始距离2.7m,采集数据后进行测距测速分析,分析结果如下:
测量时刻,角反距离雷达2.5m,墙壁5m。
测量时刻,目标以0.5m/s的速度向毫米波雷达方向行进,与实验结果一致。
四、小结
本文介绍了毫米波雷达测速的基本原理,并搭建了室内的测试环境进行了实验验证,实验结果正确有效。在实际运用中,环境复杂多变,还需不断深入研究,完善处理流程,进一步提高多目标的检测概率和测速精度。
五、文献参考
1)连续毫米波雷达测速算法研究,张志鹏,现在信息科技
2)毫米波测速雷达的测速原理,马玲,弹道学报
3)基于LFMCW毫米波雷达的目标检测方法研究,周早丽,南京邮电大学
4)毫米波雷达的基本原理及其应用,邵济铭,系统工程与电子技术
5)毫米波雷达测速系统的研究,陈兵兵,现代信息科技

