
噪声与振动基础知识
声学基础知识
基本概念
噪声控制工程学
新学科,综合性、边缘性,涉及环境科学、环境保护、劳动保护的内容。
1973年在全国第一次环保会议上马大猷院士首先提出噪声与振动是环境问题的四大公害之一,应立法、订标准、设规范,进行治理。
目的:保护环境,保护人,延长寿命。
声波的物理基础
声学是物理学的一个分支,声波的物理基础是:
波动理论
声线理论
能量理论
基本概念
噪声----噪音
振动----震动
分贝dB和计权网络dB(A)、dB(C)、dB(Z),80dB(A)+ 80dB(A)=?
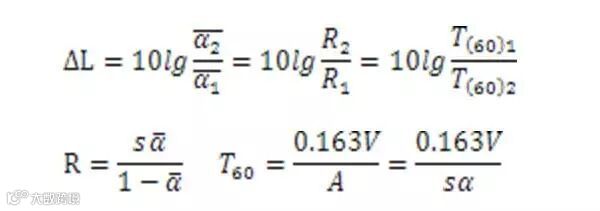
等效声级Leq
声能叠加----对数相加,3dB一个能量级
基准值:Lp0,Lw0,a0
等响曲线
噪声与振动的常用数值
睡眠<35dB(A) ,脑力劳动<60dB(A) ,体力劳动<85dB(A) ,最大不得超过115dB(A),脉冲(1s)噪声<140dB(C) 。
隔声10~40dB(A):全封闭40dB(A),一般封闭<20dB(A),半封闭<10dB(A)
吸声3~12dB(A):不会超过15dB(A)
消声器定型产品:10~40dB(A),阻性片式消声器10dB(A) /1m长,小孔喷注消声器最高35~40dB(A)
隔声吸声屏障:5~15dB(A),材料隔声20dB(A),吸声系数0.6, 隔声吸声屏障极限不大于24dB(A)
隔振:可降低噪声5~15dB(A),阻尼减振3~8dB(A)
隔振器可隔频率:橡胶隔振垫>20Hz,金属弹簧2~5Hz,空气弹簧1~2Hz
噪声与振动控制途径
声源振源控制——低噪声产品(低10dB(A)以上),低噪声工艺(如锻压改液压,铆接改焊接,打桩改灌注等),有源噪声控制等。
传播途径控制——隔声、吸声、隔振、消声、阻尼减振、隔声包扎等
接受者控制——个人防护,如耳塞、耳罩、头盔,减少工作时间、调换工作岗位等
噪声与振动控制方法
规划与环评
隔声
吸声
消声
隔振/阻尼减振
低噪声产品
规划与环评
规划、环评、总图及车间布置
城市规划、小区规划;企业规划(新建、扩建、改建)考虑对周围环境的影响;
敏感目标应远离交通噪声影响;
噪声源应远离考核点;
噪声源应集中布置,落地布置;
大噪声设备或生产线布置时就要预先就出降噪空间
隔声
概念:隔声就是在声传播途径上采取隔离措施,它是一种传统的、有效的、常用的方法,仍在不断完善。
计算:影响隔声材料和隔声结构隔声量的因素很多,例如入射声波的声压级、声波方向、声波频率,隔声构件的面质量、阻尼、有无吸声、有无振动、有无孔、洞、缝隙,有无声桥等。
隔声的技术要点
注意共振频率和吻合频率的影响;
隔声与吸声相结合,隔声罩内不吸声,会变成一个声放大器;
多层材料的复合结构可以提高其隔声量,不一定符合“质量定律”;
隔声密封后,要注意通风散热问题,同时计算隔声和散热参数并采取措施;
注意孔、洞、缝和声桥的影响。1%面积上开孔,其隔声量只有20dB;
隔声门、隔声窗是隔声的薄弱环节,可采用双道门(声阱或声闸),采用多层结构隔声窗(玻璃不等厚,做斜布置,周边填吸声材料);
隔声室应相差符合“等传声”原则,四面墙、地坪和顶棚一般隔声量较高,门和窗隔声量较低,两者不要超过15dB(A);
构件的实际隔声量应大于计算需要的隔声量,一般应大于3~5dB(A);
构件的实际隔声量应大于计算需要的隔声量,一般应大于3~5dB(A);
隔声构件的物理特性应满足防火、防水、防潮、防霉、防蛀、防冻、防腐蚀、防盐雾,寿命长等要求。
隔声实例
吸声
概念:在声传播途径上采用吸声措施降低噪声也是常用的、传统的、有效的方法之一。影响吸声降噪效果的因素颇多,例如吸声材料或吸声结构的吸声性能、室内表面情况、室内容积、室内声场分布,声源特性、吸声结构安装位置等都会有影响。
计算:吸声降噪的效果,可用下式估算。吸声处理前室内平均吸声量越低,混响时间越长,吸声处理效果越好。例如,吸声为0.10,吸声后为0.60,则吸声降噪量为7.7dB。若吸声前为0.30,吸声后为0.60,则降噪量为3dB。
吸声分类
(吸声系数大于0.20的材料称为吸声材料)
吸声材料
无机纤维材料类,例如离心玻璃棉等;
泡沫塑料类,例如聚氨脂泡沫塑料等;
有机纤维材料类,例如植物纤维等;
金属吸声材料类,例如泡沫铝等;
吸声建筑材料类,例如陶土吸声砖等。
吸声结构
薄板共振吸声结构;
穿孔板吸声结构;
微穿孔板吸声结构;
各类空间吸声体等。
吸声的技术要点
吸声处理只能降低反射声,对直达声是无能为力的,一般可降低室内噪声5~15dB;
按噪声源频谱特性来选择吸声材料和吸声结构,两者应相对应;
吸声材料不要满铺。实践证明,厂房顶部面积的40%左右铺装吸声材料或吸声结构就可以了,技术经济效果最好,即使百分百面积上铺装吸声结构,其噪声降低量只增加1~2dB,经济上是不合算的;
护面板穿孔率应大于20%,吸声材料的布置应尽量靠近声源;
吸声材料或吸声结构应满足防火、防潮、防霉、防蛀,无二次污染,可回收利用等要求。
吸声实例
空间吸声体
a)板状 b)折板状 c)球状 d)筒状 e)锥状 f)多边形 g)尖劈状 h)帷幕状 i)薄膜状 j)薄盒状 k)屏风状
消声
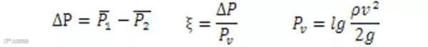
消声概念:消声器是一种既允许气流顺利通过,又能有效地阻止或减弱声能向外传播的装置。气流噪声是常见的噪声源之一,例如喷气飞机、火箭、宇宙飞船、气动工具、通风设备、内燃发动机、压力容器、管道阀门的进排气等,都会产生声级很高的气流噪声(高达100~160dB)。消声器的设计、选用应注意四个因素:消声量、阻力损失、气流再生噪声和高频失效频率。
消声分类:
阻性消声器
抗性消声器
阻抗复合式消声器
微穿孔板消声器
小孔喷注消声器等
消声计算
消声量计算
1. 常用阻性消声器消声量
2. 消声器的阻力损失
3. 消声器气流再生噪声
4. 消声器高频失效频率
对于阻性消声器,其截面较大时,例如圆管直径或方管边长大于300(mm),片式消声器片间距大于250(mm)时,高频声波将呈束状直接通过消声器,而很少与管道内壁吸声层面接触,减少了声吸收,降低了消声效果,工程上将此现象称为“高频失效”。
微穿孔板消声器
消声的技术要点
一个好的消声器条件:消声量高、阻力小、重量轻、性能稳定、价格适中;
消声器当量直径<300mm时,可选用直管式消声器,当量直径>300mm时,可选用片式或折板式消声器,消声片厚、折角角度;
消声器内气流速度控制:空调系统管道,消声器内气流速度比较低,鼓风机、压缩机、燃气轮机的进气速度比较高,内燃机进排气,高压排气放空速度最高。通风系统中消声弯头内气流速度应加以控制;
阻性消声器/抗性消声器,消声器的消声频段应与噪声源较高频段相对应;
微穿孔板或微缝板消声器的优势:厚度小于1mm,孔径小于1mm的微孔,穿孔率为1~5%,具有耐高速、耐高温、洁净、不怕水和湿气,无二次污染,中高频消声效果好等优点。在超净厂房,高级宾馆通风空调系统、医疗、制药、食品行业生产车间以及冷却塔、发动机试车台等领域已广泛使用;
高压排气放空消声器,化工、制药、冶金等行业广泛使用。
消声实例
隔振
振动会直接产生不利影响,同时又是噪声产生的源头。
频率、振幅、振速、加速度---Z方向
稳态—旋转式、往复式;非稳态—冲击振动
振动标准:
居民:昼间70dB,夜间67dB
工业:0.62m/s^2,办公室0.098m/𝒔^𝟐
减振隔振的技术要点
减振器的性能与选择;
减振效率----90%以上,固有频率与扰动频率—2.5倍
减振效率----90%以上,固有频率与扰动频率—2.5倍
质量2倍以上
共振。
此外,隔振沟、隔振屏障、设备迁移
主动隔振
隔振器实例
低噪声产品
低噪声产品研发
所谓低噪声是指同类同规格的产品中,通常指噪声指标比原有产品低6~10dB(A)以上的产品。
低噪声产品中较成熟的有低噪声轴流风机、低噪声冷却塔、低噪声空压机、低噪声电机,以及低噪声家用电器等。
低噪声理念与安静工厂
泛德声学
工业企业噪声治理,声学实验室设计及建造,拥有十多年行业经验,提供现场勘测、方案设计、效果模拟、生产加工、施工安装的全方位服务
长按以下图片,关注我们

