1 RCS定义
雷达散射截面积(Radar Cross Section,简称RCS)表示目标对象在雷达视线中的面积,定量描述目标对象散射能力的大小,表示电磁散射性能。关于RCS的定义可以从三个角度进行理解,分别是基于电磁散射理论的RCS定义、基于雷达测量的RCS定义和基于散射机理的定义,前两者机理的RCS定义都表示在单位立体角内目标向雷达接收方向散射的功率和从雷达发射电磁波并朝给定方向入射至目标上的平面波功率密度相比的4π倍。
a、电磁散射理论角度的解释
雷达散射截面积(RCS)是在给定方向上返回或散射功率的一种量度,它用入射场的功率密度归一化。该散射功率还将进一步归一化以使得由于散射波的球面扩散引起的衰减不致成为计算雷达截面σ的一个因子。这样归一化的目的是消除距离R的影响,使其不取决于目标和雷达之间的间距。形式上,雷达截面是:

其中
、
分别为散射电场和散射磁场,而
、
则分别为入射电磁场。散射场是由于目标的存在而引起的,所以总场为入射场与散射场之和:

雷达散射截面的单位是面积,通常用平方米表示,但有时也用平方波长来表示。
b、雷达测量角度的解释
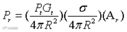
由雷达方程推导出来的接收功率表达式为:

其中,是雷达的发射功率,是雷达接收的回波功率,是发射天线增益,是接收天线有效面积,R为雷达至目标的斜距,第一项是由发射天线辐射场引起的目标处的功率密度。第二项表示反射或后向散射至接收天线处的入射功率量。第三项则表示返回功率中被接收天线所截获的功率量,它取决于接收天线的有效面积。雷达散射截面积有时也用一些天线术语来定义,这是因为σ是从入射波中截获足够的功率以形成给定回波的一个面积,并假定反射是各向同性的。
雷达散射截面积是下列因素的函数:目标结构,主要包括其尺寸、材料的电参数、形状等;入射波的频率;入射场极化方式;接收天线极化方式;目标相对于来波方向的角向位置。因此,一般的说σ可以表示为
,式中i和j表示入射场和接收天线的极化方向。例如水平极化和垂直极化,而
表示球坐标下的视角。
c、散射机理角度的解释
目标的雷达散射截面积也是入射场脉宽τ的函数。当τ足够大,即
,这里L是目标尺度,而c是光速,可认为整个目标被同时照射。这大致等效于目标被某个频率f的连续波照射的情况。此即所谓长脉冲照射,是通常的 RCS 测量情形。但是,当用极短的脉冲照射一个目标(
)时,目标上每个散射部位可能相互独立的对回波做出贡献。
二、RCS测量
RCS的测量方法有多种,通常需要综合理论计算、暗室静态测量、外场静态测量、外场动态测量等各种手段得到的数据才能获得目标 RCS 的详细描述和特征分析。其中暗室静态测量、外场静态测量、外场动态测量三种手段都属于实际测量,实测结果可信度高,但受到诸多条件的限制,不易实施,理论计算仿真成本低但是只能预估较少数理想目标的RCS,所以实际研究中往往采用理论预估与实际测量相结合的手段进行RCS计算。
a、理论计算
理论计算分为精确解法和近似解法。精确解法有两种:一种是求解波动方程:波动方程由麦克斯韦方程组的四个微分方程导出,如果简单物体表面与坐标面一致,其RCS就可以在该坐标系中通过求解波动方程精确计算。这种方法仅适用于简单目标,没有一种已知的战术目标与这种解吻合。另一种精确解法是求解分布在目标表面上的感应场的积分方程,此方法的优势在于目标表面形状不受限制,可对复杂目标开展计算。近似解法包括几何光学法、物理光学法、几何绕射理论、物理绕射理论、一致绕射理论和等效电流法等。上述精确解法和近似解法各有优缺点,需要根据具体的目标决定采用哪一种方法进行计算以获得符合要求的结果。
实际测量包含动态测量和静态测量,其中动态测量是指目标特性测量雷达系统对实际飞行的雷达目标进行测量,静态测量是对目标缩比模型或全尺寸目标以固定俯仰角、固定滚转角、均匀步进方位角进行全方位测量,动静态测量得到的结果分别称为动态RCS和静态RCS。
严格意义来讲,只有基于航空动力学建立最完善的航迹模型才能得到最逼真的动态RCS,此时获得的RCS才是“名副其实”的动态RCS。但这样精准的仿真模型不可能存在,尤其像形变、振动、微动等现象很难建模,因此通常通过仿真出目标的动态飞行航迹,考虑或不考虑扰动、振动、微动、形变等因素进行RCS建模也可以作为动态测量的一种有效手段。
三、RCS效果图
雷达能够从两个方面获得被测目标的信息,一是目标回波随姿态角的变化,这要求目标与雷达之间存在相对运动,二是目标回波随雷达频率的变化,这要求使用宽带多频信号。以实际测量得到的某一目标散射数据为例,仿真得到目标RCS随频率的变化效果图如下:

