1概述
雷达中常用的几种脉冲压缩信号有简单脉冲信号、线性调频脉冲信号、相位编码脉冲信号等,其信号波形如图1所示,线性调频脉冲信号已在本号之前的文章中介绍过,本文主要介绍相位编码脉冲信号。
的连续子脉冲的集合,每个子脉冲具有相同的频率,但是(可能)具有不同的相位,总的脉冲宽度
,单独的子脉冲通常称为码片。相位编码信号的复数表示一般可写为

其中,
为复包络,
为相位调制函数,这个相位函数在子脉冲存在时间内是固定的,对不同的子脉冲它可取不同值。
相位编码信号简单分类如图2所示:

相位编码波形分为二相编码和多相编码, 二相编码信号,包括巴克编码、M序列编码、L序列编码、互补编码等;多相编码包括弗兰克码和霍夫曼码、P1和P2码、P3和P4码等。二相编码仅有两个可选择的相位状态,通常为0或
。多相编码具有两个以上的相位状态,每种编码都有许多常见的子类,下面分别介绍。
2.1二相编码
对于二相编码而言,
。如果一个二相编码信号采用二元序列
表示,则二相编码信号复包络为

式中,
为子脉冲的复包络;为子脉冲宽度;
为子脉冲个数;
为二相编码信号的持续时间。
相近,即

因此,二相编码信号的时宽带宽积,即压缩比为

二相编码信号的时宽带宽积是由子脉冲数
决定的。这种信号的带宽可通过选取子脉冲宽度得到,而时宽可通过选取子脉冲数
得到,因此二相编码信号的时宽和带宽是可独立选取的,只要
取大就可得到大的时宽带宽积。
2.1.1M序列码
因巴克码数目和长度的限制引出了对构造具有良好旁瓣特性的较长二相编码技术的研究,主要有两种方法,一种是将两个较短巴克码做克罗内克积,合成巴克码或嵌套巴克码组成较长编码序列。另外一种是采用伪随机噪声序列产生更长的二相编码,即对某一数值P而言,伪随机序列的长度为
,同时表现出的距离旁瓣值约为
。下面对典型的伪随机序列码-m序列码做详细介绍。
m序列是一种二元伪随机序列,其统计特性与白噪声的统计特性相近,可由最长线性反馈移位寄存器产生,实现框图如图3所示。
图3 m序列实现框图
,反馈电路需要满足一定的条件才能得到最长序列。在m序列的一个周期中,“0”“1”数目基本相等,“1”比“0”多一个。序列中取值相等的那些相继元素合称为一个“游程”,游程中元素的个数称为游程的长度。长度为的游程占总游程数的,且连0连1的游程数各占一半。
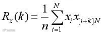
序列
循环自相关函数定义为
(28)
若
,其中是m序列的输出,则
,由于m序列的移位相加仍得到m序列,因此
(29)
当N很大时,m序列的自相关趋于冲激函数。
MATLAB仿真参数见程序,m序列及其频谱如图4所示。
a)31位m序列时域信号b)31位m序列信号频谱

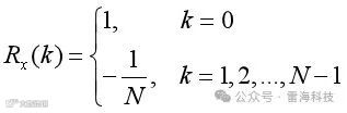
对于图4所示的m序列,具有5级反馈,寄存器初始状态设置为[1 0 1 0 1],反馈回路为[0 0 1 0 1],该31位m序列码元波形如图4-a)所示。m序列周期波形的自相关函数旁瓣电平是常量
,重复周期是
,峰值是1,是每个子脉冲的宽度,主旁瓣峰值电平比等于。而对于非周期m序列的自相关函数并不保持双电平特性,其旁瓣电平明显增大,当
时,主旁瓣比为
,因此其周期性自相关特性要好于非周期性自相关特性。

a)31位m序列的模糊图 b)31位m序列的模糊度图

c)模糊图在多普勒轴的不同切割 d)模糊图在时间轴上的不同切割
3总结
参考文献
[1]《雷达信号处理基础(第二版)》 Mark A.Richards
[2]《仿真伪随机相位编码脉冲雷达的信号处理》张倩
[3]《低截获概率雷达的检测与分类(第二版)》Phillip E.Pace
[4]《二相编码雷达信号及常见问题处理》姬长华, 张秀丽
[5]《二相编码雷达信号细微特征分析》顾燕铧
[6]《基于相位编码信号的雷达目标检测及实现》崔向阳
[7]《现代雷达系统分析与设计》陈伯孝等
[8]《二相编码信号性能分析》张恒达,冯西安

