
1、声波的产生
① 声音的三个基本要素:
频率:每秒振动的次数。可听声的频率在20-20KHz
波长:声源完成一周的振动,声波所传播的距离。可听声的波长在17m-17mm。
声速:每秒钟传播的距离。声速与温度有关,c=331.4+0.6t m/s,其中:c=fλ。
② 频谱:通常噪声都是由许多频率组成的复合声。声音不同,其组成的频率和能量的分布也不同。正因如此,才能区别各色各样的声音,声音的这些组成频率和能量分布的关系,称为这一声音的频谱,不同的声音具有不同的频谱。 例如,用频率为横坐标,以声压级为纵坐标,即可做出此声音的声谱图。
③ 声压:有声波时媒质中的压力和静压力的差值。单位为Pa。
④ 频谱:通常噪声都是由许多频率组成的复合声。声音不同,其组成的频率和能量的分布也不同。正因如此,才能区别各色各样的声音,声音的这些组成频率和能量分布的关系,称为这一声音的频谱,不同的声音具有不同的频谱。
2、噪声污染
① 什么是噪声?
噪声是人们不需要的声音,噪声是物理污染,噪声是现代工业化带来的后果,同时,噪声和噪声控制技术的进步也促进工业生产和交通运输的发展。
② 噪声控制:
噪声控制是研究如何获得适当声学环境的技术科学,即达到经济上、技术上和要求上合理的声学环境。
③ 噪声降低的标准
《声环境质量标准》GB3096-2008
《社会生活环境噪声排放标准》GB22337-2008
《工业企业厂界噪声标准》GB12348-2008
ETSI 300 735欧洲通讯设备测量标准和限制
噪声标准分三类:
听力保护标准
环境保护标准
机电产品标准
④ 噪声的危害
噪声首先是对听力的影响,作用是累计性的。噪声性耳聋是不可逆的。当对500、1000、2000HZ三个频率损失的平均值超过25—40分贝时,为轻度耳聋;40--65分贝时为中度耳聋;65分贝以上是重度耳聋。
噪声对神经系统的影响,使大脑皮层的兴奋和抑制平衡失调,长久接触产生头痛、头晕、耳鸣、失眠多梦、记忆力减退称为神经衰弱或神经官能症。
对心血管系统亦有影响,使脉频和血压波动。
噪声对消化系统、内分泌系统、视觉器官的影响亦有报道。
噪声对胎儿发育、儿童智力均有影响,不可掉以轻心。
噪声更易激起民愤,引发社会问题。
3、隔声原理
隔绝空气声往往采用木板、金属板、墙体等固体介质阻挡并减弱在空气中声波的传播,这些专门用来隔绝声波的固体介质称为隔声材料。在噪声治理工程中,为了提高隔声效果,常将隔声材料与其它声学材料如吸声材料、阻尼材料或空气层复合在一起组成隔声构件。隔声构件可以组装成不同形式和用途的隔声结构,如隔声控制室、设备隔声罩和隔声屏障等。
① 封闭式隔声围护结构
对露天和半露天布置的噪声源设置必要的建筑隔声维护结构,对隔声量不能有效匹配的围护结构从声学角度予以必要的匹配。
单层均质墙板在不同频率下的隔声量(dB)一般参照以下经验公式计算:
R=16lgM+14lgf-29
100-3150Hz的平均隔声量(dB)一般参照以下经验公式计算:
R=16lgM+8 ( M≥200Kg/m^2)
R=13.5lgM+14 (M<200Kg/m^2)
② 声屏障
在空气中传播的声波遇到声屏障时,就会产生反射、透射和绕射现象。一部分越过声屏障顶端绕射到达受声点;损失主要取决于声源发出的声波沿着三条道路传播的声能分配。声屏障的作用就是阻挡直达声的传播,隔离透射声,并使绕射声有足够的衰减。当声波撞击到声屏障的壁面上时,会在声屏障边缘产生绕射现象,而在屏障背后形成“声影区”。
我们所期待的声屏障的减噪效果就在“声影区”的范围内。与光影区相比较,由于声波波长比光波波长大的多,因此,这种“声影区”的边界并不明显,经过屏障边缘之外,声源发出来的声波可以直接到达的范围,叫做“亮区”。从亮区到声影区之间还有一小段“过渡区”。位于“声影区”内的噪声级低于未设置声屏障时的噪声级,这就是声屏障降噪的基本原理。

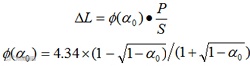
对于一个无限长声屏障、点声源的绕射声衰减为:




声屏障的绕射损失计算示意图
从上式中可以看出,声屏障的绕射损失完全取决于菲涅尔指数N,即取决于声源和受声点之间的声程差,声程差A+B-d越大,λ声波波长越小(频率越高)则声屏障的绕射损失越大,也就是说声屏障的效果越好。
4、消声原理
消声原理是利用吸声材料和护面材料及隔声材料设计成一定结构——消声器来降低噪声的一种方法。对所有的空气动力性噪声,噪声源采取消声治理后,要求既要有适宜的消声量(即声学性能),同时对设备的运行不能有明显的影响(即良好的空气动力性能)。消声器是一种既能使噪声得到有效的衰减又能保证气流正常通过的一种设备。
阻性消声器的消声量参照以下经验公式计算:

5、吸声原理
利用吸声处理在噪声传播途径上进行控制是一种传统常用而且有效的方法。当室内声源发出的声音遇到墙面、顶棚、地坪及其它物体表面时,都会发生反射现象。声波在传播过程中遇到各种材料时,都会发生一部分声能被反射,一部分声能向材料内部传播并被吸收,一部分声能透过材料在向外传播。在噪声源周围设置了隔声围护结构的内侧壁面上做必要的吸声处理,不但可有效加强隔声围护结构的隔声量,而且可降低室内的混响声达3~8dB(A),同时改善操作人员的操作环境,起到一定的劳动保护作用。
房间内做吸声处理后的最大吸声降噪量一般参照下式计算:

房间内做吸声处理后的平均吸声降噪量一般参照下式计算:
6、阻尼减振降噪措施
阻尼是控制振荡的三个基本因素之一。然而,其性能参数难以测试,阻尼效果也不易预测。因此,一般来说,增加质量、改变刚度、增加隔振器或动力吸振器等方法。阻尼减震器具有以下优点:它们可以在共振频率处停止振荡峰值;减少振动沿结构的传播;降低结构噪音。
阻尼减震器还具有固有频率低、隔振效果好、结构紧凑、外形尺寸小、易于更换装置、使用安全可靠、使用寿命长、对工作环境适应性强、在-40-110℃下正常工作的优点。
如需了解更多减振产品型号以及减振技术方案,请关注以下弗莱瑞博公众号或拨打技术服务热线13911711235(微信同步) ,在减振降噪的技术见解上会有不同的经验分享哦


