1.概述
2.回波序列轮廓像特征提取
2.1轮廓像方位向展宽特征
船舶雷达二维信号图又称作船舶轮廓像,一般用船舶的轮廓像方位向展宽与距离向展宽来描述,如下图所示。

为目标横向长度造成的展宽。

特征1

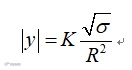
并根据雷达方程和雷达天线方向图函数进行特征变换,获得反映目标RCS大小的特征,定义如下:
特征2


值由目标发射功率、入射波长、天线增益等因素决定。
特征3

为幅度峰值。
2.3消除目标姿态角影响
目标系统传输及目标回波会随目标姿态角变化而变化,因此直接提取的回波峰值幅度具有随机性。有文章指出可以采用对轮廓像中心附近的峰值做非相干平均的方法提取轮廓像幅度峰值,从而消除了目标姿态角对回波幅度的影响,获取了反映目标稳态RCS大小的特征。
3.总结
本文简单介绍了基于目标轮廓像的雷达目标识别算法,通过特征提取确定目标尺寸以及RCS大小,此方法对于中低分辨雷达对目标进行大、中、小粗分类有比较好的效果。
引用:
[1]《基于低分辨率雷达的海面舰船目标分类识别技术》,李青,李斌,胡文俊,等.
[2]《低分辨雷达回波序列轮廓像目标分类方法研究》,林青松,胡卫东,虞华,张乐锋.
[3]《基于轮廓像处理的岛岸附近目标检测》,吴帅,谢春思,李进军,桑雨,刘志赢.
[4]《基于轮廓像的舰船目标识别方法研究》,王春花,康猛,郝明.
[5]《一种低分辨雷达飞机目标识别方法》,方勇昌,张汉华,陈英豪,陈曾平.
[6]《一种基于雷达回波序列的舰船目标识别方法》,黎湘,郁文贤,郭桂蓉.

